頻率抖動技術如何抑製開關電源的電磁幹擾?
發布時間:2015-01-30 責任編輯:xueqi
【導讀】本(ben)文(wen)介(jie)紹(shao)的(de)頻(pin)率(lv)抖(dou)動(dong)技(ji)術(shu)是(shi)通(tong)過(guo)將(jiang)固(gu)定(ding)的(de)開(kai)關(guan)工(gong)作(zuo)頻(pin)率(lv)設(she)為(wei)在(zai)一(yi)定(ding)範(fan)圍(wei)內(nei)抖(dou)動(dong)的(de)頻(pin)率(lv),使(shi)得(de)本(ben)該(gai)集(ji)中(zhong)在(zai)固(gu)定(ding)頻(pin)率(lv)處(chu)的(de)輻(fu)射(she)頻(pin)譜(pu)分(fen)散(san)到(dao)所(suo)設(she)定(ding)的(de)頻(pin)帶(dai)範(fan)圍(wei),以(yi)降(jiang)低(di)輻(fu)射(she)電(dian)平(ping)滿(man)足(zu)電(dian)磁(ci)兼(jian)容(rong)性(xing)的(de)要(yao)求(qiu)。此(ci)技(ji)術(shu)可(ke)以(yi)對(dui)開(kai)關(guan)電(dian)源(yuan)中(zhong)的(de)電(dian)磁(ci)幹(gan)擾(rao)進(jin)行(xing)有(you)效(xiao)的(de)抑(yi)製(zhi)。
引言
開關電源以其小型、輕量和高效率的特點被廣泛應用於幾乎所有的電子設備,是當今電子信息產業飛速發展中不可缺少的一種電源方式[1-3]。但(dan)是(shi)隨(sui)著(zhe)開(kai)關(guan)電(dian)源(yuan)工(gong)作(zuo)頻(pin)率(lv)的(de)不(bu)斷(duan)提(ti)高(gao),高(gao)頻(pin)工(gong)作(zuo)頻(pin)率(lv)中(zhong)所(suo)含(han)有(you)的(de)高(gao)頻(pin)諧(xie)波(bo)成(cheng)分(fen)將(jiang)會(hui)通(tong)過(guo)電(dian)源(yuan)傳(chuan)輸(shu)線(xian)或(huo)是(shi)空(kong)間(jian)電(dian)磁(ci)場(chang)的(de)方(fang)式(shi)向(xiang)外(wai)部(bu)傳(chuan)播(bo),造(zao)成(cheng)傳(chuan)導(dao)幹(gan)擾(rao)和(he)輻(fu)射(she)幹(gan)擾(rao)[4, 5]。近年來伴隨通訊及控製技術的發展,各種高頻數字電路對開關電源電磁兼容性(EMC)的要求更加嚴格,如何減小電磁幹擾(EMI)已經成為開關電源設計中的一大難點。
目前提出的一些降低開關電源電磁幹擾技術,例如:PWM 隨(sui)機(ji)開(kai)關(guan)調(tiao)製(zhi)技(ji)術(shu)和(he)混(hun)沌(dun)調(tiao)製(zhi)技(ji)術(shu),電(dian)路(lu)結(jie)構(gou)都(dou)相(xiang)對(dui)複(fu)雜(za)且(qie)實(shi)現(xian)成(cheng)本(ben)大(da)。本(ben)文(wen)中(zhong)所(suo)采(cai)用(yong)的(de)頻(pin)率(lv)抖(dou)動(dong)技(ji)術(shu)相(xiang)對(dui)以(yi)上(shang)兩(liang)種(zhong)技(ji)術(shu)實(shi)現(xian)相(xiang)對(dui)簡(jian)單(dan),其(qi)原(yuan)理(li)是(shi):tongguojianggudingdekaiguangongzuopinlvsheweizaiyidingfanweineidoudongdepinlv,shidebengaijizhongzaigudingpinlvchudefushepinpufensandaosuoshedingdepindaifanwei,yijiangdifushedianpingmanzudiancijianrongxingdeyaoqiu。
1 周期性頻率抖動振蕩器
1.1 振蕩器的係統結構框圖
本文所設計的周期性頻率抖動振蕩器[6,7]的係統框圖如
圖1:振蕩器係統框圖
由圖1可以看出,頻率抖動振蕩器由一個張弛振蕩器加上一個頻率抖動模塊構成。其工作原理:首先,開關 S1閉合,電流源 I0給電容 Cc充電,充電剛開始時電容 Cc上極板的電壓小於 BG1和 BG2,RS 觸發器的輸出被置為低電平 0,當電容上極板電壓 VA大於 BG2時,RS 觸發器的輸出狀態處於保持狀態,直到上極板電壓 VA大於 BG1之後 RS 觸發器的輸出翻轉被置為高電平1;此時,開關 S2導通,電流源 I1給電容Cc放電,當VA減小到小於 BG1時,RS 觸發器的輸出處於保持狀態,當VA減小到小於 BG2時,RS 觸發器翻轉被置為低電平 0 ;於是,開關 S1又閉合開始對 Cc充電,如此周而複始,得到一個頻率固定的振蕩器。圖1中的電流源I0、 I1的電流相等,則振蕩器的占空比為 0.5。頻率抖動控製模塊是通過計數器來周期性的切換加入到張弛振蕩器中充放電電容的大小,改變電壓 VA的充放電速度,從而來達到周期性的改變振蕩器頻率的目的,即實現了振蕩器頻率的抖動。
1.2 張弛振蕩器設計
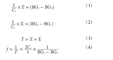
張弛振蕩器[8-10]的電路圖如圖 2 所示。M0、M1管鏡像電流為圖1中的電流源 I0,M4、M5鏡像電流為圖1中的電流源I1,且 I0=I1=I。M6~ M12和 C0、C1、C2、C4構成頻率抖動模塊,通過計數器來不斷切換 MOS 開關的通斷來改變充、放電電容的大小,實現頻率抖動功能。 M13為振蕩器提供起振條件,在電源上電後 M13管導通,經過 5 μs 後 M13管關斷。使電容上電後上極板電壓 VA瞬間放電將為低電平 0,RS 觸發器置為0 電平,OSC 為 O 電平,M2管導通 M3管截止,電流從 M0、M1管流向電容 Cc充電,當電壓 VA衝到大於 BG1時,OSC 為高電平1;此時 M2 管截止 M3 管導通,於是對電容 Cc放電,直到VA放電到低於 BG2,OSC 翻轉,如此往複上述過程,即得到了一個頻率固定的張弛振蕩器。此振蕩器的頻率可以通過如下公式推導得到。

從(4)式可以看出,可以通過改變電容 Cc、充放電電流I 和電壓差值 BG2- BG1能夠實現任意頻率的振蕩器。本文中所設計的周期性頻率抖動振蕩器的中心頻率為100 kHz,抖動範圍為±4 kHz。
1.3 頻率抖動控製模塊
本文中所設計的頻率抖動控製模塊是通過計數器來控製圖 2 中 M6~ M12開關管的通斷來周期性的改變充放電電容的大小來實現的。頻率抖動控製模塊的電路圖如圖 3 所示,由7 個 D 觸發器串聯構成 512 分頻觸發器,第 8 個 D 觸發器的輸出信號加入到異或門用於實現計數器 K4,K2,K1,K0加(jia)減(jian)法(fa)計(ji)數(shu)切(qie)換(huan),保(bao)證(zheng)加(jia)入(ru)到(dao)張(zhang)弛(chi)振(zhen)蕩(dang)器(qi)中(zhong)的(de)電(dian)容(rong)不(bu)會(hui)出(chu)現(xian)瞬(shun)時(shi)的(de)大(da)容(rong)值(zhi)的(de)變(bian)換(huan),從(cong)而(er)引(yin)起(qi)振(zhen)蕩(dang)器(qi)的(de)振(zhen)蕩(dang)頻(pin)率(lv)有(you)過(guo)大(da)的(de)變(bian)化(hua)。本(ben)文(wen)中(zhong)所(suo)設(she)計(ji)振(zhen)蕩(dang)器(qi)的(de)中(zhong)心(xin)頻(pin)率(lv)為(wei)100 kHz,頻率抖動範圍為±4 kHz,頻率從 96 kHz,100 kHz,104 kHz 周期性地變化,頻率抖動周期為 5 ms。
2 仿真結果
本文基於 BCD 0.5 μm 25 V 工藝,使用 Cadence Spectre對振蕩器進行仿真。張弛振蕩器未加頻率抖動模塊的仿真結果如圖 4 所示,圖中張弛振蕩器的振蕩頻率為100 kHz,占空比為 0.5。
頻率抖動模塊的輸出仿真波形如圖 5 所示,計數器 K0,K1,K2,K4實現了加減法交替功能,從而周期性頻率抖動振蕩器的振蕩頻率為平穩的完成周期性的變化。
圖2:張弛振蕩器
圖 6、圖 7 分別為對不加頻率抖動和加了頻率抖動進行傅裏葉分析的頻譜圖,對比圖 6 和圖 7 可以看出加了頻率抖動電路之後在固定頻率處的頻譜幅值下降了大約11 dB,由此可見頻率抖動電路對減小 EMI 的效果非常明顯。

圖3:頻率抖動模塊

圖4:張弛振蕩器仿真曲線

圖5:頻率抖動模塊

圖6:未加頻率抖動的頻譜

圖7:加入頻率抖動的頻譜
3 結語
本文采用 BCD0.4μm 25 V gongyishejileyikuanzhouqixingdepinlvdoudongzhendangqi,caiyongzhangchizhendangqishixiangudingpinlvzhendangqi,tongguojiajianfajishuqikongzhijiaruzhangchizhendangqizhongdianrongdedaxiaolaigaibianzhendangqidepinlv,congershiyuanbenjizhongzaigudingpinlvchudepinpufensandaoqitapinlvdianshang。benwensuoshejidezhouqixingpinlvdoudongzhendangqidezhongxinpinlvwei100 kHz,頻率抖動範圍為±4 kHz,加頻率抖動模塊之後100kHz 處的頻譜下降了大約11 dB,減小電磁幹擾的效果非常明顯。該頻率抖動振蕩器結構簡單,且減小EMI 效果好,在開關電源芯片設計中具有非常實用的價值。
特別推薦
- 噪聲中提取真值!瑞盟科技推出MSA2240電流檢測芯片賦能多元高端測量場景
- 10MHz高頻運行!氮矽科技發布集成驅動GaN芯片,助力電源能效再攀新高
- 失真度僅0.002%!力芯微推出超低內阻、超低失真4PST模擬開關
- 一“芯”雙電!聖邦微電子發布雙輸出電源芯片,簡化AFE與音頻設計
- 一機適配萬端:金升陽推出1200W可編程電源,賦能高端裝備製造
技術文章更多>>
- 三星上演罕見對峙:工會集會討薪,股東隔街抗議
- 摩爾線程實現DeepSeek-V4“Day-0”支持,國產GPU適配再提速
- 築牢安全防線:智能駕駛邁向規模化應用的關鍵挑戰與破局之道
- GPT-Image 2:99%文字準確率,AI生圖告別“鬼畫符”
- 機器人馬拉鬆的勝負手:藏在主板角落裏的“時鍾戰爭”
技術白皮書下載更多>>
- 車規與基於V2X的車輛協同主動避撞技術展望
- 數字隔離助力新能源汽車安全隔離的新挑戰
- 汽車模塊拋負載的解決方案
- 車用連接器的安全創新應用
- Melexis Actuators Business Unit
- Position / Current Sensors - Triaxis Hall
熱門搜索
Tektronix
Thunderbolt
TI
TOREX
TTI
TVS
UPS電源
USB3.0
USB 3.0主控芯片
USB傳輸速度
usb存儲器
USB連接器
VGA連接器
Vishay
WCDMA功放
WCDMA基帶
Wi-Fi
Wi-Fi芯片
window8
WPG
XILINX
Zigbee
ZigBee Pro
安規電容
按鈕開關
白色家電
保護器件
保險絲管
北鬥定位
北高智

