在係統中成功運用低壓差穩壓器
發布時間:2019-12-24 來源:Ken Marasco 責任編輯:wenwei
【導讀】低壓差穩壓器(LDO)能neng夠gou在zai很hen寬kuan的de負fu載zai電dian流liu和he輸shu入ru電dian壓ya範fan圍wei內nei保bao持chi規gui定ding的de輸shu出chu電dian壓ya,而er且qie輸shu入ru和he輸shu出chu電dian壓ya之zhi差cha可ke以yi很hen小xiao。這zhe個ge電dian壓ya差cha被bei稱cheng為wei壓ya降jiang或huo裕yu量liang要yao求qiu,在zai負fu載zai電dian流liu為wei2A時可以低至80m。可調輸出低壓差穩壓器1於1977年首次推出。
現在,便攜設備需要使用的低壓差線性穩壓器經常多達20個。最新便攜設備中的許多LDO被集成進了多功能 電源管理芯片2 (PMIC)—這是高度集成的係統,擁有20個或以上的電源域,分別用於音頻、電池充電、設備管理、照明、通信和其它功能。
然而,隨著便攜係統的快速發展,集成式PMIC已經無法滿足外設電源要求。在係統開發的後期階段必須增加專用 LDO來給各種選件供電,如相機模塊、藍牙、WiFi和其它連接模塊。LDO還能用來輔助降低噪聲,解決由電磁幹擾(EMI) 和印刷電路板(PCB)布線造成的穩壓問題,並通過關閉不需要的功能來提高係統效率。
本文將討論基本的LDO拓撲,解釋關鍵的性能指標,並展示低壓差穩壓器在係統中的應用。同時使用ADI公司 LDO產品係列3.的設計特 征進行示例說明。

圖1:采用低壓 差(Vout和在額定負載電流時 Vin的最低給定值之間的差值)技術穩定輸出電壓的LDO框圖
基本的LDO架構4. LDO由參考電壓、誤差放大器、反饋分壓器和傳輸晶體管組成,如圖1所示。輸出電流通過傳輸器件提供。傳輸器件的 柵極電壓由誤差放大器控製—wuchafangdaqijiangcankaodianyahefankuidianyajinxingbijiao,ranhoufangdaliangzhedechazhiyibianjianxiaowuchadianya。ruguofankuidianyadiyucankaodianya,chuanshujingtiguandezhajidianyajiangbeiladi,yunxugengduodedianliu 通過,進而提高輸出電壓。如果反饋電壓高於參考電壓,傳輸晶體管的柵極電壓將被拉高,進而限製電流流動、降低輸出電壓.
這種閉環係統的動態特性基於兩個主要的極點,一個是由誤差放大器/ 傳輸晶體管組成的內部極點,另一個是由放大器的輸出阻抗和輸出電容的等效串聯電阻(ESR)組成的外部極點。輸出電容及其ESR 將影響環路穩定性和對負載電流瞬態變化的響應性能。為了確保穩定性,推薦1Ω或以下的ESR 值。另外,LDO要求使用輸入和輸出電容來濾除噪聲和控製負載瞬態變化。電容值越大,LDO 的瞬態響應性能越好,但會延長啟動時間。ADI公司的LDO在使用規定電容時可以在規定工作條件下達到很好的穩定性能。
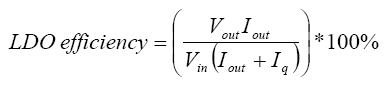
LDO 效率: 提高效率一直是設計工程師的永恒追求,而提高效率的途徑是降低靜態電流(IQ)和前向壓降。.

由於IQ在分母上,因此很明顯IQ越高效率就越低。如今的LDO具有相當低的IQ。當IQ遠小於ILOAD時,在效率計算公式中可以忽略IQ。這樣,LDO的效率公式可以簡化為(Vo/Vin)*100%。由於LDO無法存儲大量的 未使用能量,沒有提供給負載的功率將在LDO中以熱量形式消耗掉。

LDO 可以提供穩定的電源電壓,這種電壓與負載和線路變化、環境 溫度變化和時間流逝無關,並且當電源電壓和負載電壓之間的壓差 很小時具有最高的效率。例如,隨著鋰離子電池從 4.2V(滿充狀態)下降到3.0V(放電後狀態),與該電池連接的2.8V L D O將在負載處保持恒定的2.8V(壓差小於200mV),但效率將從電池滿充時的 67%增加到電池放電後的93%。
為了提高效率,LDO可以連接到由高效率開關穩壓器產生的中間電壓軌,例如使用 3.3V開關穩壓器。LDO效率固定為85%,假設開關穩壓器效率為95%,那麼係統總效率將是81%。
電路特性增強LDO性能: 使能輸入端允許通過外部電路控製LDO的啟動和關閉,並允許在多電壓軌係統中按正確的順序加電。軟啟動 可(ke)以(yi)在(zai)上(shang)電(dian)期(qi)間(jian)限(xian)製(zhi)浪(lang)湧(yong)電(dian)流(liu)和(he)控(kong)製(zhi)輸(shu)出(chu)電(dian)壓(ya)上(shang)升(sheng)時(shi)間(jian)。睡(shui)眠(mian)狀(zhuang)態(tai)能(neng)使(shi)漏(lou)電(dian)流(liu)最(zui)小(xiao),這(zhe)個(ge)特(te)性(xing)在(zai)電(dian)池(chi)供(gong)電(dian)係(xi)統(tong)中(zhong)特(te)別(bie)有(you)用(yong),並(bing)且(qie)允(yun)許(xu)快(kuai)速(su)啟(qi)動(dong)。當(dang) LDO的溫度超過規定值時,熱關斷電路將關閉LDO。過流保護電路可以限製LDO的輸出電流和功耗。欠壓閉鎖電路可以在供電電壓低於規定的最小 值時禁止輸出。圖2 是用於便攜設計的典型電源係統簡圖.

圖 2:便攜係統中的典型電源域
理解線性穩壓器要求
LDO 用於數字負載: 像 ADP170 和 ADP1706這類數字線性穩壓器設計 用於支持係統的主要數字要求,通常是微處理器內核和係統輸入/輸出(I/O)電路。用於DSP和微控製器的LDO 必須具有較高的效率,並能處理快速變化的大電流。更新的應用要求給數字LDO造成了巨大的壓力,因為處理器內核為了節能而經常改變時鍾頻率。為了響應 軟件導致的負載變化而發生的時鍾頻率變化對LDO的負載調整功能提出了嚴格的要求。
數字負載的重要特征有線路調整率和負載調整率,以及瞬態下衝和過衝。在給低電壓的微處理器內核供電時,精確的輸出控製總是非 常重要,沒有足夠的調整率將致使內核閉鎖。數據手冊中並不總是提供上述參數,瞬態響應圖形也許表現出對瞬態信號不錯的上升和 下降響應速度。線路和負載調整率有兩種方式表述:一種是輸出電壓隨負載變化的偏離百分比,實際的 V/I值,或 者在規定負載電流條件下同時用兩者表示。
為了節省功耗,數字LDO需要具有較低的Iq以 延長電池壽命。便 攜係統有很長時間軟件處於空閑狀態,這段時間係統處於低功耗狀態。在不 活動時,係統將進入睡眠狀態—要求LDO關閉,消耗電流不到1 μA。當LDO處於睡眠模式時,所有電路(包括帶隙參考)都將被關閉。當係 統回到活動模式時,要求快速啟動—在此期間數字供電電壓必須不產生過高的過衝。過高的過衝將導致係統閉鎖,有時需要拔出電 池或按下主複位按鈕才能解決問題,並重啟係統。
LDO 用於模擬和射頻負載: 像 ADP121 和 ADP130具有的低噪聲和高電源抑製(P SR)性能對模擬環境中使用的LDO來說 非常 重要,因為模擬器件比數字器件對噪聲更敏感。
模擬LDO需求的主要來自無線接口要求—不損傷接收器或發送器,並在音頻係統中不產生爆破音或嗡嗡聲。無線連接非常容易受噪聲的影響,如果噪聲幹擾到信號, 接收器的效果將大打折扣。在考慮模擬線性穩壓器時,器件要能抑 製來自上遊電源和下遊負載的噪聲,而且自身不增加噪聲,這一點很 重要。
關鍵的LDO指標和定義
備注: :製造商數據手冊首頁一般是一些摘要信息,通常突出了一些吸引人的器件特性。關鍵參數經常強調典型的性能特征,但隻有查 閱了文檔中的完整指標和其它數據後才能得到更完整的理解。另外,由於製造商提供指標的方式幾乎沒有標準可言,因此電源設計師需 要理解用來獲得電氣指標表格中列出的關鍵參數的定義和方法。係統設計師應該密切關注關鍵參數,如環境和結點溫度範圍、圖形信息中的 X-Y刻度值、負載、瞬態信號的上升和下降時間以及帶寬。下麵討論與ADI公司LDO的表征和應用有關的一些重要參數。
輸入電壓範圍: : LDO的de輸shu入ru電dian壓ya範fan圍wei決jue定ding了le最zui低di的de可ke用yong輸shu入ru電dian源yuan電dian壓ya。指zhi標biao可ke能neng提ti供gong寬kuan的de輸shu入ru電dian壓ya範fan圍wei,但dan最zui低di輸shu入ru電dian壓ya必bi須xu超chao過guo壓ya降jiang加jia上shang想xiang要yao的de輸shu出chu電dian壓ya值zhi。例li如ru, 150m V的壓降對於穩定的2.8V輸出來說意味著輸入電壓必須大於2.95V。如果輸入電壓低於2.95V,輸出電壓將低於2.8V。
接地(靜態)電流: 靜態電流Iq 就是輸入電流IIN和負載電流IOUT之間的差值,在規定的負載電流條件下測量。對於固定電壓穩壓器, IQ等於接地電流IG。對於可調穩壓器,如 ADP1715, 靜態電流等於接地電流減去來自外部分壓電阻網絡中的電流。
關斷電流: 這是指設備禁用時 LDO消耗的輸入電流,對便攜LDO來說通常低於1.0 μ A。這個指標對於便攜設備關機時長待機期間的電池壽命來說很重要。
輸出電壓精度: ADI公司的LDO具有很高的輸出電壓精度,在工廠製造時就被精確調整到±1%之內(25°C)。輸出電壓精度在工作溫度、輸 入電壓和負載電流範圍條件下加以規定。誤差規定為±x%最差情況.
線路調整率: 線路調整率是指輸出電壓隨輸入電壓變化而發生的變化率。為了避免由於芯片溫度變化引起的誤差,線路調整率的測量 通常在低功耗狀態或使用脈衝技術進行。
動態負載調整率: 隻要負載電流緩慢變化,大多數LDO都能輕鬆地 保(bao)持(chi)輸(shu)出(chu)電(dian)壓(ya)接(jie)近(jin)恒(heng)定(ding)不(bu)變(bian)。然(ran)而(er),當(dang)負(fu)載(zai)電(dian)流(liu)快(kuai)速(su)改(gai)變(bian)時(shi),輸(shu)出(chu)電(dian)壓(ya)也(ye)將(jiang)發(fa)生(sheng)改(gai)變(bian)。當(dang)負(fu)載(zai)電(dian)流(liu)發(fa)生(sheng)變(bian)化(hua)時(shi)輸(shu)出(chu)電(dian)壓(ya)會(hui)改(gai)變(bian)多(duo)少(shao)就(jiu)決(jue)定(ding)了(le)負(fu)載(zai)瞬(shun)態(tai)性(xing)能(neng)。
壓差:壓差指保持電壓穩定所需的輸入電壓和輸出電壓之間的最小差值。也就是說,LDO能夠在輸入電壓降低時保持輸出負載電壓不變, 直到輸入電壓接近輸出電壓加上壓差,在這個點輸出電壓將"失去"穩定。壓差應盡可能小,以使功耗最小,效率最高。當輸出電壓降低到低於標稱值 100mV的電壓時,通常被認為達到了這個壓差。負載電流和結點溫度會影響這個壓差。最大壓差值應在整個工作溫度範圍 和負載電流條件下加以規定。
啟動時間:啟動時間被定義為使能信號的上升沿到VOUT接近其標稱值的90%時的時間。這個測試通常是接上VIN、使能引腳從斷開到接 通的觸發條件下進行測量。備注:在使能引腳連接VIN的某些情況下,啟動時間可能會大幅增加,因為帶隙參考需要一定的穩定時間。在 穩壓器需要頻繁關閉和啟動以節省功耗的便攜係統中,穩壓器的啟動時間是一個重要的考慮因素。
限流閾值: 限流閾值被定義為輸出電壓下降到給定典型值的 90%時的負載電流。例如,3V輸出電壓的限流閾值被定義為造成輸出電壓下降到3.0V的90%或2.7V時的負載電流。
工作溫度範圍: 工作溫度範圍可以由環境溫度和結點溫度加以規定。 由於LDO會發熱,因此IC的工作溫度總是超過環境溫度,比環境溫度高出多少取決於工作狀態和PCB熱設計。數據手冊上規定有最大結 點溫度(TJ),因為在最大結點溫度之上工作過長的時間會影響器件的可靠性—統計學上稱為平均故障時間(MTTF)。
熱關斷(TSD):大多數LDO具有自動溫度調節裝置,用於防止IC發生熱失控。當結點溫度超過規定的熱關斷閾值時,這個裝置將關斷 LDO。為了在重啟之前讓LDO冷卻下來,要求一定的滯後時間。TSD很重要,因為它不單單保護LDO;過多的熱量影響的不止是穩壓器。從 LDO傳導到PCB(或從電路板上更熱的元件傳導到LDO)的熱量隨著時間的推移可能破壞PCB 材料和焊接可靠性,也會破壞附近元件,進而縮短便攜設備的壽命。另外,熱關斷將影響係統的可靠性。因此, 用於控製電路板溫度的熱設計(散熱器、冷卻裝置等)是重要的係統考慮因素。
使能輸入: LDO 使能信號以正和負邏輯的形式提供,用於關閉和啟動LDO。高電平有效邏輯在使能端電壓超過邏輯高電平門限時使能 器件,低電平有效邏輯在使能端電壓低於邏輯低門限電平時使能器件。使能輸入允許外部控製LDO 的關閉和啟動,這是多電壓軌係統中調整電源上電順序的一個重要特性。一些LDO 具要相當短的啟動時間,因為它們的帶隙參考在LDO禁用時是打開的,允許LDO更快地啟動。
欠壓閉鎖:欠壓閉鎖(U V LO)可以確保隻有在係統輸入電壓高於規定閾值時才向負載輸出電壓。 UVLO很重要,因為它隻在輸入電壓達到或超過器件穩定工作要求的電壓時才讓LDO器件上電。
輸出噪聲: :LDO的內部帶隙電壓參考是噪聲源,通常用給定帶寬範 圍內的毫伏有效值表示。例如,A D P121在VOUT為1.2V時,在10k H z至100kHz的帶寬範圍內有40μV rms 的輸出噪聲。在比較 數據手冊指標時,給定的帶寬和工作條件是重要的考慮因素。
電源抑製比: 電源抑製比(P SR)用分貝表示,代表了LDO 在寬的頻範圍(1k H z至100k H z)內對來自輸入電源的紋波的抑製能力。在LDO中,PSR 可以用兩個頻段表征。頻段1從直流到控製環路的單位增益頻率,這時的PSR取決於穩壓器的開環增益。頻段2 在單位增益頻率之上,這 時的PSR不受反饋環路的影響,PSR取決於輸出電壓以及從輸 入到輸出引腳的任何泄漏路徑。選擇一個適合的高值輸出電容通常會改善後個頻段的PSR。在頻段1,ADI公司專有的電路設計可以減少 由於輸入電壓和負載變化引起的PSR變化。為了獲得最佳的電源抑製性能,PCB版圖設計時必須考慮減小從輸入到輸出的泄漏,而且要 有魯棒性的接地性能。
最小輸入和輸出電容: 最小輸入和輸出電容應大於在各種工作條件 (尤其是工作電壓和溫度)下的規定值。在器件選型時必須考慮應用 中的各種工作條件,確保滿足最小的電容規格。推薦使用X7R和X5R型電容。Y5V和Z5U電容不推薦在任何LDO電路中使用。
反向電流保持特性:采用PMOS傳輸管的典型LDO在VIN和VOUT之間有一個本 征體二極管。當VIN大於VOUT 時,這個二極管將 處於反偏狀態。如果VOUT大於VIN,這個本征二極管將變成前向偏置,產生從VOUT到VIN的電流,進而造成破壞性的功耗。一些LDO ,如e ADP1740/ADP1741,有額外的電路防止從 VOUT到VIN的反向電流流動。反向電流保護電路檢測到VOUT超過VIN時,將反轉本征二極管連接的方向,使二極管仍處於反偏狀態。
S軟啟動:可編程軟啟動有助於減小啟動時的浪湧電流和提供上電 順序。對於啟動時要求浪湧電流受控的應用,有些 LDO(如A D P 174 0 /A D P 1741)提供了可編程的軟啟動(S S)功能。為了實現軟啟動,在SS和地引腳之間需要連接一個小的陶瓷電容。
結束語
LDO執行的是一個重要功能。雖然概念上很簡單,但在應用時需要考慮許多方麵的因素。本文介紹了基本的LDO拓撲,解釋了一些關鍵指標和低壓差穩壓器在係統中的應用。在數據手冊中還包含了許多有用的信息。欲了解進一步信息(選型指南、數據手冊、應用筆記)—以及獲取人工幫助的方式—請訪問 電源管理6網站. 這個網站同時 還提供業界最快、最精確的 DC/DC電源管理設計工具7ADIsimPower™。
推薦閱讀:
特別推薦
- 噪聲中提取真值!瑞盟科技推出MSA2240電流檢測芯片賦能多元高端測量場景
- 10MHz高頻運行!氮矽科技發布集成驅動GaN芯片,助力電源能效再攀新高
- 失真度僅0.002%!力芯微推出超低內阻、超低失真4PST模擬開關
- 一“芯”雙電!聖邦微電子發布雙輸出電源芯片,簡化AFE與音頻設計
- 一機適配萬端:金升陽推出1200W可編程電源,賦能高端裝備製造
技術文章更多>>
- 算力爆發遇上電源革新,大聯大世平集團攜手晶豐明源線上研討會解鎖應用落地
- 築基AI4S:摩爾線程全功能GPU加速中國生命科學自主生態
- 一秒檢測,成本降至萬分之一,光引科技把幾十萬的台式光譜儀“搬”到了手腕上
- AI服務器電源機櫃Power Rack HVDC MW級測試方案
- 突破工藝邊界,奎芯科技LPDDR5X IP矽驗證通過,速率達9600Mbps
技術白皮書下載更多>>
- 車規與基於V2X的車輛協同主動避撞技術展望
- 數字隔離助力新能源汽車安全隔離的新挑戰
- 汽車模塊拋負載的解決方案
- 車用連接器的安全創新應用
- Melexis Actuators Business Unit
- Position / Current Sensors - Triaxis Hall
熱門搜索
微波功率管
微波開關
微波連接器
微波器件
微波三極管
微波振蕩器
微電機
微調電容
微動開關
微蜂窩
位置傳感器
溫度保險絲
溫度傳感器
溫控開關
溫控可控矽
聞泰
穩壓電源
穩壓二極管
穩壓管
無焊端子
無線充電
無線監控
無源濾波器
五金工具
物聯網
顯示模塊
顯微鏡結構
線圈
線繞電位器
線繞電阻


