一種低成本差動音頻信號傳輸方案
發布時間:2021-06-03 責任編輯:wenwei
【導讀】集成了主機和屏幕的車載顯示麵板大多數放置在主控台的中央(圖1),顯xian示shi麵mian板ban的de位wei置zhi較jiao低di會hui對dui駕jia駛shi員yuan查zha看kan信xin息xi或huo者zhe導dao航hang地di圖tu造zao成cheng不bu便bian,進jin而er對dui行xing車che安an全quan造zao成cheng影ying響xiang。以yi後hou越yue來lai越yue多duo的de車che載zai顯xian示shi麵mian板ban會hui放fang置zhi在zai主zhu控kong台tai上shang方fang,甚shen至zhi略lve高gao於yu主zhu控kong台tai(圖2)。
針(zhen)對(dui)上(shang)述(shu)情(qing)況(kuang),有(you)些(xie)應(ying)用(yong)會(hui)將(jiang)音(yin)頻(pin)放(fang)大(da)器(qi)和(he)主(zhu)機(ji)分(fen)離(li),並(bing)且(qie)將(jiang)音(yin)頻(pin)放(fang)大(da)器(qi)放(fang)置(zhi)在(zai)較(jiao)低(di)的(de)位(wei)置(zhi),現(xian)有(you)的(de)低(di)成(cheng)本(ben)音(yin)頻(pin)放(fang)大(da)器(qi)采(cai)用(yong)模(mo)擬(ni)信(xin)號(hao)輸(shu)入(ru),因(yin)此(ci)主(zhu)機(ji)輸(shu)出(chu)的(de)模(mo)擬(ni)音(yin)頻(pin)信(xin)號(hao)需(xu)要(yao)經(jing)過(guo)一(yi)段(duan)較(jiao)長(chang)距(ju)離(li)的(de)傳(chuan)輸(shu)才(cai)能(neng)到(dao)達(da)音(yin)頻(pin)放(fang)大(da)器(qi)。

圖1車載顯示麵板位置較低情況 圖2 車載顯示麵板位置較高情況
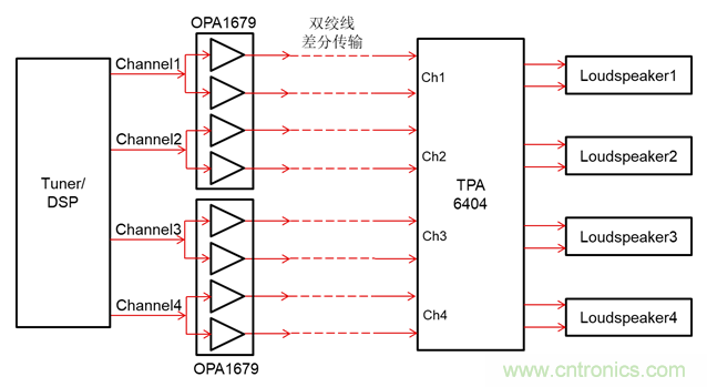
針對車載顯示麵板遠離音頻放大器的應用,我們設計了一種低成本的差動音頻信號傳輸方案,如下圖3所示。Tuner/DSP輸出四路模擬音頻信號,音頻信號經過兩片OPA1679後轉換成四對差分信號,經過雙絞線的差分傳輸後進入TPA6404,最終通過揚聲器實現音頻放大。

圖3 差動音頻信號傳輸方案
一方麵,上述方案利用OPA1679將音頻模擬信號轉換為差分信號進行傳輸,增強了音頻信號傳輸過程中的抗幹擾能力,而且,四通道OPA1679能夠實現更低的成本。另一方麵,因為TPA6404是差分模擬信號輸入,相比單端輸入的音頻放大器不需要差分轉單端器件,因此具有成本優勢。
使用OPA1678實現的單端轉差分信號的具體電路如下圖4所示,OPA1678和OPA1679的區別僅僅在於集成的運放數量不同,OPA1678集成了兩個音頻運算放大器,而OPA1679集成了四個音頻運算放大器。OPA1679的共模電壓VCM的範圍是(Vss+0.5V)~(Vdd-2V),本設計使用5V單電源供電,因此其輸入電壓範圍是0.5V~3V,為了最大化輸入電壓範圍,共模電壓設置為1.75V,R2和R3能夠為U1和U2運放提供共模電壓偏置,偏置電壓計算如下:

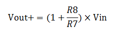
本設計中VDD等於5V電源電壓。U1和外圍電路形成了同向放大電路,正向輸出電壓為

U2和外圍電路形成了反向放大電路,反向輸出電壓為

OPA1679的輸出電壓範圍是0.8V~4.2V,需要保證經放大後的輸出電壓信號在此範圍內。

圖 4 使用OPA1678實現的單端轉差分信號電路
通過令R7開路, R8等於0Ω,並且R4=R5=47KΩ,電路的放大倍數被設置為1,Vout+ =Vin,Vout- =(-Vin)。實際的電路仿真結果如下圖5所示,輸入信號Vin=2Vpp。圖中,Vout+為正相輸出信號,Vout-為反相輸出信號,從圖中可以看出,上述方案能夠實現既定的單端轉差分信號功能,並且單端輸出信號幅度能夠達到2Vpp。

圖 5 放大倍數為1時,單端轉差分電路測試結果
免責聲明:本文為轉載文章,轉載此文目的在於傳遞更多信息,版權歸原作者所有。本文所用視頻、圖片、文字如涉及作品版權問題,請聯係小編進行處理。
推薦閱讀:
特別推薦
- 噪聲中提取真值!瑞盟科技推出MSA2240電流檢測芯片賦能多元高端測量場景
- 10MHz高頻運行!氮矽科技發布集成驅動GaN芯片,助力電源能效再攀新高
- 失真度僅0.002%!力芯微推出超低內阻、超低失真4PST模擬開關
- 一“芯”雙電!聖邦微電子發布雙輸出電源芯片,簡化AFE與音頻設計
- 一機適配萬端:金升陽推出1200W可編程電源,賦能高端裝備製造
技術文章更多>>
- 築基AI4S:摩爾線程全功能GPU加速中國生命科學自主生態
- 一秒檢測,成本降至萬分之一,光引科技把幾十萬的台式光譜儀“搬”到了手腕上
- AI服務器電源機櫃Power Rack HVDC MW級測試方案
- 突破工藝邊界,奎芯科技LPDDR5X IP矽驗證通過,速率達9600Mbps
- 通過直接、準確、自動測量超低範圍的氯殘留來推動反滲透膜保護
技術白皮書下載更多>>
- 車規與基於V2X的車輛協同主動避撞技術展望
- 數字隔離助力新能源汽車安全隔離的新挑戰
- 汽車模塊拋負載的解決方案
- 車用連接器的安全創新應用
- Melexis Actuators Business Unit
- Position / Current Sensors - Triaxis Hall
熱門搜索
微波功率管
微波開關
微波連接器
微波器件
微波三極管
微波振蕩器
微電機
微調電容
微動開關
微蜂窩
位置傳感器
溫度保險絲
溫度傳感器
溫控開關
溫控可控矽
聞泰
穩壓電源
穩壓二極管
穩壓管
無焊端子
無線充電
無線監控
無源濾波器
五金工具
物聯網
顯示模塊
顯微鏡結構
線圈
線繞電位器
線繞電阻



