電纜的電磁幹擾分析
發布時間:2011-07-27
中心議題:
- 電纜的幹擾電流
- 減小電纜電磁幹擾的方法
- 減小電纜幹擾電流方法測試結果分析
解決方案:
- 改變電路結構和采用濾波減小差模幹擾
- 減少電容電感耦合和空間輻射減小共模幹擾
在電子設備和係統中,各種電纜是信號傳輸必不可少的聯係紐帶,同時電纜又是導致各種電磁兼容(EMC)問題的主要因素。電纜造成電磁幹擾(EMI)的原因主要是因為電纜上存在著幹擾電流。介紹了2 種(zhong)幹(gan)擾(rao)電(dian)流(liu),結(jie)合(he)電(dian)磁(ci)兼(jian)容(rong)測(ce)試(shi)中(zhong)經(jing)常(chang)出(chu)現(xian)的(de)問(wen)題(ti),對(dui)每(mei)種(zhong)電(dian)流(liu)產(chan)生(sheng)的(de)原(yuan)因(yin)進(jin)行(xing)了(le)分(fen)析(xi),提(ti)出(chu)了(le)減(jian)小(xiao)這(zhe)些(xie)幹(gan)擾(rao)電(dian)流(liu)的(de)具(ju)體(ti)方(fang)法(fa)。通(tong)過(guo)試(shi)驗(yan)驗(yan)證(zheng)了(le)方(fang)法(fa)的(de)可(ke)操(cao)作(zuo)性(xing),對(dui)產(chan)品(pin)設(she)計(ji)提(ti)供(gong)參(can)考(kao)。
1 幹擾電流
設備的電源線、信號線等通信線、與其他設備或外圍設備相互交換的通信線路,至少有2 根導線,這2 根導線作為往返線路輸送電流或信號。但在這2 根導線之外通常還有第3 根導線, 即地線。線纜中存在的幹擾電流分為2 種: 一種是2 根導線分別作為往返線路傳輸,稱為“差模”;另一種是2 根導線作去路,地線作返回路傳輸,這種稱為共模。
dianlanshangdechamoganraodianliuhegongmoganraodianliukeyitongguodianlanzhijiechuandaojinrudianzishebeidedianlumokuaihuoqitashebei,yekeyizaikongjianchanshengdiancichangxingchengfusheganrao。
通常線路上的差模分量和共模分量是同時存在的,而且由於線路的阻抗不平衡,2 種(zhong)分(fen)量(liang)在(zai)傳(chuan)輸(shu)中(zhong)會(hui)互(hu)相(xiang)轉(zhuan)變(bian)。幹(gan)擾(rao)在(zai)線(xian)路(lu)上(shang)經(jing)過(guo)長(chang)距(ju)離(li)的(de)傳(chuan)輸(shu)後(hou),差(cha)模(mo)分(fen)量(liang)的(de)衰(shuai)減(jian)要(yao)比(bi)共(gong)模(mo)分(fen)量(liang)大(da),因(yin)為(wei)線(xian)間(jian)阻(zu)抗(kang)與(yu)線(xian)地(di)阻(zu)抗(kang)不(bu)同(tong)的(de)緣(yuan)故(gu)。
共模幹擾的頻率一般分布在1 MHz 以yi上shang,在zai傳chuan輸shu的de同tong時shi,會hui向xiang臨lin近jin空kong間jian輻fu射she,耦ou合he到dao信xin號hao電dian路lu中zhong形xing成cheng幹gan擾rao,很hen難nan防fang範fan。差cha模mo幹gan擾rao的de頻pin率lv相xiang對dui較jiao低di,不bu易yi形xing成cheng空kong間jian輻fu射she,可ke以yi采cai取qu處chu理li措cuo施shi降jiang低di其qi幹gan擾rao。
2 減小幹擾的方法
2.1 減小差模幹擾
電(dian)纜(lan)上(shang)產(chan)生(sheng)差(cha)模(mo)幹(gan)擾(rao)電(dian)流(liu)的(de)主(zhu)要(yao)原(yuan)因(yin)是(shi)電(dian)路(lu)或(huo)器(qi)件(jian)工(gong)作(zuo)過(guo)程(cheng)中(zhong)產(chan)生(sheng)的(de)噪(zao)聲(sheng)電(dian)流(liu)直(zhi)接(jie)傳(chuan)導(dao)到(dao)電(dian)纜(lan)中(zhong),然(ran)後(hou)再(zai)傳(chuan)導(dao)至(zhi)其(qi)他(ta)電(dian)路(lu)或(huo)設(she)備(bei)使(shi)之(zhi)受(shou)到(dao)影(ying)響(xiang)。
這些都是不希望存在的雜波電流,消除這些電流的方法有2 種:改變電路結構或選用高電磁兼容性器件從根源上抑製噪聲的產生;采用濾波的方法阻止幹擾電流進入其他設備或電路造成幹擾。
dianlujiegoudeshejixuyaojibenjingyanzhishideleiji,diancijianrongxinghaodedianziqijianjiagejingchangbitongleichanpingaochuhenduo,erqieshijixiaoguoyujutishiyongqingkuangyouguan,yincishejishitongchangcaiyonglvbodefangfajianxiaochamoganrao。lianghaodelvbonengzhijieyizhisaoraonengliangzaidaoxianshangdeliutong,suoyiduitongguozailiudaoxiandefushesaoraoyizhiyenengqidaomingxiandeyizhizuoyong。
濾波器件有很多種,在電源部分使用的濾波器有電源濾波器、磁環和磁珠等;在信號線上使用的濾波器有信號濾波器、磁環和磁珠、穿心電容、濾波連接器等;在印刷電路板上使用的濾波器有去耦電容、片狀(表麵安裝式)濾波器和磁珠等。
2.2 減小共模幹擾
電纜上的共模幹擾電流可以通過分布電容和互感耦合到其他電纜上, 再經由電纜影響與之相連接的器件和設備; 也可以通過空間電場輻射直接幹擾其他設備。
經常采用這些方法來降低電纜對外界的共模幹擾: 減小線間的電容耦合和電感耦合;實際情況允許的情況下截短電纜長度、使用屏蔽電纜及接地。
2. 2. 1 電容耦合和互感耦合
當一根導線上存在電壓或有電流流過時, 就會有電磁能量輻射出來, 到達附近的導線上, 這就是導線之間的串擾。串擾屬於近場的感應耦合, 原因是導線之間存在雜散電容和互感, 即電容耦合和互感耦合, 如圖1 所示。

圖1 電容耦合和互感耦合
[page]
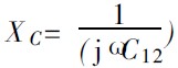
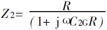
圖1(a)是電容耦合原理圖,2 個導體之間存在分布電容C12,2 根導線之間就存在電壓,也就是說電壓是串聯於受擾導線的。導體對地有單位長度分布電容C1G、C2G, 導體之間單位長度分布電容為C12, 導體之間的分布電容也稱耦合電容。不考慮C1G的情況下,幹擾電源U1 在導體2 電路產生的幹擾電壓U2 為:

式中:

Z2 為C2G 的容抗與R 的並聯,即:

從式( 1) 可以看出, 減小幹擾電壓U2 可以通過減小Z2 和增加XC 的值來實現。具體方法如下:
①減小受擾導線對地的電阻R;
②減小分布電容C12。2 個導線平行時電容最大,而方向改為垂直時,電容最小。在一定範圍內增加導線之間的距離和減小導線的長度都可以減小導線間的電容;
③使受擾導線接近地線,或在接收導線的鄰近設置地線,從而增大C 2G的電容。
另外,將受擾導線屏蔽也可以減小導線間的電容耦合。
電感耦合原理如圖1(b)所示,當幹擾回路1 中有交變電流流過時,會產生交變磁能,交變磁通穿過回路2 並在回路2 中產生感應電動勢,可表示為:

式中,M 為2個電路間的互感,M=Φ / I1(H),Φ為電流I 1 流過電路2 時在回路2 中產生的磁通,I1 為幹擾回路的電流;ω為交變電流的角頻率。
從式(2)可以看出,感應電動勢主要與互感耦合相關,減小Φ 的值可以使互感耦合變弱,具體做法如下:
①減小受擾電路的回路麵積。受擾電路的信號線與回線盡量靠近, 如使用雙絞線或同軸電纜;
② 磁場隨距離的增加衰減非常快, 可以增加施擾導線與受擾導線的之間的距離。也可以調整2 個回路之間的相對角度。
避免信號返回線路共享共同的路徑,也可以減少電感串擾。
2. 2. 2 空間輻射
xianlanzhisuoyihuifushediancibo,shiyinweidianlanduankouchuyougongmodianyacunzai,dianlanzaigongmodianyadequdongxia,chanshenggongmodianliu,cunzaigongmodianliudedianlanrutongyigendanjitianxian,chanshengdianchangfushe。
共模電場輻射可用對地電壓激勵的、長度小於1/ 4波長的短單極天線來模擬。對於接地平麵上長度為L 的短單極天線來說,在遠場r 處的電場強度為:

式中,L 為天線長度(m)。
從式(3)中可以看出,共模電場輻射與頻率f 、共模電流I 及天線長度L 成正比,分別限製f、I 、L可以使共模電場輻射得到控製,而其中限製共模電流I 是減小共模輻射的基本方法。具體可采取的有效措施如下:
①盡量減小激勵此天線的源電壓,即地電位,電纜靠近接地平板走線;
②在設備內部,電纜長度盡可能短,避免環繞電路走線;
③提供與電纜串聯的高共模阻抗,使用共模扼流圈,如計算機的外連線上經常使用鐵氧體磁環;
④使用電容等器件將共模電流旁路到地;
⑤使用屏蔽電纜,並且電纜屏蔽層與屏蔽殼體作360端接。
3 測試結果分析
差模幹擾測試結果如圖2 所示。圖2(a)是開關電源的工作頻率及其高頻諧波分量造成的電源線傳導發射超標,其中200 kHz 的尖峰是開關電源的工作頻率,選擇合適的電源輸入濾波器可以將這些幹擾電流進行衰減,圖2(b)是使用濾波器後的效果曲線。

圖2 減小差模幹擾測試曲線
[page]
減小電容耦合和互感耦合測試曲線如圖3 所示。因為電容耦合和互感耦合的存在,經常出現圖3(a)zheyangdeceshijieguo。zheshiyinweidianyuanxianlvboqideshurushuchuxiankunchengyishu,lvboqishuchuxianshangdezabodianliuzhijietongguodianronghehuganouhedaoshuruxianshang,shilvboqixingtongxushe。jiejuezheyiwentizhixujianglvboqideshurushuchuxianfenbiejieduanbingjinkenengyuanli,baochiyidingjiaodu,bingjiangxiangudingzaijixiangketishang,zheyangjiushideshuruxianshuchuxianshangdeganraodianliubunengzhijieouhe,dianyuanxianjingguolvboqihouganraodianliudedaoyizhi。

圖3 減小電容耦合和互感耦合測試曲線
減小空間輻射測試曲線如圖4 所示。圖4(a)是一台外接屏蔽電纜的設備的測試曲線,電纜與接口連接器相連的地方都是將屏蔽層擰成一條小辮(又稱Pigtail),ranhougudingdaolianjieqideluodingshang。pingbidianlannengkongzhigongmofusheshiyinweigongmodianliutigongleyigedizukangtonglu,shigongmodianliutongguopingbicengliuhuigongmodianyayuan。dianlanpingbicengtigongdegongmodianliutongludezukangyoudianlanbenshendezukangjidianlanyujinshujixiangzhijiandedajiezukang2 部分組成。因為電纜與金屬機箱之間的搭接阻抗(Pigtail的阻抗)jiaoda,zhejiushidepingbicengshangxingchengleyigejiaodadegongmodianya,zaigaidianyadequdongxia,dianlanpingbicengshanghuichanshenggongmodianliu,yinerpingbicengbianchengletianxianxiangwaifushe。jiangPigtail連接改成360 壓接在連接器的金屬外殼上,保證低阻抗搭接,測試結果如圖4(b)所示。

圖4 減小空間輻射測試曲線
4 結束語
電纜是造成設備或係統電磁兼容實驗失敗的主要因素。電纜造成的EMI 問題涉及到產品設備從設計到組裝的方方麵麵,包括電路板上的走線、線路板之間的電纜以及設備之間的電纜的設計、zhuangpeihezuzhuang,ceshiguochengzhongjiujingchangyujiandianlanzuzhuangbudangyinqidedianciganraowenti,zhexiedoukeyizhongxintiaozheng。zhiyudianlubanzhongzouxiandeshejidengwentibixuzaidiancijianrongshejijieduanjiuchongfenkaolv,fouzeyidanshejiwancheng,suozaochengdeyingxiangjiuhennanxiaochu。
- 噪聲中提取真值!瑞盟科技推出MSA2240電流檢測芯片賦能多元高端測量場景
- 10MHz高頻運行!氮矽科技發布集成驅動GaN芯片,助力電源能效再攀新高
- 失真度僅0.002%!力芯微推出超低內阻、超低失真4PST模擬開關
- 一“芯”雙電!聖邦微電子發布雙輸出電源芯片,簡化AFE與音頻設計
- 一機適配萬端:金升陽推出1200W可編程電源,賦能高端裝備製造
- 貿澤EIT係列新一期,探索AI如何重塑日常科技與用戶體驗
- 算力爆發遇上電源革新,大聯大世平集團攜手晶豐明源線上研討會解鎖應用落地
- 創新不止,創芯不已:第六屆ICDIA創芯展8月南京盛大啟幕!
- AI時代,為什麼存儲基礎設施的可靠性決定數據中心的經濟效益
- 矽典微ONELAB開發係列:為毫米波算法開發者打造的全棧工具鏈
- 車規與基於V2X的車輛協同主動避撞技術展望
- 數字隔離助力新能源汽車安全隔離的新挑戰
- 汽車模塊拋負載的解決方案
- 車用連接器的安全創新應用
- Melexis Actuators Business Unit
- Position / Current Sensors - Triaxis Hall



