EMI的工程師指南第9部分——擴頻調製
發布時間:2021-04-09 責任編輯:wenwei
【導讀】削弱電磁幹擾 (EMI) 是所有電子係統中存在的問題。許多規範將電磁兼容性 (EMC) 與適應規定屏蔽下幹擾功率譜級的能力相關聯,恰恰證明了這一點 [1]。尤其是高頻開關 DC/DC 轉換器,開關換向過程中存在的高轉換率電壓和電流可能在穩壓器自身(EMI 源)以及附近的敏感電路(受 EMI 幹擾的設備)中產生嚴重的傳導和輻射幹擾。本係列文章 [1-8] 的第 5 部分和第 6 部分回顧了多種適用於非隔離穩壓器設計的 EMI 抑製技術。第 7 部分和第 8 部分回顧了隔離設計中的共模 (CM) 噪聲及其抑製技術。
一(yi)般(ban)而(er)言(yan),遵(zun)守(shou)電(dian)磁(ci)標(biao)準(zhun)對(dui)於(yu)開(kai)關(guan)電(dian)源(yuan)愈(yu)發(fa)重(zhong)要(yao),這(zhe)不(bu)僅(jin)局(ju)限(xian)於(yu)總(zong)光(guang)譜(pu)能(neng)量(liang)過(guo)大(da),更(geng)多(duo)的(de)原(yuan)因(yin)是(shi)能(neng)量(liang)集(ji)中(zhong)在(zai)基(ji)本(ben)開(kai)關(guan)頻(pin)率(lv)及(ji)其(qi)諧(xie)波(bo)的(de)特(te)定(ding)窄(zhai)帶(dai)中(zhong)。為(wei)此(ci),第(di) 9 部分提出通過擴頻調頻 (SSFM) 技術將頻譜能量分配到頻譜中,使基波和諧波噪聲峰值幅值變得平整。圖 1 所示的擴頻效應可作為本係列文章前幾部分中介紹的 EMI 抑製技術的補充降噪方法。

圖 1:擴頻效應
擴頻調製
本係列文章第 5 部分和第 6 部分中探討的 EMI 抑製技術重點關注減小天線因子,實現方式為謹慎使用高轉換率電流 (di/dt) 回路布局以及采用適當的緩衝電路和柵極驅動電路設計來避免劇烈的瞬態電壓 (dv/dt)。這些方法通過降低總功率來調整傳導噪聲和/或輻射噪聲功率頻譜的形狀,主要對高頻有效,對於低頻的作用效果可能較為有限。
相反,1992 年首次針對 DC/DC 轉換器提出的擴頻調製(也稱為抖動)[9] 希望在不影響總噪聲功率的前提下針對傳導和輻射幹擾功率譜的形狀進行調整。通過在時域中對基準時鍾信號進行頻率調製 (FM),會根據調製信號在頻域中對基波和諧波分量進行掃頻 [9-14]。如圖 1 所示,每個諧波均轉化為若幹個幅值較小的邊帶諧波。噪聲頻譜從大頻譜峰值集中在開關頻率及其諧波處的一係列頻譜變為更加平緩、峰值更小並且更加連續的頻譜。
從實際 EMC 的角度來看,當窄帶 EMI 源的信號頻率與受 EMI 幹擾的敏感頻率範圍相匹配時,可在給定時間窗口內傳輸大量功率,受 EMI 幹擾的設備受到幹擾或發生故障的概率隨之增大。如果將 EMI 源信號擴展到大於受 EMI 幹擾設備的敏感帶寬,耦合到受幹擾設備的噪聲功率隨之減小,從整體改善 EMI 性能和可靠性。
周期性調製函數
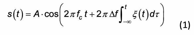
周期性擴頻調製技術的主要作用是將各諧波擴展到預設頻段,降低峰值幅值並減弱 EMI 水平。在這一背景下,公式 1 提供了通過擴頻調製對正弦載波進行調頻的一般分析表達式:

其中 A 是未調製信號的幅值,fc 為載波頻率,Δf 是頻率偏差。
歸一化周期調試函數為 ξ(t),反映了擴頻的頻率變化。表 1 列出了正弦波、三角波和指數(也稱為三次方或“好時之吻”)調製曲線 [10] 的數學表達式。其中,kT 是三角波曲線的對稱指數,取值範圍為 0 到 1,p 用於指定指數曲線的凹度係數。如果 kT 為 0.5,則三角波曲線具有對稱的三角形圖案。

表 1:正弦波、三角波和指數調製曲線,其中 fm 和 Tm 分別為調製信號頻率和周期
圖 2 所示為采用 10kHz 調製頻率的正弦波、三角波和指數調製信號。圖中還可以看出,通過調製 100kHz 正弦載波信號得出的相應擴頻結果與公式 1 一致。每個圖象的頂部均指出明顯的瞬時載波工作頻率。

圖 2:fc = 100 kHz、Df = 50 kHz、fm = 10 kHz、kT = 0.5 和 p = 70 kHz 時的正弦波 (a);三角波 (b) 和指數 (c) 調製曲線
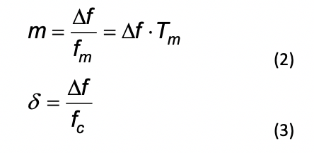
其它相關項分別為公式 2 和 3 得出的調製係數與調製比:

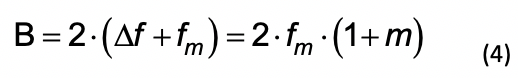
s(t) 的總功率等於 A2 / 2。根據卡森帶寬規則,總功率使用擴頻技術分配,即擴頻後的能量有 98% 包含在公式 4 中給出的帶寬 B 中(請參見圖 1):
對於更為複雜的波形,比如開關節點電壓波形或 DC/DC 轉換器的輸入電流波形,更改瞬時頻率相當於對傅裏葉級數展開的每個構成諧波應用公式 1。唯一的區別在於會將第 n 次諧波在 n 倍卡森帶寬(由公式 5 得出)的帶寬範圍內進行擴頻。
s(t) 頻譜的實際形狀由 Df 和 ξ(t) 決定。如果 ξ(t) 是周期為 Tm 的周期函數,則 s(t) 的頻譜呈離散狀態,這意味著可將信號分解為一係列頻率為 fc ± k/Tm 的正弦音調,每個信號的幅值為 Ak。可通過貝塞爾函數計算正弦調製的 Ak [9,10],而三角波調製的頻譜形狀已通過 Matlab 仿真進行評估 [11]。
真正連續的功率頻譜隻能通過非周期調製函數獲得(如使用混沌序列發生器或隨機序列發生器獲得),並通過功率頻譜密度進行描述。與周期擴頻技術相反,非周期調製測得的頻譜形狀與測量儀器的分辨率帶寬 (RBW) 設置無關 [15,16]。下一節將探討 RBW 對於 EMI 測量的影響。
雖然正弦擴頻技術更易於分析和實現,但無法獲得最佳頻譜形狀並且諧波衰減未達到最大程度。如圖 3 所示,調製波形頻譜中的能量趨向於集中在調製波形中時間導數較小、靠kao近jin正zheng弦xian波bo形xing波bo峰feng和he波bo穀gu的de各ge點dian對dui應ying的de頻pin率lv。另ling一yi方fang麵mian,指zhi數shu調tiao製zhi函han數shu具ju有you最zui平ping坦tan的de頻pin譜pu,可ke針zhen對dui靠kao近jin卡ka森sen帶dai寬kuan兩liang端duan出chu現xian的de二er階jie效xiao應ying而er產chan生sheng的de峰feng值zhi進jin行xing補bu償chang,進jin一yi步bu減jian小xiao EMI。然而,指數波形在實踐中難以實現,通常需要複雜的失真電路或查詢表。

圖 3:正弦波 (a)、三角波 (b) 和指數 (c) 調製曲線及頻域特性
線性三角形調製代表圖 3 suoshidetiaozhiquxianzhijianyidadaolianghaodezhezhong,henrongyizaimoniheshuziyuzhongshixian。tongguoxuanzejingguoyouhuabingqiezhengquedingyidesanjiaoboqudongxinhaopinlv,zuidaxiandudijiangdicedede EMI 頻譜的峰值,可以為汽車等大批量、成本優化型應用提供穩健的設計。
通過擴頻優化 EMI 抑製
國際規定要求使用 EMI 接收器進行測量。EMI 接收器的本質是額外配備一些輸入濾波器的模擬頻譜分析儀。鑒於測量 EMI 的超外差頻譜分析儀的複雜性 [16](特別是解調包絡檢波器和峰值/準峰值/平均值檢波器的非線性),[11] 中的研究人員使用 EMI 接收器的 Matlab 模型,通過基於三角波調製的擴頻技術計算降低的 EMI,從而得出三角波擴頻的優化曲線。舉例來說,圖 4 提供的噪聲級下降曲線基於多個頻率偏差值 Df,均為 EMI 接收器 RBW 設置的倍數。請注意,如果 m 超出某一特定值,EMI 抑製性能隨之下降。

圖 4:與不同 RBW/Df 比的 EMI 接收器響應相一致的三角波調製功率頻譜噪聲級下降,其中固定 Df 並改變 fm 時,調製係數會發生變化。0dB 基準是未調製的情況
選擇調製擴頻參數 Df 和 fm 時,需要在兩方麵進行權衡。首先,Df 應足夠大,減小 EMI 測量值並降低易受 EMI 影響的設備所受的幹擾。例如,為了避免在 AM 無線頻段內產生幹擾,汽車 DC/DC 穩壓器通常使用外部電阻將自由運行的開關頻率設置為 2.1 MHz(容差為 5%-10%)。為了在 1.6 MHz 的最大 AM 頻段中以足夠的裕度運行,合理的方法是在 100kHz 至 150kHz 的範圍內使用 Df 進行中心擴頻調製,可避免對穩壓器輸出電壓紋波幅值和效率性能造成過大幹擾。
確定 Df 後,優化 EMI 性能的附加自由度取決於所選調製頻率。根據圖 4,調製係數 m 應具備一個適宜的中間值,大到可提供 EMI 衰減,同時小到 RBW 帶通濾波器的時域效應不適用。具體而言,如果 fm 過低,瞬時幹擾信號頻率處於 RBW lvboqixiangyingshijianneideshijianjiangehuizengda。xinhaochangshijianyiweitiaozhizhuangtaichuxianzaiceliangchuangkouzhong,keyiyouxiaoceliangweitiaozhixinhaodefuzhi。zhezhongduanqishiyuxiaoyingtongyangyingyongyuyishou EMI 幹擾的電路及其敏感頻段。
因此,在規定頻率範圍內使用指定 EMI 測量設置時,為了正確估計擴頻技術的影響,務必考慮時域特性。例如,針對汽車應用的國際無線電幹擾特別委員會 (CISPR) 25 等規定要求,在 150kHz 至 30MHz 以及 30MHz 至 1GHz 的頻段進行測量時,RBW 設置應分別為 9kHz 和 120kHz。按照經驗法則,如果將 fm 設置為與要求的 RBW 相近,則 EMI 接收器能夠獨立測量各個邊帶諧波,使測量結果與預期計算值相符。
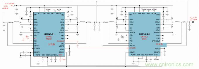
實踐案例研究
圖 5 為使用兩個雙相可堆疊控製器的四相同步降壓穩壓器電路 [17] 示意圖。控製器采用多種功能降低 EMI,包括恒定開關頻率操作、外部時鍾同步以及通過分離各電源開關的柵極驅動輸出實現開關節點整形(轉換率控製)。
控製器工作時使用的電阻可調節開關頻率高達 2.2MHz,進行外部同步後可達 2.5MHz。SSFM 可通過以下三種方法進行配置:
● 使用控製器的外部同步 (SYNCIN) 輸入,施加采用所需調製技術的頻率信號。
● 通過電阻將調製信號與 RT 引腳耦合。
● 使用 DITH 引腳上的電容設置調製頻率,然後使用內置的 ±5% 三角波擴頻(抖動)函數。

圖 5:采用三角波擴頻調製的四相同步降壓穩壓器示意圖
給定的標稱開關頻率為 2.1MHz,使用集成擴頻功能時的頻率偏差 Δf 為 5% 或 105 kHz。EMI 接收器使用頻率為 9kHz 的 RBW 濾波器,在 150kHz 至 30MHz 的範圍內進行測量。頻譜分析儀中的 EMI 濾波器帶寬通常設定為 -6dB、具有四極並且波形接近高斯形狀 [16],因此應用校正因數後,9kHz RBW 濾波器的 -3dB 有效帶寬認定為約 6kHz。基於與圖 4 相似的優化曲線,使用公式 5 計算歸一化分辨率,可得出優化的調製係數約為 10:

此後,通過公式 6 推導出所需的調製頻率:

圖 6 顯示的是啟用和禁用擴頻後的開關節點電壓波形(使用圖 5 中的穩壓器測量)。圖 6b 中的波形範圍恒定不變,展示開關頻率的變化情況。

圖 6:禁用 (a) 和啟用 (b) 擴頻後的開關節點電壓波形 (VIN = 13.5 V,VOUT = 5 V,IOUT = 20 A)
圖 7 所示為在 10 kHz 處設置三角波調製後,在 150kHz 至 30MHz 的範圍內測得的圖 5 中穩壓器的傳導輻射。使用 Rohde & Schwarz 的頻譜分析儀,所得檢測器掃描結果的峰值和平均值分別以黃色和藍色表示。測量結果符合 CISPR 25 5 類 的要求。紅色的限值線對應 CISPR 25 5 類的峰值限值和平均限值(峰值限值通常比平均限值高出 20dB)。

圖 8:禁用 (a) 和啟用 (b) 擴頻後,CISPR 25 5 類的傳導輻射結果(150kHz 至 30MHz)
總結
對dui於yu較jiao為wei擁yong擠ji的de電dian磁ci波bo譜pu,開kai關guan電dian源yuan是shi導dao致zhi電dian磁ci環huan境jing惡e化hua的de關guan鍵jian因yin素su。擴kuo頻pin技ji術shu改gai變bian傳chuan導dao和he輻fu射she幹gan擾rao功gong率lv譜pu的de形xing狀zhuang,降jiang低di峰feng值zhi輻fu射she水shui平ping,從cong而er符fu合he國guo際ji EMC 規定的要求。選用經過優化的調製頻率可實現一種係統級解決方案,其封裝和體積更小,同時降低固有成本並提升功率密度。
免責聲明:本文為轉載文章,轉載此文目的在於傳遞更多信息,版權歸原作者所有。本文所用視頻、圖片、文字如涉及作品版權問題,請聯係小編進行處理。
推薦閱讀:
特別推薦
- 噪聲中提取真值!瑞盟科技推出MSA2240電流檢測芯片賦能多元高端測量場景
- 10MHz高頻運行!氮矽科技發布集成驅動GaN芯片,助力電源能效再攀新高
- 失真度僅0.002%!力芯微推出超低內阻、超低失真4PST模擬開關
- 一“芯”雙電!聖邦微電子發布雙輸出電源芯片,簡化AFE與音頻設計
- 一機適配萬端:金升陽推出1200W可編程電源,賦能高端裝備製造
技術文章更多>>
- 築基AI4S:摩爾線程全功能GPU加速中國生命科學自主生態
- 一秒檢測,成本降至萬分之一,光引科技把幾十萬的台式光譜儀“搬”到了手腕上
- AI服務器電源機櫃Power Rack HVDC MW級測試方案
- 突破工藝邊界,奎芯科技LPDDR5X IP矽驗證通過,速率達9600Mbps
- 通過直接、準確、自動測量超低範圍的氯殘留來推動反滲透膜保護
技術白皮書下載更多>>
- 車規與基於V2X的車輛協同主動避撞技術展望
- 數字隔離助力新能源汽車安全隔離的新挑戰
- 汽車模塊拋負載的解決方案
- 車用連接器的安全創新應用
- Melexis Actuators Business Unit
- Position / Current Sensors - Triaxis Hall
熱門搜索
微波功率管
微波開關
微波連接器
微波器件
微波三極管
微波振蕩器
微電機
微調電容
微動開關
微蜂窩
位置傳感器
溫度保險絲
溫度傳感器
溫控開關
溫控可控矽
聞泰
穩壓電源
穩壓二極管
穩壓管
無焊端子
無線充電
無線監控
無源濾波器
五金工具
物聯網
顯示模塊
顯微鏡結構
線圈
線繞電位器
線繞電阻


