ADC采樣積分方式的BLDC方波無感控製的原理
發布時間:2020-12-03 來源:Hardy Zhou 責任編輯:wenwei
【導讀】本文主要參考了TIDA-010031參考設計,分析下ADC采樣積分方波無感控製的原理,方便大家更好地完成類似的方案設計。下麵是典型的三相BLDC電機控製框圖:
1.下麵是典型的三相BLDC電機控製框圖.
三個半橋驅動BLDC無刷電機,檢測低邊總線電流

2.典型的BLDC電機相電流和反電動勢波形圖分析
從波形上看,每60度電角度,隻有兩個半橋有驅動電壓輸出,另外一個半橋上下管全關,這個相電壓是懸浮態。
BLDC電機運行後,相線都有反電動勢。
電機反電動勢來源於電機轉子旋轉引起磁通的變化,而磁通的變化在定子繞組上會產生感應電壓。
對同一個電機來說,反電動勢峰值跟電機轉速幾乎是固定的比例。

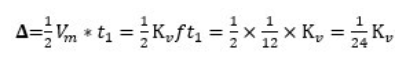
3.反電動勢過零點到峰值的反電動勢電壓和時間的積分

根據上麵對反電動勢峰值跟轉速(電頻率)幾乎成固定比例的描述,設定
。Vm為反電動勢峰值, 對於同一個電機,我們可以認為Kv幾乎不變。
以上圖左邊的藍色區域為例,該區域(反電動勢過零點時刻到下一次換相點時刻之間的區域)的電角度是30度,也就是電角度(360度)的1/12。
設當前電機電頻率為f, 單位為Hz。
反電動勢的峰值電壓為
,單位為伏特。
設反電動勢從center tap value到最大值的時間為t1, 而
。
那麼藍色積分區域的積分值就等於藍色三角形的麵積:

可以看到,積分結果是Kv值的
,因此積分結果也是幾乎不變的。
所以我們可以根據積分的值跟固定閾值
作比較來判斷換相點。
4.ADC如何采樣反電動勢
方波無感BLDC的ADC采樣積分控製,電路設計有三相相電壓ADC采樣電路,每60dudianjiaoduqujiandianjideliangxiangyouyubanqiaoyoushurudianyatongshiyoudiangandianliu,zaibuzengjiaewaidianludeqingkuangxiahennanhuodefandiandongshidianya,erxuanfuxiangyouyumeiyoubanqiaodianyashuruhediangandianliu,suoyikeyicongjiancegaixiangduandianyatuidaochugaixiangshijidefandiandongshidianya,具體可以看下麵的推導,推導過程參考了TI的參考設計TIDA-010031 http://www.ti.com/lit/ug/tiduej4/tiduej4.pdf?ts=1588819919326
所以如果對這個電機控製方法感興趣的,可以在TI官網上查看該參考設計的軟硬件開發資料。
設計上采用下管常開,上管打PWM的策略驅動電機。考慮到電機驅動的PWM duty的大小是變化的,可以根據半橋上管ON的時間長短來決定采樣策略,因為如果上管導通時間太短,為了避開MOSFET開通關斷的影響,留給采樣的時間就變得很少,不利於采樣的準確性.
● 在上管ON的時間比較長時,在上管ON時遠離MOSFET開關時刻檢測懸浮相的反電動勢電壓(一般在ON時間的正中間進行采樣)。

此時的驅動邏輯是A相上管導通,B相下管導通, 所以有
。
Ea, Eb, Ec為電機三相反電動勢電壓,va, vb, vc為三相半橋中點電壓,也就是電機三相輸入電壓。
La, Lb, Lc為電機三相相電感,ia, ib,ic為電機三相輸入電流,Ra, Rb, Rc為電機三相輸入電阻(考慮三相電阻相等), vn為電機三相中點電壓。

可以得到當Ec=0,也就是反電動勢過零時,
, 也就是說當ADC檢測到
時,就意味著這個時刻是C相的反電動勢過零點, 那麼理論上再經過1/12 的電周期時間,電機就需要進行換向.
● 上管ON的時間比較短時,在上管OFF時檢測懸浮相的反電動勢電壓(一般在OFF時間的正中間進行采樣)

此時的驅動邏輯是A相上管關閉,B相下管仍導通,此時A相下管MOSFET體二極管續流,所以有
。

得到當Ec=0,也就是反電動勢過零時,vc=0, 也就是說當ADC檢測到vc=0時,就意味著這個時刻是C相的反電動勢過零點, 那麼理論上再經過1/12的電周期時間,電機就需要進行換向.
從上麵的分析,我們可以看到,使用ADC采樣積分方式進行無感BLDC控製,設計上需要注意以下兩點
1. 積分閾值跟電機的反電動勢峰值和轉速比值相關,可能會隨著電機不同而不同,需要針對電機進行調整。
2. 上管做PWM驅動的設計下, 可以采用不同的ADC采樣策略來針對大duty和小duty的情況,同時反電動勢過零點的判斷也需要調整
3. 電機高速情況下,電頻率相對比較高,而ADC積分采樣基於PWM開(kai)關(guan)周(zhou)期(qi)采(cai)樣(yang)的(de),所(suo)以(yi)要(yao)獲(huo)得(de)比(bi)較(jiao)準(zhun)確(que)的(de)換(huan)相(xiang)點(dian),需(xu)要(yao)比(bi)較(jiao)高(gao)的(de)開(kai)關(guan)頻(pin)率(lv),如(ru)果(guo)開(kai)關(guan)頻(pin)率(lv)比(bi)較(jiao)低(di),意(yi)味(wei)著(zhe)采(cai)樣(yang)速(su)率(lv)慢(man),可(ke)能(neng)會(hui)造(zao)成(cheng)換(huan)相(xiang)延(yan)遲(chi)比(bi)較(jiao)大(da),從(cong)而(er)影(ying)響(xiang)電(dian)機(ji)的(de)正(zheng)常(chang)控(kong)製(zhi)。
推薦閱讀:
特別推薦
- 噪聲中提取真值!瑞盟科技推出MSA2240電流檢測芯片賦能多元高端測量場景
- 10MHz高頻運行!氮矽科技發布集成驅動GaN芯片,助力電源能效再攀新高
- 失真度僅0.002%!力芯微推出超低內阻、超低失真4PST模擬開關
- 一“芯”雙電!聖邦微電子發布雙輸出電源芯片,簡化AFE與音頻設計
- 一機適配萬端:金升陽推出1200W可編程電源,賦能高端裝備製造
技術文章更多>>
- 貿澤EIT係列新一期,探索AI如何重塑日常科技與用戶體驗
- 算力爆發遇上電源革新,大聯大世平集團攜手晶豐明源線上研討會解鎖應用落地
- 創新不止,創芯不已:第六屆ICDIA創芯展8月南京盛大啟幕!
- AI時代,為什麼存儲基礎設施的可靠性決定數據中心的經濟效益
- 築基AI4S:摩爾線程全功能GPU加速中國生命科學自主生態
技術白皮書下載更多>>
- 車規與基於V2X的車輛協同主動避撞技術展望
- 數字隔離助力新能源汽車安全隔離的新挑戰
- 汽車模塊拋負載的解決方案
- 車用連接器的安全創新應用
- Melexis Actuators Business Unit
- Position / Current Sensors - Triaxis Hall
熱門搜索




