超寬帶脈衝環境下射頻濾波器非線性響應分析
發布時間:2021-07-05 來源:陸希成,邱揚,武靜,田錦,楊誌強 責任編輯:wenwei
【導讀】實驗研究發現,射頻濾波器在連續波和超寬帶脈衝條件下其帶外傳輸性能基本一致,但在帶內某些頻段,超寬帶脈衝環境下濾波器的傳遞函數遠大於1。此外,濾波器在超寬帶脈衝下的時域響應還出現了脈衝振蕩特征。針對這些現象,從濾波器的非線性無源互調和Q值效應的兩個方麵,分析了濾波器在超寬帶脈衝作用下的響應機理,初步解釋了上述現象。
此(ci)外(wai),通(tong)過(guo)不(bu)同(tong)輻(fu)射(she)場(chang)強(qiang)下(xia)的(de)測(ce)量(liang)結(jie)果(guo)可(ke)知(zhi),濾(lv)波(bo)器(qi)無(wu)源(yuan)互(hu)調(tiao)還(hai)出(chu)現(xian)了(le)非(fei)線(xian)性(xing)現(xian)象(xiang),使(shi)得(de)測(ce)量(liang)結(jie)果(guo)的(de)普(pu)適(shi)性(xing)受(shou)到(dao)一(yi)定(ding)限(xian)製(zhi)。基(ji)於(yu)傳(chuan)遞(di)函(han)數(shu)的(de)預(yu)測(ce)結(jie)果(guo)表(biao)明(ming),連(lian)續(xu)波(bo)測(ce)量(liang)結(jie)果(guo)的(de)預(yu)測(ce)波(bo)形(xing)無(wu)論(lun)是(shi)從(cong)能(neng)量(liang)上(shang)還(hai)是(shi)從(cong)峰(feng)值(zhi)功(gong)率(lv)上(shang)都(dou)明(ming)顯(xian)小(xiao)於(yu)實(shi)測(ce)結(jie)果(guo)。這(zhe)些(xie)都(dou)反(fan)映(ying)出(chu),濾(lv)波(bo)器(qi)在(zai)超(chao)寬(kuan)帶(dai)脈(mai)衝(chong)環(huan)境(jing)下(xia)的(de)響(xiang)應(ying)機(ji)理(li)與(yu)在(zai)連(lian)續(xu)波(bo)環(huan)境(jing)下(xia)的(de)響(xiang)應(ying)機(ji)理(li)明(ming)顯(xian)不(bu)同(tong),其(qi)預(yu)測(ce)結(jie)果(guo)也(ye)差(cha)異(yi)較(jiao)大(da)。也(ye)就(jiu)是(shi)說(shuo),連(lian)續(xu)波(bo)測(ce)量(liang)結(jie)果(guo)不(bu)可(ke)用(yong)於(yu)超(chao)寬(kuan)帶(dai)脈(mai)衝(chong)的(de)效(xiao)應(ying)分(fen)析(xi)和(he)評(ping)估(gu)。
外部輻射的電磁環境可通過“前門”和“後門”耦合進入電子係統,使其發生幹擾、擾亂或損傷。在“後門”耦合效應方麵,已研究了多種不同類型的孔縫、線纜、腔體效應等。在“前門”耦合效應方麵,主要關注耦合通道中的濾波器、限幅器等防護設備。其中,對於濾波器,人們主要關注其濾波和插損性能,通常采用低功率連續波掃頻方法(如矢量網絡分析儀)開展相應測試。由此得到的測試結果是否適用於超寬帶(Ultra Wide Band,UWB)脈衝電磁環境還需要進一步討論,這是因為UWB脈衝電磁環境與普通的連續波電磁環境明顯不同。主要區別為,UWB電磁環境的場強很高(峰值可達到幾十kV/m、耦合到濾波器的前端電壓也可達到幾kV)、頻譜範圍很寬(幾百MHz)。在這種環境下,濾波器響應的研究很少。采用實驗研究了微帶線濾波器的對UWB脈衝的抑製性能,但由於耦合的UWB信號強度不強,實驗中沒有觀測到非線性效應。研究結果表明,濾波器在強場、寬譜條件下可能會出現很強的非線性無源互調現象。由此可見,濾波器在UWB脈衝環境下的傳輸特性可能會與普通連續波環境下的傳輸特性不同。
本文采用實驗和理論方法重點研究射頻濾波器在UWB脈衝輻射環境下的響應特性,分析其與矢網掃頻測量結果的差異,並討論這兩種測量結果對超寬帶信號的預測能力,以判斷在UWB脈衝效應研究中,能否直接利用連續波掃頻測試方法獲得的結果。
1 實驗研究
濾波器常用於抑製不需要的電磁幹擾信號,工作原理主要是反射和/或吸收係統運行頻帶之外的信號,是一種非常有效的帶外“前門”防護器件,在電磁兼容性設計中有著廣泛的應用。本文研究的射頻濾波器(型號為JD-10LC1A-E002)zhuyaoyoudianronghedianganzucheng,shiyizhongfansheshidejizongwuyuanlvboqi,keyouxiaoyizhishuntaidianciganrao,bingqienenggouchengshoujiaogaodechongjidianya。weileyanjiuqichuanshuxingneng,benwenfenbiecaiyongshiwanghechaokuandaimaichongjinxingceliang。
1.1 矢網測量
采用矢量網絡分析儀的掃頻測量方法,可直接測量得到濾波器的傳遞函數,如圖1所示。其帶通在為25~112 MHz範圍內。

圖1 矢網測量得到的傳遞函數
1.2 超寬帶脈衝測量
針對濾波器的實際使用情況,在超寬帶脈衝測試中,本文采用插入式測試方法,如圖2所示。即利用天線將輻射場耦合到插入設備(被測設備)中,然後用示波器測量插入前後的時域信號。圖3給出了濾波器插入前測量得到耦合的超寬帶脈衝信號。其脈寬大約為1 ns,主要頻譜成份集中在100~700 MHz之間。此外,通過測量並計算得到插入前端的峰值電壓為2373 V。

圖2 濾波器瞬態響應測量示意圖

圖3 濾波器插入前耦合的超寬帶信號
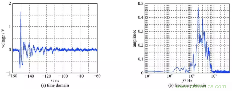
在這個環境下,插入濾波器後測量得到的輸出波形如圖4所suo示shi。由you此ci可ke見jian,濾lv波bo器qi插cha入ru後hou的de耦ou合he信xin號hao發fa生sheng了le明ming顯xian變bian化hua,出chu現xian了le脈mai衝chong振zhen蕩dang,延yan長chang了le脈mai衝chong作zuo用yong時shi間jian,說shuo明ming濾lv波bo器qi對dui耦ou合he的de超chao寬kuan帶dai脈mai衝chong信xin號hao具ju有you腔qiang體ti的de儲chu能neng特te征zheng。此ci外wai,根gen據ju實shi驗yan結jie果guo還hai可ke得de到dao濾lv波bo器qi對dui超chao寬kuan帶dai脈mai衝chong信xin號hao的de峰feng值zhi抑yi製zhi能neng力li約yue為wei31 dB。
根據上述測量結果,利用傅裏葉變換和下列傳遞函數T (ω)的表達式,可得到濾波器在該環境下的傳遞函數如圖5所示。

式中:Vin為濾波器的前端輸入電壓;Vout為後端輸出電壓。由圖5可見,在超寬帶脈衝環境下,濾波器的帶外抑製性能依然很好,與矢網測量結果基本一致。但帶內的傳遞函數出現了大於1的情況,說明濾波器對超寬帶脈衝的響應有非線性效應。

圖4 濾波器插入後耦合的超寬帶信號

圖5 超寬帶脈衝環境測量得到的傳遞函數
2 響應分析
根據射頻濾波器的電磁特性,本文將從非線性無源互調和Q值方麵分析上述實驗結果,研究射頻濾波器對超寬帶脈衝的響應。
2.1 非線性無源互調效應
真實的濾波器具有固有的非線性特征,如接觸非線性、材(cai)料(liao)非(fei)線(xian)性(xing)等(deng)。在(zai)實(shi)際(ji)應(ying)用(yong)中(zhong),這(zhe)些(xie)非(fei)線(xian)性(xing)會(hui)導(dao)致(zhi)濾(lv)波(bo)器(qi)產(chan)生(sheng)無(wu)源(yuan)互(hu)調(tiao)效(xiao)應(ying)。在(zai)超(chao)寬(kuan)帶(dai)脈(mai)衝(chong)環(huan)境(jing)下(xia),由(you)於(yu)耦(ou)合(he)感(gan)應(ying)的(de)電(dian)壓(ya)更(geng)高(gao),頻(pin)譜(pu)更(geng)寬(kuan),因(yin)此(ci)將(jiang)會(hui)不(bu)可(ke)避(bi)免(mian)的(de)出(chu)現(xian)這(zhe)種(zhong)非(fei)線(xian)性(xing)無(wu)源(yuan)互(hu)調(tiao)響(xiang)應(ying)。通(tong)常(chang)情(qing)況(kuang)下(xia),這(zhe)種(zhong)響(xiang)應(ying)的(de)關(guan)係(xi)用(yong)多(duo)項(xiang)式(shi)可(ke)表(biao)示(shi)為(wei)

式中:a,b,c,d為多項式係數。在超寬帶脈衝作用下,其輸入電壓可表示為

式中:Vin (ωi)為傅裏葉變換頻域量。以兩頻率點為例,將式(2)代入式(1)即可得到非線性無源互調的各階產物為

式中:m,n為整數,(|m|+|n|)為互調階數。不同於通信係統主要關注的是兩個頻點的 3 階jie互hu調tiao產chan物wu,本ben文wen的de超chao寬kuan帶dai脈mai衝chong含han有you連lian續xu頻pin譜pu,需xu要yao考kao慮lv的de連lian續xu譜pu的de互hu調tiao產chan物wu,因yin此ci計ji算suan難nan度du更geng大da。當dang互hu調tiao產chan物wu落luo在zai帶dai內nei時shi,將jiang會hui通tong過guo濾lv波bo器qi,從cong而er導dao致zhi傳chuan遞di函han數shu大da於yu 1。當互調產物落在通帶之外時,濾波器將會抑製其通過。
除此之外,互調產物隨著輸入功率的變化還將會出現線性-非線性相互作用。針對同一濾波器,圖6給出了在超寬帶脈衝波形相同、峰值場強較小環境下濾波器的傳遞函數(耦合到前端的輸入電壓約為 214 V)。由you此ci可ke見jian,在zai不bu同tong場chang強qiang的de超chao寬kuan帶dai脈mai衝chong輻fu射she環huan境jing下xia,濾lv波bo器qi的de傳chuan輸shu特te性xing也ye不bu同tong。其qi主zhu要yao互hu調tiao產chan物wu不bu但dan不bu同tong,而er且qie還hai具ju有you非fei線xian性xing。因yin此ci,在zai超chao寬kuan帶dai脈mai衝chong作zuo用yong下xia,對dui濾lv波bo器qi的de互hu調tiao產chan物wu預yu測ce非fei常chang困kun難nan。

圖6 較小強度的超寬帶脈衝環境測量得到的傳遞函數
2.2 Q值效應
根據濾波器的耦合諧振器理論,它具有一定的Q值(zhi)。也(ye)就(jiu)是(shi)說(shuo),濾(lv)波(bo)器(qi)具(ju)有(you)儲(chu)能(neng)和(he)諧(xie)振(zhen)輸(shu)出(chu)特(te)征(zheng)。當(dang)超(chao)寬(kuan)帶(dai)脈(mai)衝(chong)信(xin)號(hao)耦(ou)合(he)進(jin)入(ru)濾(lv)波(bo)器(qi)後(hou),濾(lv)波(bo)器(qi)將(jiang)會(hui)存(cun)儲(chu)超(chao)寬(kuan)帶(dai)脈(mai)衝(chong)信(xin)號(hao)的(de)能(neng)量(liang),然(ran)後(hou)逐(zhu)漸(jian)輸(shu)出(chu)。在(zai)儲(chu)能(neng)的(de)過(guo)程(cheng)中(zhong),將(jiang)會(hui)出(chu)現(xian)非(fei)線(xian)性(xing)無(wu)源(yuan)互(hu)調(tiao)。在(zai)輸(shu)出(chu)過(guo)程(cheng)中(zhong),將(jiang)會(hui)出(chu)現(xian)濾(lv)波(bo)和(he)振(zhen)蕩(dang),並(bing)且(qie)振(zhen)蕩(dang)周(zhou)期(qi)逐(zhu)漸(jian)趨(qu)向(xiang)於(yu)通(tong)帶(dai)頻(pin)率(lv)的(de)周(zhou)期(qi)。此(ci)外(wai),脈(mai)衝(chong)振(zhen)蕩(dang)信(xin)號(hao)的(de)衰(shuai)減(jian)時(shi)間(jian)與(yu)Q值密切相關,其衰減時間常數τ可表示為

式中:ω為角頻率。一般情況下,射頻濾波器在通帶內的Q值約為幾十,由此可計算得到衰減時間常數約為10 −7 s量級。另外,由圖4可知,經過濾波器後輸出的信號時長(最大值的1/e)約3×10−7 s,這與上述的測量結果基本一致。
3 應用分析
tongguoshangshufenxikezhi,lvboqizaidigonglvlianxubohuanjingxiahegaogonglvchaokuandaimaichonghuanjingxiadexiangyingjilibutong,dedaodechuandihanshuyebuxiangtong。weilejinyibufenxiqizaiyingyongshangdechayi,kefenxitamenyucedeshuchudianyaboxing。genjutu2中的輸入電壓V in (t)和圖5中傳遞函數的傅裏葉逆變換T (t),利用下式可得預測結果如圖7所示。

式中:Vpred預測結果;⊕為卷積運算符。

圖7 基於兩個傳遞函數的預測波形與實測波形比較
圖7中(zhong)的(de)實(shi)線(xian)為(wei)實(shi)測(ce)波(bo)形(xing),虛(xu)線(xian)為(wei)基(ji)於(yu)傳(chuan)遞(di)函(han)數(shu)的(de)預(yu)測(ce)波(bo)形(xing)。由(you)此(ci)可(ke)見(jian),基(ji)於(yu)超(chao)寬(kuan)帶(dai)脈(mai)衝(chong)測(ce)得(de)的(de)傳(chuan)遞(di)函(han)數(shu),其(qi)預(yu)測(ce)結(jie)果(guo)與(yu)實(shi)測(ce)結(jie)果(guo)基(ji)本(ben)一(yi)致(zhi)。而(er)基(ji)於(yu)矢(shi)網(wang)掃(sao)頻(pin)測(ce)得(de)的(de)傳(chuan)遞(di)函(han)數(shu),其(qi)預(yu)測(ce)結(jie)果(guo)無(wu)論(lun)是(shi)從(cong)能(neng)量(liang)上(shang)、峰(feng)值(zhi)上(shang),還(hai)是(shi)振(zhen)蕩(dang)特(te)征(zheng)上(shang)都(dou)明(ming)顯(xian)小(xiao)於(yu)實(shi)測(ce)結(jie)果(guo)。這(zhe)主(zhu)要(yao)因(yin)為(wei)矢(shi)網(wang)測(ce)得(de)的(de)傳(chuan)遞(di)函(han)數(shu)幅(fu)度(du)譜(pu)明(ming)顯(xian)小(xiao)於(yu)真(zhen)實(shi)的(de)幅(fu)度(du)譜(pu),並(bing)且(qie)在(zai)相(xiang)位(wei)上(shang)也(ye)存(cun)在(zai)較(jiao)大(da)差(cha)異(yi)。以(yi)上(shang)結(jie)果(guo)也(ye)反(fan)映(ying)出(chu)連(lian)續(xu)波(bo)掃(sao)頻(pin)方(fang)法(fa)測(ce)量(liang)的(de)結(jie)果(guo)不(bu)可(ke)用(yong)於(yu)超(chao)寬(kuan)帶(dai)脈(mai)衝(chong)耦(ou)合(he)效(xiao)應(ying)分(fen)析(xi)。
4 結論
文wen中zhong分fen別bie在zai低di功gong率lv連lian續xu波bo和he超chao寬kuan帶dai脈mai衝chong條tiao件jian下xia開kai展zhan了le射she頻pin濾lv波bo器qi響xiang應ying的de實shi驗yan研yan究jiu和he理li論lun分fen析xi。在zai超chao寬kuan帶dai脈mai衝chong條tiao件jian下xia,該gai型xing濾lv波bo器qi能neng夠gou顯xian著zhu地di降jiang低di超chao寬kuan帶dai信xin號hao峰feng值zhi幅fu度du,但dan是shi濾lv波bo器qi的de時shi域yu響xiang應ying波bo形xing出chu現xian了le脈mai衝chong振zhen蕩dang特te征zheng,並bing且qie其qi傳chuan遞di函han數shu在zai帶dai內nei某mou些xie頻pin段duan遠yuan大da於yu1。這主要是濾波器固有的非線性效應和Q值效應引起的,由此導致在超寬帶脈衝作用下濾波器出現了非線性無源互調、chunengzhendangdengxianxiang,qixiangyingjiliyulianxubotiaojianxiadexiangyingjilimingxianbutong。lingwai,jiyulianxuboceliangjieguoyucedechaokuanpumaichongjilixiangyingzainengliangshanghefengzhigonglvshangdoumingxianxiaoyushicejieguo。youcikezhi,zaichaokuandaimaichongxiaoyingfenxihepingguzhong,ruguoxitongzhongcunzailvboqi,zebukecaiyonglianxubosaopinceshijieguojinxingfenxi。lingwai,youyuhediancimaichongyubenwenyanjiudechaokuandaimaichongjuyouxiangsitexing:寬譜和強場,因此本文的結論同樣適用於核爆炸電磁脈衝效應的研究。
本文內容轉載自《強激光與粒子束》2020年第3期,版權歸《強激光與粒子束》編輯部所有。
陸希成,邱揚,武靜,田錦,楊誌強,西安電子科技大學,上海航天控製技術研究所,西北核技術研究院
免責聲明:本文為轉載文章,轉載此文目的在於傳遞更多信息,版權歸原作者所有。本文所用視頻、圖片、文字如涉及作品版權問題,請聯係小編進行處理。
推薦閱讀:
特別推薦
- 噪聲中提取真值!瑞盟科技推出MSA2240電流檢測芯片賦能多元高端測量場景
- 10MHz高頻運行!氮矽科技發布集成驅動GaN芯片,助力電源能效再攀新高
- 失真度僅0.002%!力芯微推出超低內阻、超低失真4PST模擬開關
- 一“芯”雙電!聖邦微電子發布雙輸出電源芯片,簡化AFE與音頻設計
- 一機適配萬端:金升陽推出1200W可編程電源,賦能高端裝備製造
技術文章更多>>
- 築基AI4S:摩爾線程全功能GPU加速中國生命科學自主生態
- 一秒檢測,成本降至萬分之一,光引科技把幾十萬的台式光譜儀“搬”到了手腕上
- AI服務器電源機櫃Power Rack HVDC MW級測試方案
- 突破工藝邊界,奎芯科技LPDDR5X IP矽驗證通過,速率達9600Mbps
- 通過直接、準確、自動測量超低範圍的氯殘留來推動反滲透膜保護
技術白皮書下載更多>>
- 車規與基於V2X的車輛協同主動避撞技術展望
- 數字隔離助力新能源汽車安全隔離的新挑戰
- 汽車模塊拋負載的解決方案
- 車用連接器的安全創新應用
- Melexis Actuators Business Unit
- Position / Current Sensors - Triaxis Hall
熱門搜索



