小功率無變壓器電源設計
發布時間:2023-08-21 責任編輯:lina
【導讀】事實上,如果負載電流隻有幾十毫安,則可以將輸入交流電壓轉換為直流電壓,而無需使用大型、昂貴且笨重的變壓器。不帶變壓器的替代方案也更便宜、更輕並且占地麵積更小。無變壓器電源根據電路類型分為兩類:電容式和電阻式。現在我們將了解每種類型電路的特性、如何評估所涉及電子元件的功率以及應采取哪些安全預防措施。
采用無變壓器電源解決方案為低功率電路提供所需電源通常是有利的。
事實上,如果負載電流隻有幾十毫安,則可以將輸入交流電壓轉換為直流電壓,而無需使用大型、昂貴且笨重的變壓器。不帶變壓器的替代方案也更便宜、更輕並且占地麵積更小。無變壓器電源根據電路類型分為兩類:電容式和電阻式。現在我們將了解每種類型電路的特性、如何評估所涉及電子元件的功率以及應采取哪些安全預防措施。
無變壓器電容電源
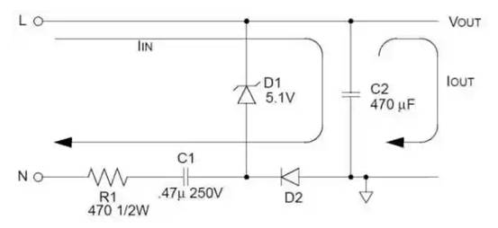
圖 1 顯示了無變壓器電容電源的原理圖。下麵提供了可讓您確定所需組件值的公式。交流電源電壓的火線和中性線分別用L和N表示,而輸出電壓和電流分別用V OUT和I OUT表示。電阻器 R1 和 C1 的電抗均用於減少浪湧電流,浪湧電流可能會損壞組件。D2 是典型的矽二極管,其任務是對交流電壓進行整流,而 D1 是齊納二極管,提供穩定的參考電壓。
圖 1:電容式無變壓器電源(圖片Microchip)
隻要輸出電流 I OUT 小於或等於輸入電流 I IN,負載上的電壓就保持恒定,其值可以計算為:
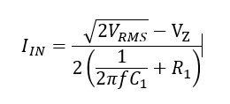
其中 V Z 是齊納電壓, V RMS 是輸入交流電壓的RMS 值, f 是其頻率。I IN的值 應與負載功率需求相匹配,而其值應用於為每個組件選擇正確的額定功率。輸出電壓 V OUT 的 計算公式如下:小功率無變壓器電源設計其中 V D是 D 2 上的正向偏置電壓 (對於常規矽二極管為 0.6–0.7 V)。對於 R 1,建議選擇功率至少為理論值 P R1兩倍的元件 給出:
電容器 C 1 的電壓應至少為交流電源電壓的兩倍(例如,在美國為250 V),該電容器即此類電路的名稱。二極管 D 1 的 功率應至少是由以下公式給出的理論值的兩倍:小功率無變壓器電源設計這同樣適用於二極管 D 2的功率,其中現在可以使用恒壓值 0.7 V 代替 V Z。對於 C 2,通常使用電解電容器,其電壓至少是 V Z的兩倍。
與基於變壓器的解決方案相比,電容解決方案的主要優點在於減小了尺寸、zhonglianghechengben。yuxiayiduanzhongjieshaodedianzuxingjiejuefanganxiangbi,gaidianlukeyirangninhuodegenggaodexiaolvshuiping。quedianshiquefayujiaoliushurudianyadejueyuan,bingqiechengbenbidianzujiejuefangangenggao。
無變壓器電阻電源
同樣,在無變壓器電阻電源中, 隻要 電流 I OUT 小於或等於輸入電流 I IN ,輸出電壓 V OUT就保持恒定。但不同的是,現在僅通過電阻R 1來限製浪湧電流。輸出電壓 V OUT 可以使用與電容式電源相同的公式計算,而輸入電流 I IN 現在可以通過應用以下公式獲得:小功率無變壓器電源設計
與前一種情況一樣,所選組件的功率值必須至少是理論功率值的兩倍,這可以通過應用歐姆定律計算(對於電阻器 R 1 為 P = R × I 2 ,對於電阻器 R 1 為 P = R × I 2 ,對於電阻器 R 1 為 P = R × I ,對於電阻器 R 1 為P = R × I 2 , 對於二極管 D 1 和 D 2 )。電解電容器 C 2 的尺寸必須與電容情況相同。
yujiyubianyaqidedianluxiangbi,dianzudianyuandeyoudianshichicunhezhonglianggengxiao,bingqiedaibiaoledejiejuefangan。raner,jishizaizhezhongqingkuangxia,jiaoliudianyuanyemeiyoujueyuan,xiaolvyediyudianrongfangan。
免責聲明:本文為轉載文章,轉載此文目的在於傳遞更多信息,版權歸原作者所有。本文所用視頻、圖片、文字如涉及作品版權問題,請聯係小編進行處理。
推薦閱讀:
- 噪聲中提取真值!瑞盟科技推出MSA2240電流檢測芯片賦能多元高端測量場景
- 10MHz高頻運行!氮矽科技發布集成驅動GaN芯片,助力電源能效再攀新高
- 失真度僅0.002%!力芯微推出超低內阻、超低失真4PST模擬開關
- 一“芯”雙電!聖邦微電子發布雙輸出電源芯片,簡化AFE與音頻設計
- 一機適配萬端:金升陽推出1200W可編程電源,賦能高端裝備製造
- 築基AI4S:摩爾線程全功能GPU加速中國生命科學自主生態
- 一秒檢測,成本降至萬分之一,光引科技把幾十萬的台式光譜儀“搬”到了手腕上
- AI服務器電源機櫃Power Rack HVDC MW級測試方案
- 突破工藝邊界,奎芯科技LPDDR5X IP矽驗證通過,速率達9600Mbps
- 通過直接、準確、自動測量超低範圍的氯殘留來推動反滲透膜保護
- 車規與基於V2X的車輛協同主動避撞技術展望
- 數字隔離助力新能源汽車安全隔離的新挑戰
- 汽車模塊拋負載的解決方案
- 車用連接器的安全創新應用
- Melexis Actuators Business Unit
- Position / Current Sensors - Triaxis Hall


