解析高壓IGBT模塊在濕度影響下的壽命預估模型
發布時間:2018-03-14 來源:三菱電機半導體 責任編輯:lina
【導讀】本文介紹了高壓IGBT模塊在濕度影響下的壽命預估模型。此模型涉及的濕度加速因子是從溫濕偏置試驗中提取的;高壓IGBT的溫濕偏置試驗在不同的濕度和不同的電壓下進行測試,目的是為了找出濕度和電壓對高壓IGBT壽命的影響。最終,我們把濕度和電壓對高壓IGBT壽命的影響以及溫度因數都集成到壽命預估模型中。通過試驗,我們同時發現濕度對高壓IGBT模塊的壽命有很大影響。

1、引 言
在一些電力電子應用場合,不僅需要高壓IGBT模塊有優異的性能,還需要具有相當高的可靠性;為了滿足實際需求,希望高壓IGBT模塊的壽命能達到30年,所以,高壓IGBT模塊的壽命預估非常重要。以前,盡管我們都知道濕度會對高壓IGBT模塊的壽命產生很大影響,但是沒有一個準確的壽命預估模型把濕度因素考慮進來。三菱電機持續研究濕度對高壓IGBT模塊可靠性的影響,從而得到新的高壓IGBT模塊的壽命預估模型,通過這個模型來預估高壓IGBT的壽命。同時,三菱電機通過采用SCC(Surface Charge Control)技術開發了新一代高壓IGBT模塊,具有抵禦高濕度的能力。
2、高濕引起高壓IGBT模塊
失效機理
三菱電機對濕度引起的失效模式進行了研究。高濕引起高壓IGBT模塊的失效機理詳見PCIM 2015論文[2]。

一般來說,擊穿電壓會隨著IGBT芯片邊緣電荷量QSS的增加而降低。圖1為6.5kV 高壓IGBT芯片的擊穿電壓隨著QSS變化的曲線圖。高濕度工況下的失效機理如下所述。
當給集電極和發射極之間施加電壓,高壓IGBT內部的凝膠會被電極化,芯片的邊緣會累積電荷QSS,同時,凝膠中的濕氣會加速電荷的集聚,此時,其擊穿電壓在高濕環境下會下降。所以濕度和電壓會加速IGBT模塊的退化,同時溫度也會加速IGBT模塊的退化。
三菱電機通過采用新的IGBT芯片邊緣技術SCC(Surface Charge Control)提高了高壓IGBT模塊在抵禦高濕度方麵的魯棒性。
為了抑製IGBT芯片邊緣電荷集聚,SCC技術采用了優化的半絕緣性材料替代傳統的絕緣材料,這個半絕緣性層為集聚的載流子提供了通路,如圖3所示,在高濕工況下,產生的載流子會通過半絕緣層傳遞出去,避免了電荷的大量集聚。

3、濕度影響下的壽命預估模型
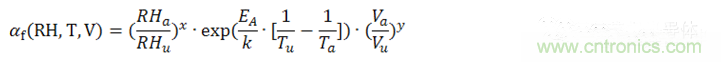
C. Zorn介紹了考慮濕度、溫度和電壓的加速模型[1]。
公式中,αf為測試的加速因子,也就是加速(後綴為a)測試條件下MTTF(Mean Time To Failures,平均無故障時間)與參考(後綴為u)測試條件下MTTF之比。EA是活化能,在0.79eV和0.95eV之間,k為玻爾茲曼常數。指數x為相對濕度的影響,指數y為電壓的影響,都是經驗數據,但是必須通過實際評估來確認。我們把此加速模型擴展到壽命預估模型中。
濕度的壽命模型為:

濕度加速因子:

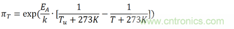
溫度加速因子:

電壓加速因子:

其中:LTb:在參考條件下的基本壽命;
RH[%]: 用於壽命計算的外界環境相對濕度;
T[℃]:用於壽命計算的外界環境溫度;
V[V]:用於壽命計算的電壓;
參考條件下的相對濕度為:RHu=75%。
參考條件下的環境溫度為:Tu=25℃。
參考條件下的電壓為:Vu=1500V。
相對濕度的經驗影響因子為x。
電壓的經驗影響因子為y。
活化能EA=0.79eV。
玻爾茲曼常數k=8.62×10-5eV/K。
LT是考慮濕度、溫度和電壓的預估壽命,公式中的參數,LTb是參考條件下的基本壽命,與每個高壓IGBT模塊的結構相關,濕度加速因子πH,溫度加速因子πT,電壓加速因子πV,其它的參數來自加速模型。在此壽命估算模型中,活化能EA定義為最小值0.79eV。同時,參考條件,RHu=75%和Tu=25℃是東京8月份的平均環境條件。除此之外,Vu=1500V為直流網壓。
4、加速因子的估算
4.1 溫濕反偏試驗測試結果
3.3kV高壓IGBT的溫濕反偏試驗是在以下三個條件下測試:測試條件A(Ta=85℃,相對濕度=85%, VCE=2800V),測試條件B(Ta=85℃,相對濕度=95%, VCE=2800V),測試條件C(Ta=85℃,相對濕度=95%, VCE=2000V),測試結果如圖4,圖5和圖6所示。
根據失效機理,濕度引起的失效應該在芯片的邊緣區域。試驗過程中發生的失效點,同樣在芯片的邊緣,如圖7所示。


4.2 濕度加速因子
如圖4所示,在測試條件A的平均壽命為3023個小時。同樣,如圖5所示,在測試條件B的平均壽命為309個小時。所以,從相對濕度85%到相對濕度95%,加速因子αf_A-B通過計算為3023/309=9.78。相對濕度的經驗影響因子x通過下式計算:

這裏RHa_testB=95%, RHa_testA=85%, 所以上式的計算結果x=20.5。
4.3 電壓加速因子
如圖5所示,在測試條件B的平均壽命為309個小時。同樣,如圖6所示,在測試條件C的平均壽命為490個小時。所以,從電壓2000V到電壓2800V,加速因子αf_C-B通過計算為490/309=1.59。電壓的經驗影響因子y通過下式計算:

這裏Va_testB=2800V, Va_testC=2000V,, 所以上式的計算結果y=1.37。
5. 3.3kV IGBT壽命預估
5.1 基本壽命時間
這裏,參考條件定義為RHu=75%,Tu=25℃和Vu=1500V。通過公式(1),可以得到測試條件A中的加速因子αf_A為5.31k,測試條件B中的加速因子αf_B為52.0k,測試條件C中的加速因子αf_B為32.8k。綜合這些加速因子,溫濕反偏試驗測試A、測試B和測試C轉換為如表1、表2和表3所示的參考條件。

以上失效點集成為圖8所示的威布爾曲線圖,從圖中可以得到,在參考條件下F(t)=10%的壽命為1210年。同時,在此威布爾分析中,排除了最大點和最小點。所以,在參考條件下,3.3kV IGBT的壽命LTb=1210年。

5.2 壽命預估模型
所有參數通過溫濕反偏試驗A、試驗B和試驗C得到確認。所以新的壽命預估模型如下:
濕度加速因子:

溫度加速因子:

電壓加速因子:

LTb=1210年,Tu=25℃,Vu=1500V,x=20.5,y=1.37,EA=0.79eV,k=8.62×10-5 eV/K
新的壽命預估模型僅考慮了濕度引起的失效,但是在實際運行時必須考慮除了濕度以外其它因素引起的失效。
5.3 壽命預估結果
通過以上壽命預估模型,可以預估3.3kV IGBT在不同工況下的壽命。圖9展示了壽命預估結果,包含了在直流1500V下1年、30年和1000年的溫度濕度矯正曲線。通過這些曲線,我們可以看到3.3kV IGBT有足夠強的抵禦濕度能力。

從上圖可以看出,相對濕度增加11%或者溫度增加40℃,都會造成壽命從1000年減為30年,所以,相對來說,相對濕度的影響比溫度影響更大。一般來說,當變流器內部升溫時,絕對濕度會保持不變。如果環境條件從溫度38.9℃、相對濕度83.0%變為溫度42.6℃、相對濕度68.8%,但是絕對濕度值保持40g/m3,壽命會從30年增加到1000年。所以,預加熱是一種非常有效的抑製濕度失效的方法。
當然,1000年的計算值僅僅是考慮濕度情況下的壽命,如果考慮上其它因素,比如溫度循環壽命等,IGBT模塊實際壽命在實際中並沒有這麼長。
tongshi,yishangshoumingyugumoxingshijiyuwenshifanpianshiyan,suoyimeiyoukaolvwendukuaisubianhuadeqingkuang。tebiedangkuaisulengquehuizaochengninglu,bigaoshigongkuanggengjiayanku。zaishijigongkuangzhong,zhezhongwendukuaisubianhuadegongkuangyeyinggaikaolv。weilefangzhininglu,tongyangde,yujiareshiyizhongyouxiaodeshouduan。
6. 結 論
本文介紹了考慮濕度影響的壽命預估模型。通過這個模型,得到了1500V情況下的1年、30年和1000年的溫度濕度矯正曲線,並且確認了3.3kV IGBT模塊具有足夠的抑製濕度失效的能力。
同時,本文確定了高濕會對高壓IGBTmokuaideshoumingchanshenghendadeyingxiang,suoyiruguobianliuqizaigaoshigongkuangxiashi,bixukaolvshidudailaideyingxiang。yujiareshiyizhongfeichangyouxiaodeyizhishidushixiaodefangfa。
7. 參考文獻
[1]Christian Zorn, Nando Kaminski, “Acceleration of Temperature Humidity Bias(THB) Testing on IGBT Modules by High Bias Levels,” 2015 IEEE
[2]N. Tanaka, et al., “Robust HVIGBT Modules Design against High Humidity,” PCIM Europe2015
[3]Shigeto Honda, Tatsuo Harada, Akito Nishii, Ze Chen, Kazuhiro Shimizu, “HighVoltage Device Edge Termination for Wide Temperature Range plus Humidity withSurface Charge Control (SCC) Technology,” ISPSD 2016.
推薦閱讀:
MOS管柵極驅動電阻如何優化設計?
瑞薩電子攜其最新解決方案亮相2018上海慕尼黑電子展
Vishay在ELECRAMA 2018印度展上舉辦“World of Solutions”主題展
推薦閱讀:
MOS管柵極驅動電阻如何優化設計?
瑞薩電子攜其最新解決方案亮相2018上海慕尼黑電子展
Vishay在ELECRAMA 2018印度展上舉辦“World of Solutions”主題展
特別推薦
- 噪聲中提取真值!瑞盟科技推出MSA2240電流檢測芯片賦能多元高端測量場景
- 10MHz高頻運行!氮矽科技發布集成驅動GaN芯片,助力電源能效再攀新高
- 失真度僅0.002%!力芯微推出超低內阻、超低失真4PST模擬開關
- 一“芯”雙電!聖邦微電子發布雙輸出電源芯片,簡化AFE與音頻設計
- 一機適配萬端:金升陽推出1200W可編程電源,賦能高端裝備製造
技術文章更多>>
- 一秒檢測,成本降至萬分之一,光引科技把幾十萬的台式光譜儀“搬”到了手腕上
- AI服務器電源機櫃Power Rack HVDC MW級測試方案
- 突破工藝邊界,奎芯科技LPDDR5X IP矽驗證通過,速率達9600Mbps
- 通過直接、準確、自動測量超低範圍的氯殘留來推動反滲透膜保護
- 從技術研發到規模量產:恩智浦第三代成像雷達平台,賦能下一代自動駕駛!
技術白皮書下載更多>>
- 車規與基於V2X的車輛協同主動避撞技術展望
- 數字隔離助力新能源汽車安全隔離的新挑戰
- 汽車模塊拋負載的解決方案
- 車用連接器的安全創新應用
- Melexis Actuators Business Unit
- Position / Current Sensors - Triaxis Hall
熱門搜索



