理解輸出電壓紋波和噪聲一:輸出電壓紋波來源和抑製
發布時間:2020-09-11 來源:Yuan Tan 責任編輯:wenwei
【導讀】醫療設備、測試測量儀器等很多應用對電源的紋波和噪聲極其敏感。 理解輸出電壓紋波和噪聲的產生機製以及測量技術是優化改進電路性能的基礎。
第一部分:輸出電壓紋波
以Buck電路為例,由於寄生參數的影響,實際Buck電路的輸出電壓並非是穩定幹淨的直流電壓,而是在直流電壓上疊加了輸出電壓紋波和噪聲,如圖1所示。

圖1. Buck 輸出電壓紋波和噪聲
實際輸出電壓紋波由電感電流與輸出阻抗決定,由三部分組成,如圖2 所示。
1. 電感電流紋波通過輸出電容的寄生電阻ESR形成的壓降
2. 輸出電容的充放電
3. 寄生電感引起的電壓突變

圖2. 輸出電壓紋波的組成
butongleixingdeshuchudianrong,jishengcanshudedaxiaobutong,sanbufenwenbosuozhandebiliyeyousuobutong。yinci,shiyongbutongleixingdeshuchudianronghuidedaobutongboxingdedianyawenbo。rutu3所示,電解電容的ESR較大,紋波由ESR主導,波形與電感電流紋波形狀類似。陶瓷電容的ESR和ESL都很小,主要由電容的充放電主導,紋波類似電容的充放電曲線。OSCON電容三者的影響都體現在紋波中。

圖3. 不同類型輸出電容的電壓紋波
第二部分:輸出電壓紋波的測量
在測量輸出電壓紋波時,要注意如下幾點,正確方式如圖4所示。
1. 保證接地環路盡可能小,建議使用接地環
2. 探頭應靠近電容兩側
3. 避免同時使用示波器其他通道測試其他點位的波形
4. 如果隻關注開關頻率分量紋波,建議打開示波器帶寬限製
如圖5所示,左側波形同時測量開關節點和輸出電壓紋波,帶寬限製關閉。可以看到,輸出電壓紋波中的噪聲較大,影響紋波的測量。

圖4. 輸出電壓紋波測試方式

圖5. 輸出電壓紋波測試對比
第三部分:輸出電壓紋波的抑製
由以上分析可知,輸出電壓紋波由電感紋波電流和輸出電容阻抗決定(式1)。

因此,要降低輸出電壓紋波可以通過降低電感電流紋波或者降低輸出電容阻抗。 當(dang)輸(shu)入(ru)輸(shu)出(chu)電(dian)壓(ya)和(he)負(fu)載(zai)一(yi)定(ding)時(shi),電(dian)感(gan)電(dian)流(liu)的(de)紋(wen)波(bo)跟(gen)開(kai)關(guan)頻(pin)率(lv)和(he)電(dian)感(gan)量(liang)成(cheng)反(fan)比(bi)。增(zeng)加(jia)電(dian)感(gan)量(liang)或(huo)者(zhe)開(kai)關(guan)頻(pin)率(lv)可(ke)以(yi)有(you)效(xiao)降(jiang)低(di)輸(shu)出(chu)電(dian)壓(ya)的(de)紋(wen)波(bo),但(dan)開(kai)關(guan)頻(pin)率(lv)和(he)電(dian)感(gan)往(wang)往(wang)受(shou)到(dao)電(dian)路(lu)效(xiao)率(lv)和(he)體(ti)積(ji)等(deng)的(de)限(xian)製(zhi)。
當開關頻率和電感值一定時, 抑(yi)製(zhi)紋(wen)波(bo)電(dian)壓(ya)最(zui)有(you)效(xiao)的(de)方(fang)式(shi)是(shi)減(jian)小(xiao)輸(shu)出(chu)電(dian)容(rong)在(zai)開(kai)關(guan)頻(pin)率(lv)處(chu)的(de)輸(shu)出(chu)阻(zu)抗(kang)。在(zai)實(shi)際(ji)應(ying)用(yong)場(chang)景(jing)中(zhong),通(tong)常(chang)會(hui)並(bing)聯(lian)多(duo)種(zhong)不(bu)同(tong)的(de)輸(shu)出(chu)電(dian)容(rong)來(lai)獲(huo)得(de)足(zu)夠(gou)的(de)容(rong)量(liang)並(bing)降(jiang)低(di)輸(shu)出(chu)電(dian)壓(ya)紋(wen)波(bo),如(ru)圖(tu)6所示。由式(2)-(5)可以計算得到輸出電容的總阻抗以及等效的電阻和電容。若已知Buck電路的開關頻率,通過式(3)可得到開關頻率處的阻抗,也就可以得到輸出電壓紋波。但是,當輸出電容數量較多時,計算會變得很複雜。簡單有效的方式可以借助Excel 工具,如圖6所示。

圖6. 多個輸出電容並聯


圖7. 輸出電壓紋波計算工具
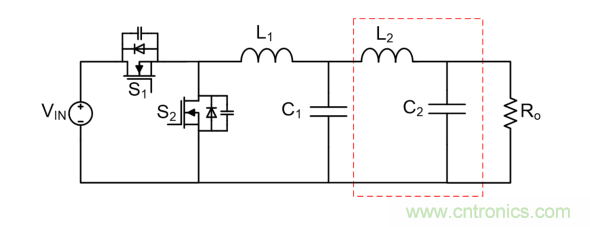
若選擇合適的電容仍然無法滿足紋波的要求,可以增加第二級LC 濾波器來進一步降低輸出電壓紋波, 如圖8所示。

圖8. Buck 電路第二級LC濾波器
第二級LC濾波器提供額外的增益衰減,但同時高品質因素Q值也會導致相位裕度降低,甚至導致環路穩定性問題,如圖9所示。為保證環路穩定,可以在L2兩端增加damp電阻,降低Q值。圖10以TI電源模塊LMZ23601為例 (Vin = 24V, Vout = 5V, Fsw = 750kHz, Iout = 1A),在輸出端增加160nH 電感, 3X22uF 電容, 250mΩ damp電阻,輸出電壓紋波<1mV。

圖9. Buck兩級濾波波特圖

圖10. LMZM23601 兩級濾波

圖11. LMZ23601 兩級濾波輸出電壓紋波
綜上所述,理解輸出電壓紋波的形成原理,根據實際應用要求,針對性地優化電感值、開關頻率以及輸出電容,可有效降低輸出電壓紋波,滿足應用需求。
推薦閱讀:
特別推薦
- 噪聲中提取真值!瑞盟科技推出MSA2240電流檢測芯片賦能多元高端測量場景
- 10MHz高頻運行!氮矽科技發布集成驅動GaN芯片,助力電源能效再攀新高
- 失真度僅0.002%!力芯微推出超低內阻、超低失真4PST模擬開關
- 一“芯”雙電!聖邦微電子發布雙輸出電源芯片,簡化AFE與音頻設計
- 一機適配萬端:金升陽推出1200W可編程電源,賦能高端裝備製造
技術文章更多>>
- 一秒檢測,成本降至萬分之一,光引科技把幾十萬的台式光譜儀“搬”到了手腕上
- AI服務器電源機櫃Power Rack HVDC MW級測試方案
- 突破工藝邊界,奎芯科技LPDDR5X IP矽驗證通過,速率達9600Mbps
- 通過直接、準確、自動測量超低範圍的氯殘留來推動反滲透膜保護
- 從技術研發到規模量產:恩智浦第三代成像雷達平台,賦能下一代自動駕駛!
技術白皮書下載更多>>
- 車規與基於V2X的車輛協同主動避撞技術展望
- 數字隔離助力新能源汽車安全隔離的新挑戰
- 汽車模塊拋負載的解決方案
- 車用連接器的安全創新應用
- Melexis Actuators Business Unit
- Position / Current Sensors - Triaxis Hall
熱門搜索




