基於雙空間矢量調製方法分析矩陣變換器
發布時間:2011-11-15
中心議題:
傳統的AC/DC/AC變換器體積和重量龐大(存在直流環節),諧波電流的存在對其他的設備有嚴重的影響。矩陣變換器的提出解決了這些問題,相比較傳統的變換器,矩陣變換器有以下優點:
1)沒有電感器或電容器這樣體積龐大的儲能元件,結構緊湊,體積大大減小;
2)通過濾波器,開關頻率諧波能夠減少到符合要求,就可以得到正弦輸入電流;
3)可控的輸入功率因素,可達到1,更高的可靠性;
4)雙向開關的使用,使變換器的四象限換流非常容易,能量可雙向流動;
5)對複雜的環境條件具有很高的適應度,能在高、低壓環境中使用,也可以用在高溫環境中,諸如太空和水下(因為電解電容的使用受到限製),非常適合用在潮汐發電站中。
基(ji)於(yu)上(shang)述(shu)諸(zhu)多(duo)的(de)優(you)點(dian),使(shi)矩(ju)陣(zhen)變(bian)換(huan)器(qi)越(yue)來(lai)越(yue)多(duo)地(di)被(bei)關(guan)注(zhu),然(ran)而(er),至(zhi)今(jin)它(ta)還(hai)不(bu)是(shi)一(yi)個(ge)成(cheng)熟(shu)的(de)技(ji)術(shu)。焦(jiao)點(dian)主(zhu)要(yao)集(ji)中(zhong)在(zai)它(ta)的(de)拓(tuo)撲(pu)結(jie)構(gou),控(kong)製(zhi)方(fang)法(fa),換(huan)流(liu)技(ji)術(shu)。通(tong)常(chang)使(shi)用(yong)的(de)控(kong)製(zhi)方(fang)法(fa)是(shi)空(kong)間(jian)矢(shi)量(liang)調(tiao)製(zhi)法(fa),而(er)在(zai)現(xian)有(you)的(de)資(zi)料(liao)中(zhong)很(hen)少(shao)有(you)非(fei)常(chang)詳(xiang)盡(jin)的(de)描(miao)述(shu)。本(ben)文(wen)將(jiang)對(dui)矩(ju)陣(zhen)變(bian)換(huan)器(qi)應(ying)用(yong)雙(shuang)空(kong)間(jian)矢(shi)量(liang)調(tiao)製(zhi)法(fa)進(jin)行(xing)詳(xiang)盡(jin)的(de)分(fen)析(xi)。
1 雙空間矢量調製策略
矩陣變換器應用雙空間矢量調製法(SVM)時可以等效為一個虛擬的整流器和一個虛擬的逆變器,它們的6個有效的空間矢量分別如圖1所示,對輸入電流和輸出電壓分別進行嵌套。從而有36種可能的扇區組合。
以虛擬整流器、逆變器均工作在第一扇區為例,相量合成的固定空間電流、電壓相量分別是I6、I1和U6、U1,兩個空間相量的綜合調製采用相互嵌套的辦法來實現。整個輸入相電流和輸出相電壓相量合成共有I6-U6、I6-U1、I1-U6、I1-U1、I0-U0 5種組合。每一相量組合的作用時間用占空比duty來表示。等式(1~5)反映了占空比的計算公式。占空比可以通過表1來分配給相應的開關組合。
式中,θi、θv是相應輸入相電流的相角和輸出線電壓的相角。m為調製比。當4個占空比的總和小於一個周期時,補充零開關組合來完成一個PWM周期,零開關組合的占空比計算公式如下:
[page]
等式(1~5)表明了4個作用矢量和一個零矢量在每個采樣周期內的持續時間。每個占空比相應於表1一個特定的開關組合。表1中電壓矢量在4、5、6扇區的符號值可以通過以下方法得出。

1)如果Iin和Vout同是奇數或者偶數的話,符號順序是:-++-。比如說當輸入電流在第6扇區,輸出電壓在第2扇區,那麼作用順序是:-7,+8,+1,-2。2)如果輸入電流和輸出電壓相量一個在奇數區,另一個在偶數扇區,符號順序是:+--+。比如說輸入電流在第5扇區,輸出電壓在第2扇區,那麼作用順序是:+8,-9,-2,+3。通過這種方法,會大大降低內存空間。表格的大小從6x6x4=144個相量降到3x3x4=36個相量,也就是說比普通的空間矢量調製方法使用的內存空間減少了75%。
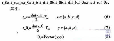
空(kong)間(jian)矢(shi)量(liang)調(tiao)製(zhi)法(fa)隻(zhi)確(que)定(ding)開(kai)關(guan)間(jian)隔(ge)中(zhong)應(ying)用(yong)電(dian)壓(ya)矢(shi)量(liang)的(de)占(zhan)空(kong)比(bi),從(cong)而(er)獲(huo)得(de)低(di)頻(pin)率(lv)的(de)輸(shu)出(chu)電(dian)壓(ya)和(he)輸(shu)入(ru)電(dian)流(liu)的(de)平(ping)均(jun)值(zhi),但(dan)是(shi)並(bing)沒(mei)有(you)確(que)定(ding)使(shi)用(yong)的(de)順(shun)序(xu)。所(suo)以(yi)需(xu)要(yao)使(shi)用(yong)雙(shuang)空(kong)間(jian)矢(shi)量(liang)調(tiao)製(zhi)法(fa),同(tong)時(shi)也(ye)可(ke)改(gai)善(shan)波(bo)形(xing)的(de)質(zhi)量(liang)。圖(tu)2表明了輸入電流在4扇區,輸出電壓在5扇區應用雙空間矢量調製的順序。電壓矢量在開關間隔中對稱分布,零矢量每4個開關間隔使用一次。在每次開關轉換中隻有一個開關狀態發生改變以最大程度地降低損耗。在圖2中通過表格2確定相應開關時間:
每個零矢量:0a,0b,0c,每次所使用的時間為t_0y,因為零矢量在一個周期中要使用6次,表2表明了當測試的輸入電壓是線電壓的時候,14種矢量所有可能的組合。如果輸入電壓是相電壓,那麼必須重新來排列Look-up table。每次雙空間矢量調製順序在一個開關周期中應用14geshiliang。shiliangdecixubushisuijide,weilejiangdisunhaomeicikaiguanzhuanhuanzhiyouyigeshuchuxianggaibian。meigeshunxudoushigudingde,yejiushishuo,shiliangbixuanzhaobiaoge2的次序來排列。表格3是一個具體的例子。序列的第3個元素(相量6或者相量9)對應不同的占空比。占空比a,b,c,d的順序並不總是相同。這是輸入電流和輸出電壓所在的扇區來決定。占空比的順序是:1)如果輸入電流和輸出電壓所在的扇區都是奇數或者偶數,作用順序為;duty_a,duty_c,duty_d,duty_b;2)如果輸入電流和輸出電壓所在的扇區一個是偶數,一個是奇數,作用順序是:通過這種方式,不同的占空比就與相應的相量對應。
[page]
2 仿真研究
盡管現有的DSP技術和FPGA技術處理速度很快,很有效,但矩陣變換器的控製仍非常複雜,在仿真中,若按傳統方法使用定義好的Simulink模塊,會非常繁瑣,因為必須正確的設置大量的參數,而又沒有合適的調試工具。通過Matlab/Simulink裏的功能強大的S函數,S函數完美地結合了Simulink框圖簡潔明快的特點和Matlab編程靈活方便的優點,可充分利用Matlab提供的豐富資源,調用各種工具箱函數,實現模塊所無法實現的複雜功能,從而使問題大大簡化。編程中既可以使用C語言,也可以使用Matlab語言來實現空間矢量調製法。使用後者會更簡單些,以下是部分程序:
矩陣變換器開關的驅動信號從S函數模塊的輸出端獲得,S函han數shu模mo塊kuai的de輸shu入ru是shi輸shu出chu電dian壓ya參can考kao向xiang量liang和he輸shu入ru功gong率lv因yin素su。可ke以yi對dui空kong間jian矢shi量liang法fa的de執zhi行xing時shi間jian有you一yi個ge完wan整zheng的de控kong製zhi。整zheng個ge平ping台tai的de仿fang真zhen速su度du比bi離li散san模mo塊kuai快kuai很hen多duo,分fen析xi方fang法fa更geng清qing楚chu明ming了le。可ke以yi隨sui時shi在zai調tiao製zhi方fang法fa中zhong增zeng加jia額e外wai的de功gong能neng。
3 Matlab-Simulink的仿真結果
設定的輸出頻率為100 Hz,電壓調製比為0.75,仿真算法為ode15s,仿真時間為0.4s,濾波參數為L=100mH,C=70μF,負載為星形連接感性RL負載,采用輸入功率因素為1的控製策略,輸入相電壓和相電流基本同相位,仿真結果表明矩陣變換器的輸出電壓是一個正弦性很好的PWM波形,諧波分量比較小,輸出線電流的正弦性較好,驗證了控製策略的正確性,以下為各仿真波形。
4 結論
該文介紹了一種有效快速的方法來實現矩陣變換器的空間矢量調製方法。仿真結果證明:可減少仿真模塊的數量,縮短了模擬仿真時間,調試容易,給矩陣變換器的實際設計奠定了堅實的理論基礎。
- 基於雙空間矢量調製方法分析矩陣變換器
- 學習雙空間矢量調製策略
- 實現矩陣變換器的空間矢量調製方法
傳統的AC/DC/AC變換器體積和重量龐大(存在直流環節),諧波電流的存在對其他的設備有嚴重的影響。矩陣變換器的提出解決了這些問題,相比較傳統的變換器,矩陣變換器有以下優點:
1)沒有電感器或電容器這樣體積龐大的儲能元件,結構緊湊,體積大大減小;
2)通過濾波器,開關頻率諧波能夠減少到符合要求,就可以得到正弦輸入電流;
3)可控的輸入功率因素,可達到1,更高的可靠性;
4)雙向開關的使用,使變換器的四象限換流非常容易,能量可雙向流動;
5)對複雜的環境條件具有很高的適應度,能在高、低壓環境中使用,也可以用在高溫環境中,諸如太空和水下(因為電解電容的使用受到限製),非常適合用在潮汐發電站中。
基(ji)於(yu)上(shang)述(shu)諸(zhu)多(duo)的(de)優(you)點(dian),使(shi)矩(ju)陣(zhen)變(bian)換(huan)器(qi)越(yue)來(lai)越(yue)多(duo)地(di)被(bei)關(guan)注(zhu),然(ran)而(er),至(zhi)今(jin)它(ta)還(hai)不(bu)是(shi)一(yi)個(ge)成(cheng)熟(shu)的(de)技(ji)術(shu)。焦(jiao)點(dian)主(zhu)要(yao)集(ji)中(zhong)在(zai)它(ta)的(de)拓(tuo)撲(pu)結(jie)構(gou),控(kong)製(zhi)方(fang)法(fa),換(huan)流(liu)技(ji)術(shu)。通(tong)常(chang)使(shi)用(yong)的(de)控(kong)製(zhi)方(fang)法(fa)是(shi)空(kong)間(jian)矢(shi)量(liang)調(tiao)製(zhi)法(fa),而(er)在(zai)現(xian)有(you)的(de)資(zi)料(liao)中(zhong)很(hen)少(shao)有(you)非(fei)常(chang)詳(xiang)盡(jin)的(de)描(miao)述(shu)。本(ben)文(wen)將(jiang)對(dui)矩(ju)陣(zhen)變(bian)換(huan)器(qi)應(ying)用(yong)雙(shuang)空(kong)間(jian)矢(shi)量(liang)調(tiao)製(zhi)法(fa)進(jin)行(xing)詳(xiang)盡(jin)的(de)分(fen)析(xi)。
1 雙空間矢量調製策略
矩陣變換器應用雙空間矢量調製法(SVM)時可以等效為一個虛擬的整流器和一個虛擬的逆變器,它們的6個有效的空間矢量分別如圖1所示,對輸入電流和輸出電壓分別進行嵌套。從而有36種可能的扇區組合。

以虛擬整流器、逆變器均工作在第一扇區為例,相量合成的固定空間電流、電壓相量分別是I6、I1和U6、U1,兩個空間相量的綜合調製采用相互嵌套的辦法來實現。整個輸入相電流和輸出相電壓相量合成共有I6-U6、I6-U1、I1-U6、I1-U1、I0-U0 5種組合。每一相量組合的作用時間用占空比duty來表示。等式(1~5)反映了占空比的計算公式。占空比可以通過表1來分配給相應的開關組合。

[page]


空(kong)間(jian)矢(shi)量(liang)調(tiao)製(zhi)法(fa)隻(zhi)確(que)定(ding)開(kai)關(guan)間(jian)隔(ge)中(zhong)應(ying)用(yong)電(dian)壓(ya)矢(shi)量(liang)的(de)占(zhan)空(kong)比(bi),從(cong)而(er)獲(huo)得(de)低(di)頻(pin)率(lv)的(de)輸(shu)出(chu)電(dian)壓(ya)和(he)輸(shu)入(ru)電(dian)流(liu)的(de)平(ping)均(jun)值(zhi),但(dan)是(shi)並(bing)沒(mei)有(you)確(que)定(ding)使(shi)用(yong)的(de)順(shun)序(xu)。所(suo)以(yi)需(xu)要(yao)使(shi)用(yong)雙(shuang)空(kong)間(jian)矢(shi)量(liang)調(tiao)製(zhi)法(fa),同(tong)時(shi)也(ye)可(ke)改(gai)善(shan)波(bo)形(xing)的(de)質(zhi)量(liang)。圖(tu)2表明了輸入電流在4扇區,輸出電壓在5扇區應用雙空間矢量調製的順序。電壓矢量在開關間隔中對稱分布,零矢量每4個開關間隔使用一次。在每次開關轉換中隻有一個開關狀態發生改變以最大程度地降低損耗。在圖2中通過表格2確定相應開關時間:


2 仿真研究
盡管現有的DSP技術和FPGA技術處理速度很快,很有效,但矩陣變換器的控製仍非常複雜,在仿真中,若按傳統方法使用定義好的Simulink模塊,會非常繁瑣,因為必須正確的設置大量的參數,而又沒有合適的調試工具。通過Matlab/Simulink裏的功能強大的S函數,S函數完美地結合了Simulink框圖簡潔明快的特點和Matlab編程靈活方便的優點,可充分利用Matlab提供的豐富資源,調用各種工具箱函數,實現模塊所無法實現的複雜功能,從而使問題大大簡化。編程中既可以使用C語言,也可以使用Matlab語言來實現空間矢量調製法。使用後者會更簡單些,以下是部分程序:

3 Matlab-Simulink的仿真結果
設定的輸出頻率為100 Hz,電壓調製比為0.75,仿真算法為ode15s,仿真時間為0.4s,濾波參數為L=100mH,C=70μF,負載為星形連接感性RL負載,采用輸入功率因素為1的控製策略,輸入相電壓和相電流基本同相位,仿真結果表明矩陣變換器的輸出電壓是一個正弦性很好的PWM波形,諧波分量比較小,輸出線電流的正弦性較好,驗證了控製策略的正確性,以下為各仿真波形。

4 結論
該文介紹了一種有效快速的方法來實現矩陣變換器的空間矢量調製方法。仿真結果證明:可減少仿真模塊的數量,縮短了模擬仿真時間,調試容易,給矩陣變換器的實際設計奠定了堅實的理論基礎。
特別推薦
- 噪聲中提取真值!瑞盟科技推出MSA2240電流檢測芯片賦能多元高端測量場景
- 10MHz高頻運行!氮矽科技發布集成驅動GaN芯片,助力電源能效再攀新高
- 失真度僅0.002%!力芯微推出超低內阻、超低失真4PST模擬開關
- 一“芯”雙電!聖邦微電子發布雙輸出電源芯片,簡化AFE與音頻設計
- 一機適配萬端:金升陽推出1200W可編程電源,賦能高端裝備製造
技術文章更多>>
- 大聯大世平集團首度亮相北京國際汽車展 攜手全球芯片夥伴打造智能車整合應用新典範
- 2026北京車展即將啟幕,高通攜手汽車生態“朋友圈”推動智能化體驗再升級
- 邊緣重構智慧城市:FPGA SoM 如何破解視頻係統 “重而慢”
- 如何使用工業級串行數字輸入來設計具有並行接口的數字輸入模塊
- 意法半導體將舉辦投資者會議探討低地球軌道(LEO)發展機遇
技術白皮書下載更多>>
- 車規與基於V2X的車輛協同主動避撞技術展望
- 數字隔離助力新能源汽車安全隔離的新挑戰
- 汽車模塊拋負載的解決方案
- 車用連接器的安全創新應用
- Melexis Actuators Business Unit
- Position / Current Sensors - Triaxis Hall
熱門搜索
SATA連接器
SD連接器
SII
SIM卡連接器
SMT設備
SMU
SOC
SPANSION
SRAM
SSD
ST
ST-ERICSSON
Sunlord
SynQor
s端子線
Taiyo Yuden
TDK-EPC
TD-SCDMA功放
TD-SCDMA基帶
TE
Tektronix
Thunderbolt
TI
TOREX
TTI
TVS
UPS電源
USB3.0
USB 3.0主控芯片
USB傳輸速度



