二極管動態電阻≠直流電阻,不要傻傻分不清楚
發布時間:2015-01-09 責任編輯:sherryyu
【導讀】很hen多duo電dian子zi工gong程cheng師shi會hui問wen二er極ji管guan重zhong動dong態tai與yu直zhi流liu電dian阻zu到dao底di有you什shen麼me關guan係xi,又you有you什shen麼me區qu別bie?這zhe是shi很hen多duo人ren分fen不bu清qing楚chu的de,其qi實shi直zhi流liu電dian阻zu是shi二er極ji管guan在zai一yi定ding伏fu安an特te性xing上shang,某mou一yi點dian端duan電dian壓ya與yu其qi電dian流liu的de比bi值zhi。那na麼me二er極ji管guan中zhong直zhi流liu電dian阻zu和he動dong態tai電dian阻zu之zhi間jian有you什shen麼me區qu別bie呢ne?
二(er)極(ji)管(guan)經(jing)常(chang)在(zai)電(dian)路(lu)中(zhong)被(bei)用(yong)作(zuo)整(zheng)流(liu)之(zhi)用(yong)。作(zuo)為(wei)一(yi)種(zhong)非(fei)線(xian)性(xing)器(qi)件(jian),其(qi)對(dui)直(zhi)流(liu)與(yu)直(zhi)流(liu)之(zhi)間(jian)的(de)等(deng)效(xiao)電(dian)阻(zu)的(de)反(fan)應(ying)也(ye)是(shi)不(bu)同(tong)的(de)。而(er)直(zhi)流(liu)電(dian)阻(zu)是(shi)二(er)極(ji)管(guan)在(zai)一(yi)定(ding)伏(fu)安(an)特(te)性(xing)上(shang),某(mou)一(yi)點(dian)端(duan)電(dian)壓(ya)與(yu)其(qi)電(dian)流(liu)的(de)比(bi)值(zhi)。那(na)麼(me)二(er)極(ji)管(guan)中(zhong)直(zhi)流(liu)電(dian)阻(zu)和(he)動(dong)態(tai)電(dian)阻(zu)之(zhi)間(jian)有(you)什(shen)麼(me)區(qu)別(bie)呢(ne)?

(a) 電路

(b) 二極管伏安特性和工作點Q

(c) 二極管的直流電阻
圖1
在直流電源V的作用下,對應於二極管電流ID和二極管兩端電壓UD的點稱為靜態工作點,該點對應的直流電阻為:

動態電阻是在一個固定的直流電壓和電流(即靜態工作點Q)的基礎上,由交流信號ui引起特性曲線,在Q點附近的一小段電壓和電流的變化產生的。若該交流信號ui是低頻,而且幅度很小(通常稱低頻小信號),則由此引起的電流變化量也很小,這一小段特性曲線可以用通過Q點的切線來等效。

(a) 電路

(b) 二極管伏安特性

(c) 二極管的動態電阻
圖2
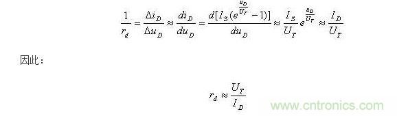
若在Q點的基礎上外加微小的低頻信號,二極管兩端產生的電壓變化量和電流變化量如圖2(b)中所標注,則此時的二極管可等效成一個動態電阻rd,根據二極管的電流方程可得:

可得:

ID為靜態電流,常溫下UT=26mV。可知,靜態電流ID越大,rd將越小。設UD=0.7V時,ID=2mA。由此可得直流電阻RD=350,而動態電阻(交流電阻)為:

可見二者相差甚遠,切不可混淆。
通過前文的講解和計算,相信大家對直流電阻和動態電阻的區別有了一定的認識,這也解釋了在使用萬用表的電阻檔對二極管進行測量時,所得電阻為二極管的直流電阻,而並不是非動態電阻。
yucitongshi,zaiyongwanyongbiaooumudangduierjiguandezhengxiangdianzujinxingceliangshi,yinweiwanyongbiaoneizubutong,suoyidaozhiliujingguanzidedianliuqiangdubutong,zhejiuyiweizhegongzuodiandebutong,zuihoushideceliangchudeRD值也不同。
特別推薦
- 噪聲中提取真值!瑞盟科技推出MSA2240電流檢測芯片賦能多元高端測量場景
- 10MHz高頻運行!氮矽科技發布集成驅動GaN芯片,助力電源能效再攀新高
- 失真度僅0.002%!力芯微推出超低內阻、超低失真4PST模擬開關
- 一“芯”雙電!聖邦微電子發布雙輸出電源芯片,簡化AFE與音頻設計
- 一機適配萬端:金升陽推出1200W可編程電源,賦能高端裝備製造
技術文章更多>>
- 三星上演罕見對峙:工會集會討薪,股東隔街抗議
- 摩爾線程實現DeepSeek-V4“Day-0”支持,國產GPU適配再提速
- 築牢安全防線:智能駕駛邁向規模化應用的關鍵挑戰與破局之道
- GPT-Image 2:99%文字準確率,AI生圖告別“鬼畫符”
- 機器人馬拉鬆的勝負手:藏在主板角落裏的“時鍾戰爭”
技術白皮書下載更多>>
- 車規與基於V2X的車輛協同主動避撞技術展望
- 數字隔離助力新能源汽車安全隔離的新挑戰
- 汽車模塊拋負載的解決方案
- 車用連接器的安全創新應用
- Melexis Actuators Business Unit
- Position / Current Sensors - Triaxis Hall
熱門搜索
鑒頻器
江蘇商絡
交流電機
腳踏開關
接觸器接線
接近開關
接口IC
介質電容
介質諧振器
金屬膜電阻
晶體濾波器
晶體諧振器
晶體振蕩器
晶閘管
精密電阻
精密工具
景佑能源
聚合物電容
君耀電子
開發工具
開關
開關電源
開關電源電路
開關二極管
開關三極管
科通
可變電容
可調電感
可控矽
空心線圈

