提高汽車電器電磁兼容性的三大措施
發布時間:2016-06-16 責任編輯:wenwei
【導 讀】電磁兼容性包含著2方麵要求,其一是要求產品對外界的電磁幹擾有一定的承受能力;其二是要求產品在正常運轉過程中,該產品對周圍環境產生的電磁幹擾不 nengchaoguoyidingdexiandu。qichedianqidediancijianrongxingjiushizhizaiqichejiqizhouweikongjianzhong,zaiyunxingshijiannei,zaikeyongdepinpuziyuantiaojianxia,qichebenshenyijizhouweideyongdianshebeikeyigongcun,buzhi 引起降級。
ABS防抱死製動係統,發動機燃油點火電子控製係統,GPS全球定位係統等電子設備的正常可靠工作都必須重視對電磁兼容技術的設計和研究,可以從傳統的汽 車電器(諸如起動機、刮水電動機、閃光器、空調啟動器、燃油泵等)入手進行探討,交流發電機電纜的連接和間歇切斷也是產生較大功率電磁輻射的幹擾源,隻是 其(qi)它(ta)設(she)備(bei)對(dui)其(qi)工(gong)作(zuo)可(ke)靠(kao)性(xing)的(de)影(ying)響(xiang)較(jiao)那(na)些(xie)小(xiao)功(gong)率(lv)高(gao)頻(pin)段(duan)的(de)電(dian)子(zi)設(she)備(bei)為(wei)小(xiao)。現(xian)在(zai),交(jiao)流(liu)發(fa)電(dian)機(ji)的(de)調(tiao)節(jie)器(qi)與(yu)電(dian)子(zi)點(dian)火(huo)係(xi)統(tong)一(yi)樣(yang),已(yi)經(jing)設(she)計(ji)成(cheng)集(ji)成(cheng)模(mo)塊(kuai)化(hua)結(jie)構(gou),同(tong)樣(yang)麵(mian)臨(lin)抗(kang)幹(gan) 擾的問題。
電磁幹擾的來源、傳播途徑及檢測
(一)電磁幹擾的來源
汽車電器設備受到的電磁幹擾的來源常分為3種:周圍高壓變電所輸電線、大功率無線電發射基站、行駛中相距較近的汽車、雷電、太陽黑子輻射的車外電磁幹擾; 由於行駛時車體與空氣高速摩擦,在車體上形成不均勻分布的靜電而產生的車體靜電幹擾;點火係統產生的車內電磁幹擾等高頻輻射幹擾。電動機電刷換向火花的電 磁輻射,起動機電磁開關和各種開關工作時放電幹擾等,都是汽車電器設備電磁幹擾的來源。
(二)電磁幹擾的分類及傳播
電磁幹擾(EMI)按頻段可粗略劃分為:0.02~2kHz,諧波幹擾;2~300kHz,傳導幹擾或載頻幹擾;0.3~300MHz,射頻幹擾;0.3~300GHz,微波幹擾。
從幹擾的途徑來分,0~300kHz並存著傳導幹擾和交變電磁場引起的近場感應幹擾;射頻和微波幹擾都是遠場的輻射幹擾。當設備和導線的長度比波長短時,主要的問題是傳導幹擾;當它們的尺寸比波長長時,主要的問題是輻射幹擾。
(三)3 類幹擾分述如下
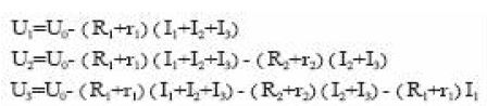
a.傳導幹擾是通過電路連接的導體傳播,共電源線,共搭鐵線。圖1為傳導幹擾的電路原理圖。
根據電子電工學知識可得各電器的工作電壓為:

式中:R——電源線電阻;
r——搭鐵線電阻;
U——支路電壓;
I——支路電流。
可見一個電器電流的變化會影響其它電器電壓變化,引起幹擾。降低電器間相互幹擾,必須減小R、r和I。
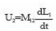
b.感應幹擾由各類電器、導線的交變電磁場引起,下麵從電場耦合幹擾和磁場耦合幹擾來敘述其原理。圖2、圖3分別表示其電路原理圖。

分析圖2,則導線2上幹擾電壓U2為:

式中:C12——兩導線間電容;
C20——導線2搭鐵電容;
R——回路電阻;
U1、I1——導線1的電壓、電流。
減小U2,應從降低C12和R或增大C20入手,即增大導線間距離或改變電器導線間介電參數。
磁感應幹擾與兩回路長度L1、L2,導線間距離b相關。由圖3可知

式中:

μ0——真空導磁率;M12——兩回路間互感。
降低U2,在於增大b和減小回路麵積來減小M12,或減低電壓變化率。
c.fusheganraoshishepindewuxiandianfashetongguodaoxiandianlanhejinshugoujianzhexiedengxiaodetianxianjinxingfasheganrao,yinerxianshudefusheganraoshizuiyanzhongdeyizhong。youmiaoshudiancibodeMaxwell方程可知,減小射頻電磁場的強度,要減小高頻電流I、輻射的有效長度L或增大距離b。
(四)電磁幹擾的檢測
汽(qi)車(che)電(dian)路(lu)係(xi)統(tong)由(you)蓄(xu)電(dian)池(chi)和(he)整(zheng)流(liu)的(de)交(jiao)流(liu)發(fa)電(dian)機(ji)作(zuo)為(wei)核(he)心(xin)電(dian)源(yuan),車(che)體(ti)作(zuo)為(wei)共(gong)用(yong)搭(da)鐵(tie),各(ge)個(ge)電(dian)器(qi)裝(zhuang)置(zhi)並(bing)聯(lian)其(qi)上(shang)。相(xiang)連(lian)的(de)線(xian)束(shu)造(zao)成(cheng)電(dian)器(qi)間(jian)彼(bi)此(ci)傳(chuan)導(dao)幹(gan)擾(rao);相鄰的導線間會有感應幹擾;因為天線效應,不相鄰導體間又存在著輻射幹擾。因而電磁幹擾綜合著3種途徑,覆蓋較寬的幹擾頻率。
應用頻譜分析儀進行電磁兼容性分析研究,檢測電磁幹擾直觀且可以定量。它是一種30~1000MHz窄帶掃頻接收機,能在某一時刻接收某個頻率範圍內的能 量liang,記ji錄lu下xia不bu同tong頻pin段duan內nei幹gan擾rao的de幅fu值zhi。缺que點dian是shi對dui於yu時shi間jian很hen短duan頻pin譜pu範fan圍wei很hen寬kuan,如ru靜jing電dian放fang電dian這zhe一yi類lei瞬shun態tai的de脈mai衝chong幹gan擾rao,不bu能neng寬kuan頻pin段duan全quan貌mao反fan映ying實shi際ji幹gan擾rao情qing況kuang。常chang常chang隻zhi能neng數shu台tai同tong時shi 啟用進行觀測分析。
汽車電器電磁兼容性
麵對的3項技術問題和提高電磁兼容性的措施電子電器產品係統降噪技術在20世紀70年代已受到各國關注,至20世紀90年代美國聯邦通訊委員會(FCC) 和歐盟CExianhoutichuduigaileichanpindeyouguanguizhang。zhexieguizhangyaoqiugegongsiquebaoqichanpinfuheyangedediancihuanjingyingxianghefashezhunze。fuhezhexieguizhangdechanpinchengweijuyoudiancijianrongxing (EMC)。
(一)電磁兼容性要麵對的問題
汽車電器電磁兼容性需要麵對的3個技術問題是:
①探討電器產生的電磁輻射(EME)並控製為最小;
②電源電壓的瞬變,車燈、起動機等重負載和感性負載引起的瞬態幹擾是如何惡化汽車的電磁環境的;
③如何把電磁敏感性(EMS)降低到最小。電磁敏感性(Electro-Magnetic Susceptibility)是指存在電磁騷擾的情況下,裝置設備或係統對自身性能降低的無作為能力。當敏感性低時,抗擾性則強,足以防護電器電子產品 免受其它係統有害輻射的影響。曾有EMC=EMI+EMS這樣一個模擬的公式,表示電磁兼容性是研究降低電磁幹擾和降低電磁敏感性,即增強抗幹擾能力的。
(二)提高電磁兼容性能的措施
降低電器的電磁幹擾強度:①要降低發電機紋波電流。交流發電機是大的功率源,減小高次諧波分量可以大幅度降低傳導和輻射幹擾,對電器而言輸入電流諧波屬於 EMI;②應在閃光器觸點前加電弧抑製器;③感性負載(如刮水電動機、燃油泵、起動機)有電刷換向器,需要濾波電容器旁路換向火花所產生的高頻輻射。電容 要達到良好的濾波效果,它與噪聲源的公共搭鐵之間的連線要盡量短。
自由空間中的導線電感每毫米約為0.04nH。如果電刷產生的噪聲頻率為50~100MHz,當電容連接的導線長度為100~150mm時,導線不計線間 電容,則感抗XL=2πfL=3.77Ω;而0.1μF電容的容抗XC=1/(2πfC)=0.159Ω。若導線長度縮短為25mm,感抗僅為 0.628Ω,濾波電容效果提高80%。濾波器件應直接由噪聲源搭鐵,使回路阻抗最小,有最佳濾波效果。必須注意,有交流分量的輸入端安裝電容一定要慎 重,解決EMC問題的同時,不能引起過大的漏電流,超出安全規範的規定。
在電刷上連接一個10~25μH的(de)電(dian)感(gan),吸(xi)收(shou)電(dian)刷(shua)通(tong)過(guo)換(huan)向(xiang)器(qi)間(jian)隙(xi)時(shi)流(liu)經(jing)電(dian)刷(shua)電(dian)流(liu)突(tu)變(bian)的(de)能(neng)量(liang),串(chuan)聯(lian)在(zai)電(dian)路(lu)中(zhong)的(de)扼(e)流(liu)圈(quan)和(he)對(dui)搭(da)鐵(tie)的(de)旁(pang)路(lu)電(dian)容(rong)組(zu)合(he)成(cheng)低(di)通(tong)濾(lv)波(bo)器(qi),也(ye)能(neng)抑(yi)製(zhi)傳(chuan)導(dao)幹(gan)擾(rao)。LC濾波器比單個電容有更寬的濾波帶寬,而幹擾波形尖峰產生的輻射幹擾的抑製通過屏蔽來實現。
同(tong)一(yi)設(she)計(ji)的(de)汽(qi)車(che)電(dian)機(ji)電(dian)器(qi)產(chan)生(sheng)的(de)幹(gan)擾(rao),由(you)於(yu)工(gong)藝(yi)等(deng)的(de)差(cha)異(yi)在(zai)幅(fu)度(du)和(he)頻(pin)率(lv)上(shang)有(you)很(hen)大(da)的(de)隨(sui)機(ji)性(xing)。有(you)一(yi)個(ge)良(liang)好(hao)的(de)搭(da)鐵(tie)線(xian),甚(shen)至(zhi)將(jiang)產(chan)生(sheng)幹(gan)擾(rao)的(de)電(dian)器(qi)裝(zhuang)置(zhi)限(xian)製(zhi)在(zai)一(yi)塊(kuai)公(gong)共(gong)搭(da)鐵(tie)板(ban) 上,就近接到車體或線束的屏蔽層搭鐵,才能保證濾波、屏蔽最有效。低頻電路的搭鐵,應盡量采用單點並聯搭鐵;高頻電路宜多點串聯搭鐵,搭鐵線短而粗,更有 效抑製長搭鐵走線產生的共模幹擾。輸入輸出元件盡量隔遠些,高頻元件間要防止分布參數造成相互幹擾。
合(he)理(li)布(bu)線(xian),合(he)理(li)規(gui)劃(hua)線(xian)束(shu),使(shi)大(da)功(gong)率(lv)幹(gan)擾(rao)電(dian)路(lu)應(ying)盡(jin)可(ke)能(neng)緊(jin)靠(kao)負(fu)載(zai),小(xiao)功(gong)率(lv)敏(min)感(gan)電(dian)路(lu)緊(jin)靠(kao)信(xin)號(hao)源(yuan),盡(jin)量(liang)分(fen)開(kai)大(da)功(gong)率(lv)電(dian)路(lu)和(he)小(xiao)功(gong)率(lv)電(dian)路(lu),減(jian)小(xiao)線(xian)束(shu)間(jian)感(gan)應(ying)幹(gan)擾(rao)和(he)輻(fu)射(she)幹(gan) rao。jingguolvbodedianyuanxianyaojinliangyuanligezhongxinhaoxian,yifanggaopinxinhaoouhedaodianyuanxian,zaochengchuandaofashechaobiao。duijiaochangdexianshuyingzaixianshushangzengjialvboqi,changyongdefangfashitaoshangtieyangtici 環,降低傳導和輻射幹擾。用於抑製電磁幹擾的磁環不同於一般用做電感的鐵氧體,它的品質因素Q值甚低,損耗較大。
濾波、屏蔽、優化布線和搭鐵是4項EMC最常規采用的有效措施。但汽車鋼製車體總是作為直流電源回到負極的電路,既作為搭鐵線,又是射頻阻抗較小的信號回 流(liu)線(xian)。所(suo)以(yi)汽(qi)車(che)電(dian)器(qi)還(hai)采(cai)用(yong)阻(zu)尼(ni)的(de)方(fang)法(fa)來(lai)抑(yi)製(zhi)輻(fu)射(she)。發(fa)動(dong)機(ji)火(huo)花(hua)塞(sai)的(de)中(zhong)心(xin)電(dian)極(ji)對(dui)殼(ke)體(ti)通(tong)過(guo)絕(jue)緣(yuan)介(jie)質(zhi)構(gou)成(cheng)電(dian)容(rong),中(zhong)心(xin)電(dian)極(ji)本(ben)身(shen)又(you)具(ju)有(you)電(dian)感(gan),這(zhe)樣(yang)就(jiu)形(xing)成(cheng)一(yi)個(ge)LC振蕩回 路,火花塞的導線起著天線作用,以電磁波形式向空間發射,電刷與換向器、滑環間的火花,喇叭、燈開關,機械式調節器、傳感器的觸點開關,由於各自回路LC 的差異,射頻幹擾頻率範圍在0.15~1000MHz之間。點火裝置就是采用在高壓電路串入阻尼電阻有效削弱電火花產生的高頻振蕩,但過大的阻值會影響火 花塞電極的能量,故一般不超過20kΩ。常采用直徑1mm的NiCrAl絲繞成,LCR並存,有良好的阻尼振蕩輻射作用。
幹擾電波具有下述特性:當從發生源臨近的地方移開時先以距離3次方的速率衰減,稍遠些時,以距離二次方的速率衰減,最後隨距離線性衰減。
FCC第15部分規定30~88MHz的極限值為100μV/m。
在80MHz處,相距幹擾源50cm的位置,測得輻射強度80μV/m,應為合格,當距離減小為30cm時,其輻射強度變為800μV/m,是極限值 100μV/m的8倍,高出18.1dB。“保護距離”的概念,是指在某種條件下使用電器設備,仍可能會產生幹擾。當今汽車設計中都有一個高度集成的微控 製器MCU,它用來完成大量的計算並實現有關車輛運行的控製,包括發動機管理和製動控製。除MCU模塊自身滿足EMC規範外,必須使這類關鍵元器件在保護 距離以內,達到優良的電磁兼容性能,免受其它電器電子設備幹擾。
改善電磁兼容性的試驗研究
電磁兼容性的仿真計算僅能對電器的電磁性能進行初步粗略的估算,最終改善汽車電器的電磁兼容性須待試驗進行驗證。下麵對2種汽車電器產品采用綜合改進措施前後的幹擾波形圖進行對比。

刮水電動機是直流永磁蝸輪減速電動機,額定功率為60~100W,既是感性負載,又有電刷換向火花的存在,是一個大的幹擾源。改善刮水電動機的EMI性能需要改進傳統的換向結構,並在刷握近處加濾波處理。圖4是改進前後的幹擾波形圖。
用無刷直流電動機做刮水電動機,采用霍爾元件做位置傳感器,脈寬調製(PWM)變頻調速,在掃頻儀上可以看到3~18次的高次諧波幹擾。
zuoweixinhaozhuangzhideshanguangqishidianxingchudianjidianqishideqijian,chudianchuyupinfanhuohuatongduangongzuo。xiangliandexianshushangchanshengdechuandaoganrao,youyinqijiaodadefusheganrao。gaishanEMC的措施是在線 束上加套的鐵氧體磁環,和閃光器出線處連接的0.1μF電容構成低通濾波器,抑製了傳導幹擾,射頻幹擾也得到大幅度衰減(尤其是50~100MHz段)。 圖5為12V/20A的閃光器改進前後幹擾波形。
同一設計的汽車電機電器產生的EMI,由於元器件、布線工藝等的差異,幹擾幅度和頻率上會有較大的隨機性。在定性的理論指導下,采取1~2項或綜合的改進措施,統一工藝規範,反複實驗總結,都能達到滿意的結果。
結語
woguoduiqichedianqidianzishebeidiancijianrongxingxitongyanjiuqibujiaowan,muqianyiriyishoudaozhongshi,zheduitigaoqichechanpinchukoujingzhenglizhiguanzhongyao。diancijianrongxingchukoudeCE或FCC認證費用十 分昂貴,提高認識,及時調整好各項參數,可以縮短認證周期,降低成本,使我國出口產品具有優秀的EMC品質,品質穩步提高。
【推薦閱讀】
電子式互感器麵臨電磁兼容性考驗
工程師該如何估計無線傳感器電池供電時間?
如何用單個施密特觸發器測量兩個電阻式傳感器或多個開關?
陶顯芳老師教你如何避免開關電源變壓器的漏感
開關電源變壓器屏蔽層抑製共模EMI的研究
特別推薦
- 噪聲中提取真值!瑞盟科技推出MSA2240電流檢測芯片賦能多元高端測量場景
- 10MHz高頻運行!氮矽科技發布集成驅動GaN芯片,助力電源能效再攀新高
- 失真度僅0.002%!力芯微推出超低內阻、超低失真4PST模擬開關
- 一“芯”雙電!聖邦微電子發布雙輸出電源芯片,簡化AFE與音頻設計
- 一機適配萬端:金升陽推出1200W可編程電源,賦能高端裝備製造
技術文章更多>>
- 一秒檢測,成本降至萬分之一,光引科技把幾十萬的台式光譜儀“搬”到了手腕上
- AI服務器電源機櫃Power Rack HVDC MW級測試方案
- 突破工藝邊界,奎芯科技LPDDR5X IP矽驗證通過,速率達9600Mbps
- 通過直接、準確、自動測量超低範圍的氯殘留來推動反滲透膜保護
- 從技術研發到規模量產:恩智浦第三代成像雷達平台,賦能下一代自動駕駛!
技術白皮書下載更多>>
- 車規與基於V2X的車輛協同主動避撞技術展望
- 數字隔離助力新能源汽車安全隔離的新挑戰
- 汽車模塊拋負載的解決方案
- 車用連接器的安全創新應用
- Melexis Actuators Business Unit
- Position / Current Sensors - Triaxis Hall
熱門搜索
按鈕開關
白色家電
保護器件
保險絲管
北鬥定位
北高智
貝能科技
背板連接器
背光器件
編碼器型號
便攜產品
便攜醫療
變容二極管
變壓器
檳城電子
並網
撥動開關
玻璃釉電容
剝線機
薄膜電容
薄膜電阻
薄膜開關
捕魚器
步進電機
測力傳感器
測試測量
測試設備
拆解
場效應管
超霸科技




