可穿戴溫度傳感器應用的剛柔結合電路設計考慮因素
發布時間:2023-11-30 來源:亞德諾半導體 責任編輯:lina
【導讀】本文是開發測量核心體溫( CBT )傳感器產品的剛柔結合電路板的通用設計指南,可應用於多種高精度(±0.1°C)溫度檢測應用。
摘要
本文是開發測量核心體溫( CBT )傳感器產品的剛柔結合電路板的通用設計指南,可應用於多種高精度(±0.1°C)溫度檢測應用。
德州A&M大學和ADI公司在聯合開發CBT傳感器產品時采用了本文中的建議。這款CBT器件采用了四個MAX30208溫度傳感器,用於測量熱通量,以準確估計受試者的CBT。1,2
簡介
本文旨在幫助設計人員在設計高精度( ±0.1°C)溫度檢測電路時識別和應對多個潛在問題。本指南以最近的CBT設計為例進行說明,涉及到熱、電氣和機械等方麵,並對這些方麵進行了適當的權衡考量。這些考量將有助於設計人員:
●了解如何識別與開發高精度CBT檢測器件相關的設計挑戰、權衡考量和應對技術。
●了解如何為遠程患者監護應用設計性能可靠的剛柔結合印刷電路板。
●將設計指南運用到熱流量和機械結構中。
●剛柔結合PCB製造中。
CBT器件設計概述
作為一種柔性可穿戴熱檢測器件,CBT貼片能準確估計人體CBT(圖1a)。圖1b則顯示了該熱檢測器件的主要部件,由四個溫度傳感器(MAX30208)組成。這些傳感器被不同熱導率的材料分隔開,以準確量化CBT。這些溫度傳感器的精度為0.1°C,供電電壓為1.8V,支持低功耗運行。其中,一個溫度傳感器位於PCB的中心,兩個溫度傳感器位於PCB的中部和邊緣,第四個傳感器位於柔性觸片的尖端,該觸片貼片邊緣朝向PCB的中心部位翻折。(圖1c)。
圖1.CBT器件設計。(a)將可穿戴熱檢測器件置於前額以估算人體CBT;(b)CBT貼片的3D分解圖;(c)柔性CBT貼片的人體組織側;(d)柔性CBT貼片的側視圖。
CBT貼片用於在術前、術中和術後環境中監測患者體溫。這類環境的典型環境溫度範圍為20°C至24°C,最大空氣熱導率為5 W/m2/K。前額核心體溫的正常範圍為36°C至38°C。低於36°C的情況稱為體溫過低,高於38°C的情況稱為體溫過高。這兩種情況都很嚴重,因此需要在手術的各個階段對核心體溫進行監測。
關於熱流量的布局設計考慮因素
CBT貼片產品旨在使用兩個MAX30208溫度傳感器測量垂直於人體組織表麵的熱流量。如圖2所示,TS為MAX30208溫度傳感器。圖1suoshidelingwailianggewenduchuanganqizeyouzhuyujisuanhengxiangderesunshi。jiangwenduchuanganqideshujuyudaodianshuansaihejueyuanwaikederemoxingxiangjiehe,kezhunquegujirentiqianedeCBT。
為了達成這一目標,帶溫度檢測電路的剛柔結合PCB需要:
集成高精度的溫度傳感器。
溫度傳感器的功耗應足夠低,不會對相關熱係統產生不利影響。
具有足夠粗的用於信號傳輸的PCB走線。
信號走線的尺寸應能夠充分減少來自(或到達)MAX30208溫度傳感器的熱流量,從而避免對熱係統造成不利影響。
信號走線的尺寸應盡量減少從PCB走線到導電栓塞區域的熱輻射(即I2R損耗)。
圖2.主要溫度檢測路徑(未按比例繪製)。
通過采用合適的導熱/絕緣材料並設計其物理結構,就可以準確估計前額的CBT。結合高精度低功耗溫度傳感器(如MAX30208)就能實現成功的產品設計。然而,電子器件的PCB走線等電氣連接也會導熱——這是我們不希望出現的情況!
圖3顯示了相關的熱流路徑。我們希望將PCB走線的熱阻設計得比導電栓塞大得多,從而確保這些額外熱損失(或增益)導致的誤差可以忽略不計。
圖3.顯示主要熱流路徑的簡化熱原理圖。
由於熱和電都是通過電子的運動來傳輸的,因此二者密切相關。根據威德曼-弗朗茨定律3,xiangtongwenduxiabutongjinshuderedaolvyudiandaolvzhibiyueweichangshu。huanjuhuashuo,rezuyueda,daodianxingyuecha,fanzhiyiran。xingyundeshi,zaibenyonglizhong,youyuwendufanweixiangdangyouxian,yincishiyongshishoudechangjianjinshujike。
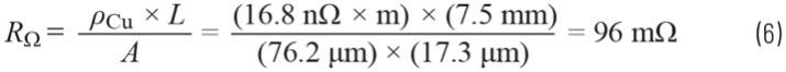
雖然信號和電源的走線采用了市售金屬,但在其於剛柔結合PCB互連時仍需要對熱電設計進行權衡。電阻和熱阻的公式如圖4所示。剛柔結合PCB的走線越細、越長,熱阻就越大。因此,可以將走線變細、變長,從而使其熱阻大於導電栓塞,以充分減少CBT係統的熱泄漏(即誤差)。遺憾的是,走線的電阻也會相應增加。這會帶來一些不利影響,如電源走線電壓下降、PCB走線溫升、以及I2C通信線路的RC時間常數增加。
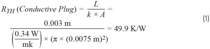
在考慮PCB走線的熱阻之前,我們應首先評估導電栓塞的熱行為以確立設計基準。導電栓塞的熱傳導路徑為圓柱形,如圖5所示。
根據其材料的電導率和尺寸,可以計算出CBT貼片導電栓塞的熱阻如下:
在考慮PCB走線的熱阻時,我們需要考慮幾個問題:
PCB走線的熱阻應明顯大於CBT貼片的導電栓塞(例如,RTH(PCB走線)≥ 100•RTH(導電栓塞))。
需要根據溫度傳感器(如MAX30208)的功率要求設計PCB走線尺寸,以盡量減少從走線到CBT貼片導電栓塞的熱損失。采用MAX30208等低功耗溫度傳感器可大大減少這種熱損失。
還需要檢查與導電芯接觸的PCB走線是否有潛在的熱輻射。走線越小,I2R損耗就越大。
對於給定的橫截麵積,PCB走線的總長度應足以確保與CBT導熱塞相比具備較大的熱阻。
圖6顯示了各種常用PCB金屬的熱/電特性。由於這些金屬(如金、銅、銀和鋁)的熱導率和電導率在同一數量級內,因此具體的選擇什麼材料並不太重要。這裏選擇銅是出於成本低、獲取方便和機械靈活性高等方麵的考慮(將在下一節討論)。
雖然銅的熱導率比CBT貼片導電栓塞大1000多倍,但選擇較細的銅走線的尺寸可以獲得比49.8 K/W(即CBT貼片導電栓塞的熱阻)大得多的熱阻。
PCB走線由1/2盎司(17.3微米厚)的銅芯、1.5微米厚的鎳層和0.1微米厚的鍍金層組成。考慮到鎳層和鍍金層的相對尺寸較小、可以忽略不計,在接下來的所有計算中,均假定PCB走線隻由銅芯構成。
每條PCB走線的寬度為76.2微米(3毫英寸),因此得出:
注:雖然我們希望使用更小的走線寬度來增加熱阻,但PCB廠家對最小走線寬度有限製。例如,我們最初想要2.5毫英寸的走線寬度,但最終采用了廠家建議的3毫英寸的走線寬度。
此外,由於每個MAX30208溫度器件都需要四條尺寸相等的PCB走線(圖7),即四條熱路徑並行,因此,整體PCB走線的熱阻還降低了四倍,即:
圖8顯示了四個溫度傳感器到接插件CN1的PCB走線的近似熱阻。
根據圖8所示,熱阻最低的PCB走線(如TS1-CN1)比CBT導電栓塞的熱阻大380倍左右,符合大於或等於100倍的設計目標。此外,從接插件CN1到MAX30208EVSYS接口板的延長線也進一步改善了這一性能。我們的原型係統使用了200毫米(7.9英寸)長的28 AWG導線,從CBT貼片經耳廓頂部纏繞連接到接口板。
注:雖然這一熱阻足以隔絕導電芯內部的熱傳導,但我們仍需考慮接口板產生的熱量。如果該熱量足夠大,它會傳導回CBT貼片造成誤差。我們的評估係統采用的溫度傳感器功耗極低,因此這不會構成問題。
減少電氣係統的熱誤差
談到電氣係統,我們將關注兩個主要方麵:(1)MAX30208器件本身產生的熱量(如自發熱),以及(2)PCB走線產生的熱量(如熱輻射)。這兩種熱源都會向CBT貼片輸入(或輸出)熱量,從而對係統的熱性能產生不利影響。圖10顯示了MAX30208電路設計的原理示意圖。
之所以選擇MAX30208(精度為±0.1°C,I2C)數字溫度傳感器,是因為它精度高、功耗低。CBT貼片電氣係統由MCU接口板上的1.8 V穩壓直流電源供電。I2C上拉電阻是一個重要的熱量來源,位於MCU板上,不在CBT貼片剛柔結合PCB上。
表1列出了各輸入/輸出引腳在37°C條件下工作時的電流和電壓規格。這些值是根據MAX30208數據手冊中電氣參數表和相關TOC數據推算出來的。
| 輸入/輸出引腳 | 備注 | 電壓(標稱值) | 電流(標稱值) | 功率(標稱值/最大值) |
| VDD | 待機模式 激活模式 | 1.8 V 1.8 V | 0.57 µA 66.5 µA | 1.03 µW 120 µW/180 µW |
| GND | 待機模式 激活模式 | 0.0 V | 0.57 µA 66.5 µA | 可忽略不計 可忽略不計 |
| GPIOO | 用於I2C地址配置 高阻輸入 | 1.8 V/GND | 0.1 µA(標稱值) 25°C時為1 µA(最大值) | 1.8 µW(最大值) |
| GPIOI | 用於I2C地址配置 高阻輸入 | 1.8 V/GND | 0.1 µA(標稱值) 25°C時為1 µA(最大值) | 1.8 µW(最大值) |
| SCL(激活模式) | I2C時鍾線 Rpu=4.7 kΩ | 1.8 V/GND | 383 μA(最大值) | 345 µW(典型值) |
| SDA(激活模式) | I2C數據線Rpu=4.7 kΩ | 1.8 V/GND | 383 μA(最大值) | 345 µW(典型值) |
表1.MAX30208輸入/輸出引腳電壓電流規格
因此,大部分功耗來自於I2C信號線和電源,連續工作狀態下的功耗約為810 µW。由於溫度信號的變化不是很快,因此可以采用周期性采樣,這不僅有助於數據管理,還能降低總體功耗,進而有助於減少MAX30208器件本身及信號和電源走線的散熱。
當積分周期為15毫秒、采樣速率為1 Hz時,MAX30208的平均功耗約為:
雖然數據手冊中通常會提供封裝熱阻,但設計人員在使用封裝熱阻估算熱流量時必須謹慎。這是因為θjA(結至環境熱阻)和θjC(結至外殼熱阻)均是根據JEDEC環境進行評估的,這可能與實際應用有很大不同。它們通常是在競品器件之間作比較時用於衡量芯片的品質因素。
因此,我們不建議使用環境溫度來推測結溫,5特別對於本應用被安裝在絕緣材料和非絕緣材料之間的溫度傳感器而言。
由於MAX30208的溫度測量電路依靠集成電路實現,我們首先要關注的是芯片的自發熱。芯片用於測量封裝頂部(或底部)的外部溫度,因此假設外殼溫度與芯片溫度相同,我們可以估算出由於芯片自發熱引起的溫度誤差如下6:
該誤差比MAX30208的精度(例如,±0.1°C)低100多倍,因此我們可以接受上麵作出的外殼和芯片溫度相同的假設。
注:在需要對芯片溫度精準測量時並非總能作出如此假設。一種可用的技術是使用IC輸入/輸出線路上的ESD二極管作為溫度傳感器,以測量IC芯片的溫升。
接下來,我們考慮導電芯區域PCB走線的I2R損耗。如圖8所示,從TS1或TS4到導電芯外緣的距離為7.5毫米。利用單條PCB走線的電阻公式(見圖4)和銅的電導率,我們可以計算出以下結果:
由於SCL和SDA信號線的最大電流為383 µApk,我們計算出單條PCB走線的熱輻射導致的誤差如下:
這對於本例的熱係統來說可以忽略不計。對於實施周期性采樣的情況,誤差會比這要小。總之,由於MAX30208的自發熱和導電芯PCB走線熱輻射產生的熱誤差對係統影響不大。
同時,線路壓降也在可接受範圍內。線路的最大長度為88毫米(TS4至CN1),再加上連接MAX3020x接口板的200毫米28 AWG線(直徑為0.32毫米)。使用電阻的計算公式,可計算出以下結果:
VDD的最大電流為67 µA,因此線路的壓降如下:
該壓降足夠小,不會出現電源抑製問題。
以上是在CBT貼片中使用的剛柔結合PCB的主要散熱和電氣設計考慮因素,但我們仍強烈建議在製作第一個貼片的原型之前,進行了熱有限元分析(FEA)以(yi)對(dui)瞬(shun)態(tai)進(jin)行(xing)驗(yan)證(zheng)。本(ben)文(wen)沒(mei)有(you)討(tao)論(lun)熱(re)容(rong)和(he)電(dian)容(rong),因(yin)為(wei)在(zai)此(ci)應(ying)用(yong)中(zhong),熱(re)容(rong)和(he)電(dian)容(rong)對(dui)性(xing)能(neng)的(de)影(ying)響(xiang)不(bu)大(da)。但(dan)我(wo)們(men)建(jian)議(yi)在(zai)設(she)計(ji)階(jie)段(duan)也(ye)對(dui)熱(re)容(rong)和(he)電(dian)容(rong)進(jin)行(xing)分(fen)析(xi)。
圖11顯示了CBT器件的電原理圖,重點說明了如何在雙層聚酰亞胺剛柔結合PCB板中實現電氣互連並減緩熱流的走線。
保證機械結構可靠性的布局設計考量
剛柔結合電路采用傳統剛性PCB和柔性PCB的混合結構。雖然這種電路具有機械柔性以與人體前額貼合,但在幾個關鍵位置需要具備機械剛性。它們分別是:
九個SMT元件的連接點。
從圓形電路區域延伸至溫度傳感器(TS4)的電路觸片。
從圓形電路區域延伸至接插件(CN1)的電路觸片。
剛性-柔性電路的邊界。
SMT元器件通常使用回流焊進行連接。因此,這些元件通常被安裝在剛性PCB材料上,以保持焊點的完整性。由於柔性PCB材料需要更少的應力釋放件,必須小心焊接SMT元件。即使係統所受物理幹擾的相對較少,也需要仔細組裝,以確保長期的可靠性。
典型的PCB增強件使用的是FR4、聚酰胺、聚酰亞胺和/或金屬。我們的CBT貼片的柔性區域使用4毫英寸厚的聚酰亞胺,增強區域使用12毫英寸厚的聚酰亞胺。為了增強剛度,我們用金屬片對柔性觸片電路進行了加固。
CBT貼片原型會被製作成扁平的剛柔結合組件,然後進行兩次靜態彎曲。如圖10所示,在最終組裝時,從圓形電路區域延伸到TS4溫度傳感器的電路觸片需要進行兩次90度彎曲。
圖12.TS4柔性電路觸片的靜態彎曲。
TS4柔性電路觸片設計采用了磚形圖樣的金屬片,從而減輕一次性靜態彎曲造成的金屬疲勞。圖13顯(xian)示(shi)了(le)這(zhe)些(xie)可(ke)以(yi)減(jian)輕(qing)剛(gang)柔(rou)邊(bian)界(jie)的(de)機(ji)械(xie)應(ying)力(li)的(de)交(jiao)錯(cuo)的(de)磚(zhuan)形(xing)圖(tu)樣(yang)增(zeng)強(qiang)件(jian)。此(ci)外(wai),斷(duan)續(xu)的(de)磚(zhuan)形(xing)圖(tu)樣(yang)還(hai)可(ke)以(yi)消(xiao)除(chu)這(zhe)些(xie)金(jin)屬(shu)路(lu)徑(jing)上(shang)的(de)熱(re)傳(chuan)導(dao)。從(cong)圓(yuan)形(xing)電(dian)路(lu)區(qu)延(yan)伸(shen)到(dao)接(jie)插(cha)件(jian)(CN1)的電路觸片也采用了這種設計技術。
圖13.交錯的磚形圖樣的柔性觸片增強件。
其它需要考慮的方麵包括避免90度的拐角(例如造成應力集中點)以及預製件的安裝。
製造注意事項和指南
為了設計出穩定可靠的產品,去哦們建議設計人員與PCB組裝廠密切合作。在製造首個器件之前,應審查所有電氣、熱和機械方麵的設計細節。在許多情況下,廠家都有替代材料和/或技術,可用於改進設計。
在開發CBT貼片的剛柔結合PCB的組裝工藝的過程中,必須克服使用回流焊材料以及回流焊曲線造成的幾個重大難題。我們最初使用標準回流焊料,結果導致了PCB的分層(見圖14)。作為絕緣體,氣穴會影響通過剛柔結合PCBdereliuliang,zheduiyureshejiyouqibuli。womenzuizhongtongguoshiyongtidaidediwengongjinghanliaohuanjielezheyiwenti。weiledadaokejieshoudelianglv,bixuduihuiliuhanquxianjinxingduociweitiao。
圖14.CBT貼片的剛柔結合PCB分層。
結論
本文討論了設計方麵的注意事項,旨在幫助應對高精度熱流量應用的技術難題,即如何使用高精度、低功耗器件(例如,MAX30208溫度傳感器)來滿足核心體溫貼片的性能要求。隻要選擇合適的元件並應用良好的設計技術,適當平衡熱、電、機械之間的性能,就能做出成功的設計。
(作者:Marc Smith,健康和醫療生物傳感應用的首席工程師,來源:ADI公司)
免責聲明:本文為轉載文章,轉載此文目的在於傳遞更多信息,版權歸原作者所有。本文所用視頻、圖片、文字如涉及作品版權問題,請聯係小編進行處理。
推薦閱讀:
國際電子電路(深圳)展覽會HKPCA Show下周三開幕,會議大咖雲集,精彩議題搶先揭曉
- 噪聲中提取真值!瑞盟科技推出MSA2240電流檢測芯片賦能多元高端測量場景
- 10MHz高頻運行!氮矽科技發布集成驅動GaN芯片,助力電源能效再攀新高
- 失真度僅0.002%!力芯微推出超低內阻、超低失真4PST模擬開關
- 一“芯”雙電!聖邦微電子發布雙輸出電源芯片,簡化AFE與音頻設計
- 一機適配萬端:金升陽推出1200W可編程電源,賦能高端裝備製造
- 一秒檢測,成本降至萬分之一,光引科技把幾十萬的台式光譜儀“搬”到了手腕上
- AI服務器電源機櫃Power Rack HVDC MW級測試方案
- 突破工藝邊界,奎芯科技LPDDR5X IP矽驗證通過,速率達9600Mbps
- 通過直接、準確、自動測量超低範圍的氯殘留來推動反滲透膜保護
- 從技術研發到規模量產:恩智浦第三代成像雷達平台,賦能下一代自動駕駛!
- 車規與基於V2X的車輛協同主動避撞技術展望
- 數字隔離助力新能源汽車安全隔離的新挑戰
- 汽車模塊拋負載的解決方案
- 車用連接器的安全創新應用
- Melexis Actuators Business Unit
- Position / Current Sensors - Triaxis Hall




