電機噪聲分析與控製
發布時間:2021-09-03 責任編輯:wenwei
【導讀】電機噪聲主要來自三個方麵:空氣噪聲、機械噪聲和電磁噪聲,但有時也會將電路內部噪聲列入噪聲源之一。電路內部噪聲主要來自電路自勵、電源哼聲以及電路元件中的電子流起伏變化和自由電子的熱運動。
1. 空氣噪聲

空氣噪聲主要由於風扇轉動,使空氣流動、撞擊、摩擦而產生。噪聲大小決定於風扇大小、形狀、電機轉速高低和風阻風路等情況。
空氣噪聲的基本頻率
其中,N——風扇葉片數;n——電機轉速。
風扇直徑越大,噪聲越大,減小風扇直徑10%,可以減小噪聲2—3dB。但隨之冷量也會減少。當風葉邊緣與通風室的間隙過小,就會產生笛聲(似吹笛聲)。如ru果guo風feng葉ye形xing狀zhuang與yu風feng扇shan的de結jie構gou不bu合he理li,造zao成cheng渦wo流liu,同tong樣yang也ye會hui產chan生sheng噪zao聲sheng。由you於yu風feng扇shan剛gang度du不bu夠gou,受shou氣qi流liu撞zhuang擊ji時shi發fa生sheng振zhen動dong,也ye會hui增zeng加jia噪zao聲sheng。此ci外wai,轉zhuan於yu有you凸tu出chu部bu分fen,也ye會hui引yin起qi噪zao聲sheng。

2. 機械噪聲
空氣噪聲主要由於風扇轉動,使空氣流動、撞擊、摩擦而產生。噪聲大小決定於風扇大小、形狀、電機轉速高低和風阻風路等情況。
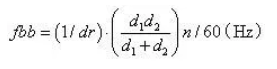
空氣噪聲的基本頻率
則滾珠的旋轉頻率

式中:
dr——滾珠直徑(mm)
d1——軸承內圈滾道的直徑(mm)
d2——軸承外圈滾道的直徑(mm)
保持架的旋轉頻率

其中,N——風扇葉片數;n——電機轉速(RPM)。
而軸承內外圈滾道中的波紋、凹坑、超糙度是引起噪聲的主要原因。
試(shi)驗(yan)表(biao)明(ming),噪(zao)聲(sheng)聲(sheng)壓(ya)級(ji)與(yu)滾(gun)動(dong)麵(mian)的(de)波(bo)紋(wen)高(gao)度(du)和(he)波(bo)紋(wen)數(shu)的(de)乘(cheng)積(ji)成(cheng)正(zheng)比(bi)。此(ci)外(wai),徑(jing)向(xiang)遊(you)隙(xi)的(de)大(da)小(xiao),也(ye)影(ying)響(xiang)噪(zao)聲(sheng),減(jian)小(xiao)徑(jing)向(xiang)遊(you)隙(xi),可(ke)降(jiang)低(di)噪(zao)聲(sheng),但(dan)是(shi)徑(jing)向(xiang)遊(you)隙(xi)小(xiao)的(de)軸(zhou)承(cheng)要(yao)求(qiu)配(pei)用(yong)在(zai)兩(liang)軸(zhou)承(cheng)室(shi)同(tong)心(xin)度(du)高(gao)的(de)機(ji)殼(ke)和(he)端(duan)蓋(gai),並(bing)且(qie)對(dui)轉(zhuan)子(zi)同(tong)軸(zhou)度(du)的(de)要(yao)求(qiu)提(ti)高(gao)。
tongshirunhuazhizhiliangdeyoulieyeshiyingxiangzaoshengdezhuyaoyuanyin。zaoshengyurunhuazhidezhanduyouguan,shiyanbiaoming,zaoshengsuizhanduzengdaerjianxiao,danzhanbianzengdadaoyidingshuzhihou,zaoshengfanerzengda,zheshiyinweiyoumoduizhendongyouyuanchongzuoyong,zhanduda、噪聲低,但當粘度過大,轉動時出現攪拌聲。
安(an)裝(zhuang)誤(wu)差(cha)對(dui)軸(zhou)承(cheng)噪(zao)聲(sheng)的(de)影(ying)響(xiang)。軸(zhou)承(cheng)的(de)安(an)裝(zhuang)誤(wu)差(cha)超(chao)過(guo)某(mou)一(yi)臨(lin)界(jie)值(zhi)會(hui)使(shi)軸(zhou)承(cheng)噪(zao)聲(sheng)急(ji)劇(ju)增(zeng)大(da),而(er)臨(lin)界(jie)角(jiao)隨(sui)軸(zhou)承(cheng)徑(jing)向(xiang)遊(you)隙(xi)減(jian)小(xiao)而(er)減(jian)小(xiao)。圖(tu)一(yi)表(biao)示(shi)某(mou)單(dan)列(lie)內(nei)心(xin)軸(zhou)承(cheng)在(zai)不(bu)同(tong)徑(jing)向(xiang)遊(you)隙(xi)時(shi)安(an)裝(zhuang)誤(wu)差(cha)角(jiao)對(dui)噪(zao)聲(sheng)的(de)關(guan)係(xi)。

3. 電磁噪聲

作用在電機定、轉zhuan子zi空kong氣qi隙xi中zhong的de交jiao變bian電dian磁ci力li會hui使shi電dian機ji定ding轉zhuan子zi產chan生sheng振zhen動dong及ji噪zao聲sheng。由you於yu氣qi隙xi磁ci場chang不bu僅jin有you基ji波bo而er且qie還hai有you一yi係xi列lie高gao次ci諧xie波bo存cun在zai,這zhe些xie磁ci場chang相xiang互hu作zuo用yong將jiang產chan生sheng周zhou期qi性xing的de作zuo用yong力li,基ji波bo及ji高gao次ci諧xie波bo電dian磁ci力li均jun會hui引yin起qi振zhen動dong及ji噪zao聲sheng。
電磁聲頻率分布大多在100-4000Hz之間。振動及噪聲強度的大小與電磁力的大小和定子、zhuanzigangduyouguan。dangjifazhendongdedianciliyuzhendongdelingbujiandezizhenpinlvxiangwenheshi,jianghuichanshenggongzhen,zhendongjizaoshengyejiangxianzhuzengjia。dianciliyoujingxiangfenliangheqiexiangfenliang,diancilijingxiangfenliangzaiyinqidianjizhendongjizaoshengfangmianqizhuyaozuoyong,tashidingzitiexinchanshengjingxiangzhendong,jingxiangzhendongchanshengdezaoshengweidianjidiancizaoshengdezhuyaochengfen。zaicaiyongdanshucaozhuanzichongpianshi,caozhizaoshengchengweidiancizaoshengdezuizhuyaobufen。dianjiyunxingguochengzhong,danshucaodezhuanzitiexinzhouqixingdishoudaodanbiancilalidebianhuasuochanshengde,qiyuanyinketongguotuyilaijieshi。

在圖(a)中(zhong),上(shang)磁(ci)極(ji)極(ji)弧(hu)下(xia)覆(fu)蓋(gai)三(san)個(ge)轉(zhuan)子(zi)槽(cao),而(er)下(xia)磁(ci)極(ji)極(ji)弧(hu)隻(zhi)覆(fu)蓋(gai)兩(liang)個(ge)轉(zhuan)子(zi)槽(cao),此(ci)時(shi)上(shang)部(bu)磁(ci)拉(la)力(li)大(da),下(xia)部(bu)磁(ci)拉(la)力(li)小(xiao),使(shi)定(ding)子(zi)鐵(tie)芯(xin)有(you)向(xiang)上(shang)移(yi)動(dong)的(de)趨(qu)勢(shi)。當(dang)轉(zhuan)子(zi)轉(zhuan)動(dong)半(ban)個(ge)槽(cao)距(ju)後(hou),則(ze)如(ru)圖(tu)(b)suoshi,cishixiacijijihufugailesangezhuanzicao,ershangcijijixianzhifugailelianggezhuanzicao,cishidecilaliqingkuangqilebianhua,xiabucilalida,shangbucilalixiao,yincidingzitiexinyouxiangxiayidongdequshi。suoyizaizhuanzixuanzhuanguochengzhong,dingzitiexinchanshengzhouqixingdeshangxiazhendong。tongli,zhuanzishoudaolezhouqixingbianhuadedanbiancilali,congeryinqizhuanzizhendong。
采用雙數槽轉子時,不會發生上述情況,但轉子旋轉時槽位變化,在氣隙中造成脈振磁場,也可能引起振動。
按照上麵分析,所產生的電磁噪聲頻率
式中:Z ——轉子槽數
zaidiancizaoshengzhong,chushangshuyuanyinsuochanshengdezaoshengwai,haiyouyudianliuzhongdegaocixiebofenliang,zaidingzhuanziqichanshengxiebocichang,yehuichanshengbujunyundeliju,zaochengzhendongerchanshengzaosheng。
噪聲鑒別方法
1. 斷電法
利用電磁噪聲隨磁場強弱、負(fu)載(zai)電(dian)流(liu)大(da)小(xiao)以(yi)及(ji)轉(zhuan)換(huan)高(gao)低(di)而(er)變(bian)的(de)特(te)征(zheng),對(dui)空(kong)載(zai)運(yun)行(xing)的(de)電(dian)動(dong)機(ji)靜(jing)聽(ting)一(yi)段(duan)時(shi)間(jian)後(hou)突(tu)然(ran)切(qie)斷(duan)電(dian)源(yuan),隨(sui)著(zhe)電(dian)源(yuan)的(de)切(qie)斷(duan)部(bu)分(fen)噪(zao)聲(sheng)會(hui)立(li)即(ji)消(xiao)失(shi),此(ci)為(wei)電(dian)磁(ci)噪(zao)聲(sheng)。停(ting)電(dian)後(hou)電(dian)機(ji)借(jie)慣(guan)性(xing)繼(ji)續(xu)運(yun)轉(zhuan)產(chan)生(sheng)的(de)噪(zao)聲(sheng)則(ze)為(wei)機(ji)械(xie)噪(zao)聲(sheng)。反(fan)複(fu)數(shu)次(ci)以(yi)期(qi)得(de)到(dao)確(que)定(ding)。
2. 改變電壓法
將電源電壓急速下降至一定限度(轉速無較大變化)時,如果電磁噪聲是電機噪聲的主要部分,則會隨電壓變化很大,而其他噪聲基本不變。
3. 電流測試法
若定子繞組不對稱或內部斷相、匝間短路,則三相電流不平衡;若轉子斷籠或繞線式電機轉子三相不對稱,則定子電流有波動,以此來鑒別出電磁噪聲。
4. 拖動法
用低噪聲電動機拖動被試電機旋轉,提起及放下碳刷數次,可鑒別出碳刷噪聲的影響。
5. 拆卸部件法
對於空氣動力噪聲具有穩定的特征,可以通過取下風扇(小型電動機)或外鼓風機(大、中型電動機)前後噪聲變化的情況來鑒別。另外,更換不同外徑和型式的風扇,在不同轉速下區分噪聲的差別,也可鑒別出風扇噪聲。
噪聲控製方案
1. 合理設計電機的結構
(1)正確選用風扇材質和結構:單向旋轉的高速電動機,可采用流線型後傾式離心式風扇,對離心式風扇,帶倒向環的比不帶倒向環的噪聲低;此外,盆式風扇比大刀式風扇噪聲低;鋁質風扇比尼龍風扇噪聲低。
(2)改進風路:加大風扇外緣與風扇罩或端麵內腔間隙,取消風道中的障礙,使風流方向平滑,可改善噪聲。
(3)定子繞組采用合理的短距。
(4)異步電動機轉子采用相對傾斜的雙斜槽結構以減少軸向力;直流電動機采用不均勻氣隙。交流電動機采用磁性槽楔,不但可以減少諧波損失提高效率,還可以減少由諧波磁場引起的電磁噪聲。
(5)使用中的電機產生“掃膛”時shi,可ke適shi當dang增zeng大da氣qi隙xi以yi減jian少shao氣qi隙xi磁ci密mi。當dang電dian機ji功gong率lv有you裕yu量liang時shi,可ke將jiang轉zhuan子zi圓yuan周zhou車che去qu一yi部bu分fen,以yi增zeng大da氣qi隙xi,消xiao除chu高gao次ci諧xie波bo引yin起qi的de噪zao聲sheng,但dan在zai減jian小xiao的de同tong時shi,增zeng大da了le空kong載zai電dian流liu,並bing使shi功gong率lv因yin數shu有you所suo降jiang低di。
(6)適當控製軸承滾動麵的波紋、凹坑、粗糙度及徑向間隙。
(7)提高換向器表麵加工精度和光潔度以減少電刷噪聲。
(8)增加機座剛度及平衡度,必要時可用水平儀做一下地基的水平;目測一下電動機安裝角度與拖動的機械是否合適。

2. 確保裝配工藝精良
(1)選用高質量的軸承。軸承與轉軸或軸承與軸承座之間的配合應適當,並控製好軸承熱套時的溫度及時間。
(2)zhuanzidongpinghengbuhaoshichanshengjixiezaoshengdezhuyaoyuanyin,suoyiyaotigaozhuanzidedongpinghengjianyanjingdu,jinliangjianshaopianxindeyingxiang,baozhengdiandongjianzhuangshilianzhouqidetongxindu。
(3)軸承潤滑脂選用合適型號且無雜質。軸承內腔所塗的潤滑脂量應為軸承室內部空間的1/3—2/3為宜。
(4)不bu同tong種zhong類lei的de軸zhou承cheng需xu按an其qi安an裝zhuang工gong藝yi的de要yao求qiu安an裝zhuang軸zhou承cheng裝zhuang配pei原yuan則ze上shang不bu允yun許xu采cai用yong銅tong棒bang擊ji打da的de方fang法fa,否fou則ze會hui由you於yu軸zhou承cheng內nei圈quan受shou力li不bu均jun損sun傷shang軸zhou承cheng。采cai用yong熱re套tao方fang法fa裝zhuang配pei軸zhou承cheng時shi,事shi先xian要yao仔zai細xi檢jian查zha軸zhou承cheng與yu軸zhou頸jing的de配pei合he尺chi寸cun,因yin為wei熱re套tao與yu冷leng套tao不bu同tong,熱re套tao時shi套tao入ru軸zhou承cheng的de過guo程cheng中zhong,不bu易yi發fa覺jiao軸zhou頸jing與yu軸zhou承cheng的de配pei合he公gong差cha和he過guo盈ying程cheng度du是shi否fou適shi宜yi。軸zhou承cheng熱re套tao後hou不bu應ying移yi動dong電dian機ji或huo裝zhuang配pei其qi他ta附fu件jian以yi防fang止zhi軸zhou承cheng移yi位wei。
其他減噪方式
(1)容量超過10MW,轉速超過1000r/min的大容量高速電動機,采用剛性的隔離罩(內表麵粘貼吸音材料)將電機罩起來,是最有效的減噪辦法。
(2)在產生氣流噪聲最強的部分加裝有對氣流的阻力小,不影響電機散熱和裝卸方便的消聲器。
(3)搬運中避免機座遭受機械撞擊。
(4)電dian動dong機ji是shi從cong電dian源yuan吸xi收shou電dian能neng,轉zhuan換huan成cheng機ji械xie能neng再zai從cong軸zhou上shang輸shu出chu,所suo以yi電dian網wang中zhong采cai取qu動dong態tai無wu功gong補bu償chang和he濾lv波bo裝zhuang置zhi,使shi電dian源yuan中zhong的de諧xie波bo分fen量liang符fu合he規gui範fan要yao求qiu,提ti高gao供gong電dian質zhi量liang,保bao證zheng電dian壓ya、頻率合格,三相電壓平衡,以控製電機噪聲。
(5)電動機運行時軸承蓋不應打開;保持電動機的清潔;定期更換潤滑脂;經常清潔換向器表麵以保持其良好的潤滑接觸。
免責聲明:本文為轉載文章,轉載此文目的在於傳遞更多信息,版權歸原作者所有。本文所用視頻、圖片、文字如涉及作品版權問題,請聯係小編進行處理。
推薦閱讀:
特別推薦
- 噪聲中提取真值!瑞盟科技推出MSA2240電流檢測芯片賦能多元高端測量場景
- 10MHz高頻運行!氮矽科技發布集成驅動GaN芯片,助力電源能效再攀新高
- 失真度僅0.002%!力芯微推出超低內阻、超低失真4PST模擬開關
- 一“芯”雙電!聖邦微電子發布雙輸出電源芯片,簡化AFE與音頻設計
- 一機適配萬端:金升陽推出1200W可編程電源,賦能高端裝備製造
技術文章更多>>
- 算力爆發遇上電源革新,大聯大世平集團攜手晶豐明源線上研討會解鎖應用落地
- 築基AI4S:摩爾線程全功能GPU加速中國生命科學自主生態
- 一秒檢測,成本降至萬分之一,光引科技把幾十萬的台式光譜儀“搬”到了手腕上
- AI服務器電源機櫃Power Rack HVDC MW級測試方案
- 突破工藝邊界,奎芯科技LPDDR5X IP矽驗證通過,速率達9600Mbps
技術白皮書下載更多>>
- 車規與基於V2X的車輛協同主動避撞技術展望
- 數字隔離助力新能源汽車安全隔離的新挑戰
- 汽車模塊拋負載的解決方案
- 車用連接器的安全創新應用
- Melexis Actuators Business Unit
- Position / Current Sensors - Triaxis Hall
熱門搜索
微波功率管
微波開關
微波連接器
微波器件
微波三極管
微波振蕩器
微電機
微調電容
微動開關
微蜂窩
位置傳感器
溫度保險絲
溫度傳感器
溫控開關
溫控可控矽
聞泰
穩壓電源
穩壓二極管
穩壓管
無焊端子
無線充電
無線監控
無源濾波器
五金工具
物聯網
顯示模塊
顯微鏡結構
線圈
線繞電位器
線繞電阻



