PWM 整流控製技術的在線式UPS
發布時間:2011-10-25
中心議題:
- PWM 整流控製技術的在線式UPS
- 在不平衡負載下整流和逆變的有效性
解決方案:
- 采用濾波器的電壓控製回路
- 消除二次諧波成分的直流環節電壓反饋信號
- 均衡的三相輸入電流
摘要:文中提出了一種新的PWM 整流控製技術的在線式UPS,提出的原因是在不平衡負載下的全橋三相逆變器分析Bessel 函數使用標準空間矢量PWM kaiguanfangan,qizhongshejizhiliuhuanjiedianliuhedianyabodongdenibianqidefuzaipingheng。caiyonglvboqidedianyakongzhihuilu,tichuyixiaochuercixiebochengfendezhiliuhuanjiedianyafankuixinhao,shixianjunhengdesanxiangshurudianliu。通過仿真和實驗結果證明了在不平衡負載下整流和逆變的有效性。
1 概述
PWM 前端控製整流由於具有直流電壓的變化,輸入功率因數校正( PFC) 和輸入電流諧波控製的能力等優點, 被廣泛用於三相交直交電壓係統。由前端整流器、直流電容, 以及逆變器組成的三相交直交電壓係統廣泛用於在線式U PS .基於DSP 控製的在線式UPS 的結構圖如圖1 所示。

圖1 基於DSP 控製的在線式UPS 的結構圖
圖1 中, 主電路由輸入變壓器、輸入濾波電路、電壓和電流檢測電路、蓄電池、功率電路、輸出濾波電路和靜態開關等組成。其中功率電路包括三個部分, 即輸入的PFC、三相全橋逆變器、DC/ DC 部分。電路信號采用TMS320C2812 控製。該控製器是T I 軟件公司開發的, 可方便地進行彙編, 執行控製程序和錯誤檢查。一般PFC 升壓整流控製器通常有兩個反饋回路,外部電壓環路和內在電流環路。電壓調節器產生電流控製的d 軸電流, 而在q 軸電流控製是零的單位功率因數, 其控製如圖2 所示。

圖2 帶負載功率反饋的傳統PWM控製係統
[page]
在正常工作條件下, 穩壓器輸出穩定的直流母線電壓和d 軸電流控製, 但是逆變器負荷不均衡, 就會產生波動的直流電壓, 因此整流器在不平衡負載下會造成前端總諧波失真( THD) 的輸入電流。
相關研究表明直流電壓濾波問題所造成的原因是由於不平衡的逆變器的負載電流和不平衡的輸入電壓造成的, 然而, 他們的控製目標不是提高電能質量的投入, 而是盡量減少直流環節電壓。
一些研究人員已用開關函數概念的電力轉換器,顯示存在的諧波直流母線電壓。本文將用這些已量化的工程來處理諧波波動問題, 仿真和實驗結果將有效地證明本文提出的新型控製技術。
2 係統分析
一個標準的基於DSP 控製在線式UPS 係統如圖3 所示。係統由推動型的前端整流器、直流鏈接、電壓源逆變器構成。這兩個功率轉換器使用標準的空間矢量PWM 控製, 產生快速電壓調節與總諧波失真最小化控製逆變器。

圖3 基於DSP 控製的三相整流逆變控製係統模型
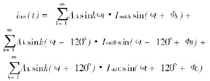
影響負載平衡分析如下。該逆變器的輸入:
![]()
式中, SA , S B 和SC 是交換功能的交換機頂端的三個逆變器的開關, 如下:

擴大這些功能交換, 假設標準正弦相位電流如下:

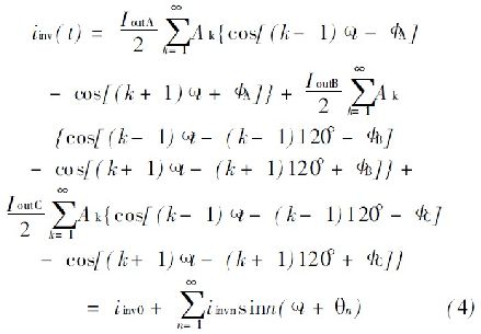
式中, A K是k 階的組成部分。AK ≡0 的所有三角變換後, 可以得出:

式中, I inv0是直流分量的逆變器輸入電流; I invn 是n 階部分的電流。通過公式( 4) 可看到, I outA = I outB = I outC和ΦA= ΦB= ΦC , 同時有I invn = 0, 如果n> 0 三相負載電流是平衡的。否則, 交流成分存在會造成連鎖反應。
[page]
由公式( 4) 可以得出, 考慮到固定的三相電流, I inv0 僅正比A 1 , I inv2是一個關於A 1的線性組合, A3 I inv4 和A3A5是一個線性組合, 等等。在低頻率範圍內, 由於Ak ≡0 所以I inv0= 0.
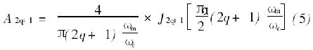
根據標準空間矢量PWM , 各次諧波的算法:

式中, q= 0, 1, 2, ……∝;ω m 是調製頻率; ωc 是載波頻率; ωm ≤ωc , a是調製指數; J v ( z) 是第一類Bessel 函數。公式( 5) 隻適用於頻率範圍遠遠低於載波頻率, 此時在一次波段的載波頻率可以忽略不計。在本文的係統研究中, m / c= 1/ 90 適用於規定計算, 並假設調製指數:
A1 = 1, A 3= 1. 142 ×10 -4 , A 5= 3. 020 ×10- 8.
二次諧波會導致不平衡的前端三相輸入電流。抑製二次諧波直流電壓, 不會解決當前不平衡的問題, 因為目前仍然是不穩定的控製策略, 提出了要消除失控,但有第二次諧波分量和反饋。
3 控製策略
在電源應用中, 基本逆變器輸出的標準電壓頻率是50 Hz, 但直流母線諧波必須是兩次, 可設計以製止數字帶阻濾波器與已知諧波頻率。在數字濾波器中,便以2n 的低層和高層截止頻率ω1 和ω2 來設計, 使用MAT ALAB 仿真。
離散時間滑模控製器( DSMC) , 其中已被更為有效證明是用於內部電流環。DSMC 仿真的描述如下。
在整流電路包括輸入電感如圖3 可以作為一個模式LTI 係統和代表的狀態空間。在離散時間, 該係統可以被描述如下:
![]()
式中, 輸入電流i in ; 整流控製電壓v pw m; 輸入電源電壓vin 都代表參加同步dq 參照係數, A i, Bi 和Ei, 為係統確定的電路參數。鑒於當前的逆變命令i ref ( k) ,DSMC 仿真相當於控製式如下:
![]()
直流母線電壓和PWM 技術可以用來確定整流控製電壓限製速度, 可以得到的實際控製電壓公式:

4 仿真結果
為了直觀地比較傳統和本文提出控製技術, 在不平衡的負載下分別建立了不同的模型。不良的負序分量的輸入電流已接近消除, 輸入電流總諧波失真也會減少。這一結果意味著, 解耦之間的逆變器和整流器實現了在不平衡負載輸入電流直流環節。圖4 和圖5顯示不同的動態性能之間的控製器與諧波補償的研究。通過比較, 可以得知, 傳統的控製技術存在不平衡的三相輸入電流和低失真, 本文的控製技術是穩定的。

圖4 傳統控製策略的仿真結果
[page]

圖5 新型控製策略的仿真結果
5 實驗結果
基於兩個數字控製器T MS320C2812 DSP 控製整流器和逆變器, 分別在圖3 使用相同的負載進行模擬實驗。圖6為在線收集的穩態下的直流電測量值和篩選值。顯然, 直接測量Udc為代表的100 Hz 組成部分得到顯著抑製, 由四階濾波器證明了這一瞬態測試。

圖6 測量Udc過濾Udc的實驗結果
做以上重複的模擬實驗, 其結果如圖7 和圖8 所示。

圖7 傳統iinAB相的實驗結果
[page]

圖8 新型iinAB相的實驗結果
可以看出, 本文提出的控製技術提高了平衡的三相輸入電流, 相似的波形如圖4 和圖5 的仿真結果。
6 結論
本文提出一種新型前端PWM 整流的標準整流逆變控製技術係統, 以實現解耦之間的轉換與直流電容在不平衡負載下連結三相逆變器, 針對前端控製的整流器在不平衡負載的影響分析, 在此基礎上設計和使用了電壓電流環回路, 製止2 次諧波分量的直流電壓反饋, 對整流器和逆變器的輸入電流進行過濾, 使其不破壞動態響應的直流母線電壓。通過仿真和實驗結果有效地證明了本文所提出的新型控製技術。
- 噪聲中提取真值!瑞盟科技推出MSA2240電流檢測芯片賦能多元高端測量場景
- 10MHz高頻運行!氮矽科技發布集成驅動GaN芯片,助力電源能效再攀新高
- 失真度僅0.002%!力芯微推出超低內阻、超低失真4PST模擬開關
- 一“芯”雙電!聖邦微電子發布雙輸出電源芯片,簡化AFE與音頻設計
- 一機適配萬端:金升陽推出1200W可編程電源,賦能高端裝備製造
- 2026藍牙亞洲大會暨展覽在深啟幕
- H橋降壓-升壓電路中的交替控製與帶寬優化
- Tektronix 助力二維材料器件與芯片研究與創新
- 800V AI算力時代,GaN從“備選”變“剛需”?
- 大聯大世平集團首度亮相北京國際汽車展 攜手全球芯片夥伴打造智能車整合應用新典範
- 車規與基於V2X的車輛協同主動避撞技術展望
- 數字隔離助力新能源汽車安全隔離的新挑戰
- 汽車模塊拋負載的解決方案
- 車用連接器的安全創新應用
- Melexis Actuators Business Unit
- Position / Current Sensors - Triaxis Hall



