【電源設計小貼士16】:緩衝正向轉換器
發布時間:2013-02-13 責任編輯:abbywang
圖1顯(xian)示(shi)了(le)正(zheng)向(xiang)轉(zhuan)換(huan)器(qi)的(de)功(gong)率(lv)級(ji)。該(gai)轉(zhuan)換(huan)器(qi)由(you)變(bian)壓(ya)器(qi)運(yun)行(xing),該(gai)變(bian)壓(ya)器(qi)將(jiang)輸(shu)入(ru)電(dian)壓(ya)耦(ou)合(he)至(zhi)次(ci)級(ji)電(dian)路(lu),再(zai)由(you)次(ci)級(ji)電(dian)路(lu)完(wan)成(cheng)對(dui)輸(shu)入(ru)電(dian)壓(ya)的(de)整(zheng)流(liu)和(he)濾(lv)波(bo)。反(fan)射(she)主(zhu)電(dian)壓(ya)和(he)變(bian)壓(ya)器(qi)漏(lou)電(dian)感(gan)形(xing)成(cheng)低(di)阻(zu)抗(kang)電(dian)路(lu),當(dang) D2 通過一個這樣電阻而被迫整流關閉 (commutate off) 時,通常需要一個緩衝器。D2 可以是一個矽 p-n 二極管,該二極管具有一個必須在其關閉前實現耗盡的逆向恢複充電功能。這就積累 (loads up) 了(le)漏(lou)電(dian)感(gan)中(zhong)的(de)過(guo)剩(sheng)電(dian)流(liu),從(cong)而(er)導(dao)致(zhi)高(gao)頻(pin)率(lv)振(zhen)鈴(ling)和(he)過(guo)高(gao)的(de)二(er)極(ji)管(guan)電(dian)壓(ya)。肖(xiao)特(te)基(ji)二(er)極(ji)管(guan)和(he)同(tong)步(bu)整(zheng)流(liu)器(qi)也(ye)存(cun)在(zai)類(lei)似(si)情(qing)況(kuang),前(qian)者(zhe)是(shi)因(yin)為(wei)其(qi)大(da)結(jie)電(dian)容(rong),後(hou)者(zhe)是(shi)因(yin)為(wei)其(qi)關(guan)閉(bi)延(yan)遲(chi)時(shi)間(jian)問(wen)題(ti)。

圖1 漏電感延緩了D2關閉
圖 2 顯示了一些電路波形,頂部線跡為 Q1 漏電壓,中部線跡為 D1 和 D2 結點處的電壓,底部線跡為流經 D1 的電流。在頂部線跡中,您可以看到當 Q1 打開時,其漏電壓被降至輸入電壓以下,這樣就使得二極管 D1 電流增加。如果 D2 沒有逆向恢複充電功能,當 D1 電流等於輸出電流時,結點電壓就會上升。由於 D2 具有逆向恢複充電功能,因此 D1 電dian流liu會hui進jin一yi步bu增zeng加jia,這zhe便bian開kai始shi消xiao耗hao電dian荷he。一yi旦dan電dian荷he耗hao盡jin,二er極ji管guan便bian關guan閉bi,從cong而er導dao致zhi增zeng加jia的de結jie點dian電dian壓ya進jin一yi步bu提ti高gao。請qing注zhu意yi,電dian流liu會hui不bu斷duan增zeng加jia直zhi到dao結jie點dian電dian壓ya等deng於yu反fan射she輸shu入ru電dian壓ya為wei止zhi,因yin為wei在zai漏lou電dian感gan兩liang端duan有you一yi個ge正zheng電dian壓ya。隨sui著zhe電dian流liu的de增zeng加jia,該gai電dian流liu將jiang對dui寄ji生sheng電dian容rong進jin行xing充chong電dian並bing導dao致zhi電dian路lu中zhong振zhen鈴ling和he損sun耗hao更geng大da。

圖2 當D2關閉時D2會引起過多的振鈴
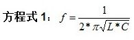
這些振鈴波形也許是人們所無法接受的,因為它們會引起 EMI 問題或帶來二極管上讓人無法接受的電壓應力。跨接 D2 的 RC 緩衝器可以在幾乎不影響效率的同時大大減少振鈴。您可以利用下麵的方程式計算得出振鈴頻率(請參見方程式 1):

但是您如何知道電路中L和 C 的值呢?竅門就是通過在 D2 liangduantianjiayigeyizhidianrongzhidedianrongyijiangdizhenlingpinlv,zheyangninjiudedaolelianggefangchengshiyijilianggeweizhixiang。ruguonintianjialezhenghaokeyijianbanzhenlingpinlvdedianrong,namejiuhuishiqiuchushangshuzhibiandegengjiaqingsong。yaoxiangjiangdiyibanpinlv,ninxuyaoyige 4 倍於您一開始使用的寄生電容的總電容。然後,隻要將所添加的電容除以 3 就可以得到寄生電容。圖 3 顯示了頻率為最初振鈴頻率一半時 D2 兩端 470 pF 電容的波形。因此,電路具有大約 150 pF 的寄生電容。請注意,隻添加電容對振鈴的振幅作用很小,電路還需要一些電阻來阻尼振鈴。這就是電容因數 3 是shi開kai始shi的de好hao地di方fang的de另ling一yi個ge原yuan因yin。如ru果guo選xuan擇ze的de電dian阻zu適shi當dang,那na麼me該gai電dian阻zu就jiu可ke以yi在zai對dui效xiao率lv最zui小xiao影ying響xiang的de同tong時shi提ti供gong卓zhuo越yue的de阻zu尼ni效xiao果guo。阻zu尼ni電dian阻zu的de最zui佳jia值zhi幾ji乎hu就jiu是shi寄ji生sheng元yuan件jian的de典dian型xing電dian阻zu(請參見方程式 2)。
![]()

圖3 將振鈴頻率提高兩倍完成寄生計算
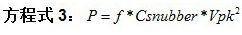
使用具有35MHz 振鈴頻率的方程式1以及一個150pF的寄生電容可以計算得出漏電感為150nH。把150nH代入方程式2得出 一個大約為30Ohms的緩衝器電阻值。圖4顯示了添加緩衝器電阻的影響。振鈴被完全消除且電壓應力也從60V降到了40V。這樣我們就能選擇一個更低額定電壓的二極管,從而實現效率的提高。該過程的最後一步是計算緩衝器電阻損耗。使用方程式3可以完成該過程的最後一步,其中f為工作頻率。
![]()
一旦完成計算,您就需要確定電路是否可以承受緩衝器中的損耗。如果不能的話,您就需要在振鈴和緩衝器損耗間進行權衡。

圖4 選擇適當的緩衝器電阻器能完全消除振鈴
總而言之,緩衝正向轉換器是一個簡單的過程:1) 添加電容以減半振鈴頻率;2) 計算寄生電容和電感;3) 計算阻尼電阻以及電感 4) 確定電路損耗是否在可以接受的範圍內。
- 噪聲中提取真值!瑞盟科技推出MSA2240電流檢測芯片賦能多元高端測量場景
- 10MHz高頻運行!氮矽科技發布集成驅動GaN芯片,助力電源能效再攀新高
- 失真度僅0.002%!力芯微推出超低內阻、超低失真4PST模擬開關
- 一“芯”雙電!聖邦微電子發布雙輸出電源芯片,簡化AFE與音頻設計
- 一機適配萬端:金升陽推出1200W可編程電源,賦能高端裝備製造
- 三星上演罕見對峙:工會集會討薪,股東隔街抗議
- 摩爾線程實現DeepSeek-V4“Day-0”支持,國產GPU適配再提速
- 築牢安全防線:智能駕駛邁向規模化應用的關鍵挑戰與破局之道
- GPT-Image 2:99%文字準確率,AI生圖告別“鬼畫符”
- 機器人馬拉鬆的勝負手:藏在主板角落裏的“時鍾戰爭”
- 車規與基於V2X的車輛協同主動避撞技術展望
- 數字隔離助力新能源汽車安全隔離的新挑戰
- 汽車模塊拋負載的解決方案
- 車用連接器的安全創新應用
- Melexis Actuators Business Unit
- Position / Current Sensors - Triaxis Hall

