電容濾波的解析與EMC整改建議
發布時間:2019-12-25 責任編輯:wenwei
【導讀】眾所周知,電容是各種電路板中極其重要的元器件之一。它的種類繁多,功能也是層出不窮,尤其以濾波功能出名。
一、電容的濾波作用

● 即頻率f越大,電容的阻抗Z越小。
● 當低頻時,電容C由於阻抗Z比較大,有用信號可以順利通過;
● 當高頻時,電容C由於阻抗Z已經很小了,相當於把高頻噪聲短路到GND上去了。
二、電容濾波在何時會失效
整改中常常會使用電容這種元器件進行濾波,往往有“大電容濾低頻,小電容濾高頻”的說法。
以常見的表貼式MLCC陶瓷電容為例,進行等效模型如下:

容值10nF,封裝0603的X7R陶瓷的模型參數如下:

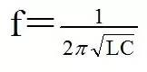
由於等效模型中既有電容C,也有電感L,組成了二階係統,就存在不穩定性。對電路回路來說,就是會發生諧振,諧振點在如下頻率處:

下圖是諧振曲線的示例:

即常說的在諧振點前是電容,諧振點之後就不再是電容了。
三、LC濾波何時使用
如果串聯電感L,再並聯組成C,就形成了LC濾波:

單獨一個電容C是一階係統,單獨一個電感L也是一階係統,在幅值衰減斜率是-20dB。但LC組成的二階係統,幅值衰減斜率是-40dB,更靠近理想的“立陡”的截止頻率的效果,即濾波效果更好。

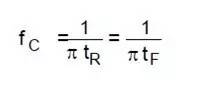
四、PWM頻率到底是多少
往往提到PWM,比如會說用20kHz PWM驅動電機等。但實際上,這個20kHz僅代表PWM的脈衝周期是50us:

那麼所謂的20kHz PWM在頻域上的頻率點落在哪裏呢,如下公式:

對於階躍信號來說,由於上升時間tr無窮小,則頻率f無窮大。當頻率高了之後,寄生參數則不能在忽略,會引發很多諧振的問題。
從信號上來看,就是很陡峭的階躍信號會有過衝和振蕩的問題。簡單來說就是頻率f越大,則噪聲所占的頻率就會越寬泛,即EMC特性就會越差。
五、如何將原理圖和PCB對應起來
由於細分工種的問題,原理圖和PCB被割裂開來,由兩組人進行分工作業:

例如在原理圖上有如下的電路:

其隱含一個問題就是在PCB上其實V1的負極和C1的負極是有一條線(PCB layout工具軟件中用的詞比較準確,Trace,蹤跡/軌跡)。
往往在設計階段A->B->C是都會關注的。如果EMC出現問題,除了要在原理圖上查找電路參數的問題,還需要特別關注C->D,即回流路徑。

如果回流路徑不順暢,會造成信號的畸變:

比如在EMC試驗時,MCU的ADC采集到的信號被幹擾到了,則除了在原理圖上分析外,在PCB上講該信號高亮出來,然後再耐心尋找該信號的回流路徑是否有不順暢的地方:

對著信號線頭腦中想象回流路徑,有點意識流的感覺。
六、總結

推薦閱讀:
特別推薦
- 噪聲中提取真值!瑞盟科技推出MSA2240電流檢測芯片賦能多元高端測量場景
- 10MHz高頻運行!氮矽科技發布集成驅動GaN芯片,助力電源能效再攀新高
- 失真度僅0.002%!力芯微推出超低內阻、超低失真4PST模擬開關
- 一“芯”雙電!聖邦微電子發布雙輸出電源芯片,簡化AFE與音頻設計
- 一機適配萬端:金升陽推出1200W可編程電源,賦能高端裝備製造
技術文章更多>>
- 算力爆發遇上電源革新,大聯大世平集團攜手晶豐明源線上研討會解鎖應用落地
- 築基AI4S:摩爾線程全功能GPU加速中國生命科學自主生態
- 一秒檢測,成本降至萬分之一,光引科技把幾十萬的台式光譜儀“搬”到了手腕上
- AI服務器電源機櫃Power Rack HVDC MW級測試方案
- 突破工藝邊界,奎芯科技LPDDR5X IP矽驗證通過,速率達9600Mbps
技術白皮書下載更多>>
- 車規與基於V2X的車輛協同主動避撞技術展望
- 數字隔離助力新能源汽車安全隔離的新挑戰
- 汽車模塊拋負載的解決方案
- 車用連接器的安全創新應用
- Melexis Actuators Business Unit
- Position / Current Sensors - Triaxis Hall
熱門搜索
微波功率管
微波開關
微波連接器
微波器件
微波三極管
微波振蕩器
微電機
微調電容
微動開關
微蜂窩
位置傳感器
溫度保險絲
溫度傳感器
溫控開關
溫控可控矽
聞泰
穩壓電源
穩壓二極管
穩壓管
無焊端子
無線充電
無線監控
無源濾波器
五金工具
物聯網
顯示模塊
顯微鏡結構
線圈
線繞電位器
線繞電阻


