【分享】EMC理論基礎知識——電磁屏蔽
發布時間:2019-06-25 責任編輯:lina
【導讀】屏蔽是利用屏蔽體來阻擋或減小電磁能傳輸的一種技術,是抑製電磁幹擾的重要手段之一。屏蔽有兩個目的:一是限製內部輻射的電磁能量泄漏出該內部區域,二是防止外來的輻射幹擾進入某一區域。
1、屏蔽效能的概念
屏蔽是利用屏蔽體來阻擋或減小電磁能傳輸的一種技術,是抑製電磁幹擾的重要手段之一。屏蔽有兩個目的:一是限製內部輻射的電磁能量泄漏出該內部區域,二是防止外來的輻射幹擾進入某一區域。
diancichangtongguojinshugelicailiaoshi,diancichangdeqiangdujiangmingxianjiangdi,zhezhongxianxiangjiushijinshucailiaodepingbizuoyong。womenkeyiyongtongyiweizhiwupingbitishidiancichangdeqiangduyujiapingbitizhihoudiancichangdeqiangduzhibilaibiaozhengjinshucailiaodepingbizuoyong,dingyipingbixiaoneng(Shielding Effectiveness,簡稱SE):

2、屏蔽體上孔縫的影響
實際上,屏蔽體上麵不可避免地存在各種縫隙、開孔以及進出電纜等各種缺陷,這些缺陷將對屏蔽體的屏蔽效能有急劇的劣化作用。上節中分析的理想屏蔽體在30MHz以上的屏蔽效能已經足夠高,遠遠超過工程實際的需要。真正決定實際屏蔽體的屏蔽效能的因素是各種電氣不連續缺陷,包括:縫隙、開孔和電纜穿透等。
3、孔縫屏蔽的總體設計思想
根據小孔耦合理論,決定孔縫泄漏量的因素主要有兩個:孔縫麵積和孔縫最大線度尺寸。如果兩者皆大,泄漏則最為嚴重;麵積小而最大線度尺寸大則電磁泄漏仍然較大。孔縫主要分為四類:
(1)機箱(機櫃)接縫
這類縫雖然麵積不大,但其最大線度尺寸即縫長卻非常大,由於維修、kaiqidengxianzhi,zhishigaileifengchengweidianzishebeizhongpingbinanduzuidadeyileikongfeng,caiyongdaodianchendiandengteshupingbicailiaokeyiyouxiaodiyizhidiancixielou。gaileikongfengpingbishejideguanjianzaiyuhelidixuanzedaodianchendiancailiao,bingjinxingshidangdebianxingkongzhi。
(2)通風孔
這zhe類lei孔kong麵mian積ji和he最zui大da線xian度du尺chi寸cun較jiao大da,通tong風feng孔kong設she計ji的de關guan鍵jian在zai於yu通tong風feng部bu件jian的de選xuan擇ze與yu裝zhuang配pei結jie構gou的de設she計ji。在zai滿man足zu通tong風feng性xing能neng的de條tiao件jian下xia,應ying盡jin可ke能neng選xuan用yong屏ping效xiao較jiao高gao的de屏ping蔽bi通tong風feng部bu件jian。
(3)觀察孔與顯示孔
這類型孔麵積和最大線度尺寸較大,其設計的關鍵在於屏蔽透光材料的選擇與裝配結構的設計。
(4)連接器與機箱接縫
zheleifengdemianjiyuzuidaxianduchicunjunbuda,danyouyuzaigaopinshidaozhilianjieqiyujixiangdejiechuzukangjijuzengda,congershidepingbidianlandegongmochuandaofashebianda,wangwangdaozhizhenggeshebeidefushefashechuxianchaobiao,weiciyingcaiyongdaodianxiangjiaodenglianjieqidaodianchendian。
由於輻射源分為近區的電場源、磁場源和遠區的平麵波,因此屏蔽體的屏蔽性能依據輻射源的不同,在材料選擇、jiegouxingzhuangheduikongfengxieloukongzhidengfangmiandouyousuobutong。zaishejizhongyaodadaosuoxudepingbixingneng,zexushouxianquedingfusheyuan,mingquepinlvfanwei,zaigenjugegepinduandedianxingxieloujiegou,quedingkongzhiyaosu,jinerxuanzeqiadangdepingbicailiao,shejipingbiketi。
綜上所述,孔縫抑製的設計要點歸納為:
(1)合理選擇屏蔽材料;
(2)合理設計安裝互連結構。
4、孔洞泄漏的評估
機箱上不可避免地會有各種孔洞,這些孔洞最終決定了屏蔽體的屏蔽效能(假設沒有電纜穿過機箱)。一yi般ban可ke以yi認ren為wei,屏ping蔽bi機ji箱xiang在zai低di頻pin時shi的de屏ping蔽bi效xiao能neng主zhu要yao取qu決jue於yu製zhi造zao屏ping蔽bi體ti的de材cai料liao。在zai高gao頻pin時shi的de屏ping蔽bi效xiao能neng主zhu要yao取qu決jue於yu機ji箱xiang上shang的de孔kong洞dong和he縫feng隙xi。當dang電dian磁ci波bo入ru射she到dao一yi個ge孔kong洞dong時shi,孔kong洞dong的de作zuo用yong是shi相xiang當dang於yu一yi個ge偶ou極ji天tian線xian;當縫隙的長度達到1/2時,其輻射效率最高(與縫隙的寬度無關)。也就是說,它可以把入射到縫隙的全部能量輻射出去,如下圖所示。

在遠場區,如果孔洞的最大尺寸L小於λ/2,一個厚度為0的材料上的縫隙的屏蔽效能為:
如果L大於λ/2,則SE=0(dB)。
SE:屏蔽效能(dB)
L:孔洞的長度(mm)
H:孔洞的寬度(mm)
f:入射電磁波的頻率(MHz)
這個公式計算的是最壞情況下(造成最大泄漏的極化方向)的屏蔽效能,實際情況下屏蔽效能可能會更高一些。
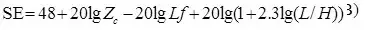
在近場區,孔洞的泄漏還與輻射源是磁場源有關。當輻射源是電場源時,孔洞的泄漏比遠場小(屏蔽效能高);而當輻射源是磁場源時,孔洞的泄漏比遠場大(屏蔽效能低)。對於不同電路阻抗Zc的輻射源,計算公式如下:
若ZC>(7.9/Df):(電場源)
若ZC<(7.9/Df):(電場源)
SE:屏蔽效能(dB)
L:孔洞的長度(mm)
H:孔洞的寬度(mm)
f:入射電磁波的頻率(MHz)
這個公式計算的是最壞情況下(造成最大泄漏的極化方向)的屏蔽效能,實際情況下屏蔽效能可能會更高一些。
需xu要yao注zhu意yi的de問wen題ti是shi,對dui於yu磁ci場chang輻fu射she源yuan,孔kong洞dong在zai近jin場chang區qu的de屏ping蔽bi效xiao能neng與yu電dian磁ci波bo的de頻pin率lv沒mei有you關guan係xi,也ye就jiu是shi說shuo,很hen小xiao的de孔kong洞dong也ye可ke能neng導dao致zhi較jiao大da的de泄xie漏lou。這zhe時shi影ying響xiang屏ping蔽bi效xiao能neng的de一yi個ge更geng重zhong要yao參can數shu是shi孔kong洞dong到dao輻fu射she源yuan的de距ju離li。孔kong洞dong距ju離li輻fu射she源yuan越yue近jin,泄xie漏lou越yue大da。這zhe個ge特te點dian往wang往wang導dao致zhi屏ping蔽bi體ti發fa生sheng意yi外wai的de泄xie漏lou。因yin為wei在zai屏ping蔽bi體ti上shang開kai孔kong的de其qi中zhong一yi個ge目mu的de是shi通tong風feng散san熱re,這zhe意yi味wei著zhe孔kong洞dong設she計ji都dou靠kao近jin發fa熱re源yuan附fu近jin,而er發fa熱re源yuan往wang往wang是shi大da電dian流liu的de載zai體ti,在zai其qi周zhou圍wei有you較jiao強qiang的de磁ci場chang。結jie果guo,無wu意yi識shi地di將jiang孔kong洞dong開kai在zai強qiang磁ci場chang輻fu射she源yuan的de附fu近jin。因yin此ci,在zai設she計ji中zhong,要yao注zhu意yi孔kong洞dong和he縫feng隙xi要yao遠yuan離li電dian流liu載zai體ti,例li如ru線xian路lu板ban、電纜和變壓器等。
以下是兩點設計孔洞的要注意的點:
當N個尺寸相同的孔洞排列在一起,並且相距較近(距離小於λ/2)時,孔洞陣列的屏蔽效能會下降,下降數值為10lgN。
因(yin)為(wei)孔(kong)洞(dong)的(de)輻(fu)射(she)有(you)方(fang)向(xiang)性(xing),因(yin)此(ci)在(zai)不(bu)同(tong)麵(mian)上(shang)的(de)孔(kong)洞(dong)不(bu)會(hui)明(ming)顯(xian)增(zeng)加(jia)泄(xie)漏(lou),利(li)用(yong)這(zhe)個(ge)特(te)點(dian)可(ke)以(yi)在(zai)設(she)計(ji)時(shi)將(jiang)孔(kong)洞(dong)放(fang)在(zai)屏(ping)蔽(bi)機(ji)箱(xiang)的(de)不(bu)同(tong)麵(mian),避(bi)免(mian)某(mou)一(yi)個(ge)麵(mian)的(de)輻(fu)射(she)過(guo)強(qiang)。
特別推薦
- 噪聲中提取真值!瑞盟科技推出MSA2240電流檢測芯片賦能多元高端測量場景
- 10MHz高頻運行!氮矽科技發布集成驅動GaN芯片,助力電源能效再攀新高
- 失真度僅0.002%!力芯微推出超低內阻、超低失真4PST模擬開關
- 一“芯”雙電!聖邦微電子發布雙輸出電源芯片,簡化AFE與音頻設計
- 一機適配萬端:金升陽推出1200W可編程電源,賦能高端裝備製造
技術文章更多>>
- 算力爆發遇上電源革新,大聯大世平集團攜手晶豐明源線上研討會解鎖應用落地
- 築基AI4S:摩爾線程全功能GPU加速中國生命科學自主生態
- 一秒檢測,成本降至萬分之一,光引科技把幾十萬的台式光譜儀“搬”到了手腕上
- AI服務器電源機櫃Power Rack HVDC MW級測試方案
- 突破工藝邊界,奎芯科技LPDDR5X IP矽驗證通過,速率達9600Mbps
技術白皮書下載更多>>
- 車規與基於V2X的車輛協同主動避撞技術展望
- 數字隔離助力新能源汽車安全隔離的新挑戰
- 汽車模塊拋負載的解決方案
- 車用連接器的安全創新應用
- Melexis Actuators Business Unit
- Position / Current Sensors - Triaxis Hall
熱門搜索
微波功率管
微波開關
微波連接器
微波器件
微波三極管
微波振蕩器
微電機
微調電容
微動開關
微蜂窩
位置傳感器
溫度保險絲
溫度傳感器
溫控開關
溫控可控矽
聞泰
穩壓電源
穩壓二極管
穩壓管
無焊端子
無線充電
無線監控
無源濾波器
五金工具
物聯網
顯示模塊
顯微鏡結構
線圈
線繞電位器
線繞電阻




