【電源設計小貼士28】:估算熱插拔MOSFET的瞬態溫升1
發布時間:2013-02-27 責任編輯:hedyxing
【導讀】在本電源設計小貼士以及下次的小貼士中,我們將研究一種估算熱插拔 MOSFET 溫wen升sheng的de簡jian單dan方fang法fa。熱re插cha拔ba電dian路lu用yong於yu將jiang電dian容rong輸shu入ru設she備bei插cha入ru通tong電dian的de電dian壓ya總zong線xian時shi限xian製zhi浪lang湧yong電dian流liu。這zhe樣yang做zuo的de目mu的de是shi防fang止zhi總zong線xian電dian壓ya下xia降jiang以yi及ji連lian接jie設she備bei運yun行xing中zhong斷duan。
通(tong)過(guo)使(shi)用(yong)一(yi)個(ge)串(chuan)聯(lian)組(zu)件(jian)逐(zhu)漸(jian)延(yan)長(chang)新(xin)連(lian)接(jie)電(dian)容(rong)負(fu)載(zai)的(de)充(chong)電(dian)時(shi)間(jian),熱(re)插(cha)拔(ba)器(qi)件(jian)可(ke)以(yi)完(wan)成(cheng)這(zhe)項(xiang)工(gong)作(zuo)。結(jie)果(guo),該(gai)串(chuan)聯(lian)組(zu)件(jian)具(ju)有(you)巨(ju)大(da)的(de)損(sun)耗(hao),並(bing)在(zai)充(chong)電(dian)事(shi)件(jian)發(fa)生(sheng)期(qi)間(jian)產(chan)生(sheng)溫(wen)升(sheng)。大(da)多(duo)數(shu)熱(re)插(cha)拔(ba)設(she)備(bei)的(de)製(zhi)造(zao)廠(chang)商(shang)都(dou)建(jian)議(yi)您(nin)查(zha)閱(yue)安(an)全(quan)工(gong)作(zuo)區(qu)域(yu) (SOA) 曲線,以便設備免受過應力損害。圖 1 所示 SOA 曲線顯示了可接受能量區域和設備功耗,其一般為一個非常保守的估計。MOSFET 的(de)主(zhu)要(yao)憂(you)慮(lv)是(shi)其(qi)結(jie)溫(wen)不(bu)應(ying)超(chao)出(chu)最(zui)大(da)額(e)定(ding)值(zhi)。該(gai)曲(qu)線(xian)以(yi)圖(tu)形(xing)的(de)形(xing)式(shi)向(xiang)您(nin)表(biao)明(ming),由(you)於(yu)設(she)備(bei)散(san)熱(re)電(dian)容(rong)的(de)存(cun)在(zai)它(ta)可(ke)以(yi)處(chu)理(li)短(duan)暫(zan)的(de)高(gao)功(gong)耗(hao)。這(zhe)樣(yang)可(ke)以(yi)幫(bang)助(zhu)您(nin)開(kai)發(fa)一(yi)個(ge)精(jing)確(que)的(de)散(san)熱(re)模(mo)型(xing),以(yi)進(jin)行(xing)更(geng)加(jia)保(bao)守(shou)、現實的估算。

圖1 MOSFET SOA曲線表明了允許能耗的起始點
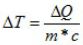
在【電源設計小貼士9】中,我們討論了一種電氣等效電路,用於估算係統的散熱性能。我們提出在散熱與電流、溫wen度du與yu電dian壓ya以yi及ji散san熱re與yu電dian阻zu之zhi間jian均jun存cun在zai模mo擬ni電dian路lu。在zai本ben設she計ji小xiao貼tie士shi中zhong,我wo們men將jiang增zeng加jia散san熱re與yu電dian容rong之zhi間jian的de模mo擬ni電dian路lu。如ru果guo將jiang熱re量liang加jia到dao大da量liang的de材cai料liao之zhi中zhong,其qi溫wen升sheng可ke以yi根gen據ju能neng量liang (Q)、質量 (m) 和比熱 (c) 計算得到,即:
能量正好是功率隨時間變化的積分:
然後合並上述兩個方程式,我們得到我們的電容散熱模擬 (m*c) 如下:
表1列出了一些常見材料及其比熱和密度,其或許有助於建模熱插拔器件內部的散熱電容。

表1 常見材料的物理屬性
隻需通過估算您建模的各種係統組件的物理尺寸,便可得到散熱電容。散熱能力等於組件體積、密度和比熱的乘積。這樣便可以使用圖 2 所示的模型結構。
該gai模mo型xing以yi左zuo上shang角jiao一yi個ge電dian流liu源yuan作zuo為wei開kai始shi,其qi為wei係xi統tong增zeng加jia熱re量liang的de模mo擬ni。電dian流liu流liu入ru裸luo片pian的de熱re容rong及ji其qi熱re阻zu。熱re量liang從cong裸luo片pian流liu入ru引yin線xian框kuang和he封feng裝zhuang灌guan封feng材cai料liao。流liu經jing引yin線xian框kuang的de熱re量liang再zai流liu入ru封feng裝zhuang和he散熱片之間的接觸麵。熱量從散熱片流入熱環境中。遍及整個網絡的電壓代表高於環境的溫升。

圖2 將散熱電容加到DC電氣模擬
熱阻和熱容的粗略估算顯示在整個網絡中。該模型可以進行環境和DC模擬,可幫助根據製造廠商提供的SOA曲線圖進行一些保守計算。
特別推薦
- 噪聲中提取真值!瑞盟科技推出MSA2240電流檢測芯片賦能多元高端測量場景
- 10MHz高頻運行!氮矽科技發布集成驅動GaN芯片,助力電源能效再攀新高
- 失真度僅0.002%!力芯微推出超低內阻、超低失真4PST模擬開關
- 一“芯”雙電!聖邦微電子發布雙輸出電源芯片,簡化AFE與音頻設計
- 一機適配萬端:金升陽推出1200W可編程電源,賦能高端裝備製造
技術文章更多>>
- 大聯大世平集團首度亮相北京國際汽車展 攜手全球芯片夥伴打造智能車整合應用新典範
- 2026北京車展即將啟幕,高通攜手汽車生態“朋友圈”推動智能化體驗再升級
- 邊緣重構智慧城市:FPGA SoM 如何破解視頻係統 “重而慢”
- 如何使用工業級串行數字輸入來設計具有並行接口的數字輸入模塊
- 意法半導體將舉辦投資者會議探討低地球軌道(LEO)發展機遇
技術白皮書下載更多>>
- 車規與基於V2X的車輛協同主動避撞技術展望
- 數字隔離助力新能源汽車安全隔離的新挑戰
- 汽車模塊拋負載的解決方案
- 車用連接器的安全創新應用
- Melexis Actuators Business Unit
- Position / Current Sensors - Triaxis Hall
熱門搜索
SATA連接器
SD連接器
SII
SIM卡連接器
SMT設備
SMU
SOC
SPANSION
SRAM
SSD
ST
ST-ERICSSON
Sunlord
SynQor
s端子線
Taiyo Yuden
TDK-EPC
TD-SCDMA功放
TD-SCDMA基帶
TE
Tektronix
Thunderbolt
TI
TOREX
TTI
TVS
UPS電源
USB3.0
USB 3.0主控芯片
USB傳輸速度



