帶故障注入功能的高精度旋轉變壓器仿真係統
發布時間:2019-11-28 來源:Nandin Xu 責任編輯:wenwei
【導讀】由於旋轉變壓器能夠在嚴苛和惡劣的環境中長期保持出色的可靠性和高精度性能,因此被廣泛用在EV、HEV、EPS、變頻器、伺服、鐵路、高鐵、航空航天,以及其他需要獲取位置和速度信息的應用。
在上麵的係統中,很多旋轉變壓器轉換芯片(RDC),例如ADI 公司的 AD2S1210 和 AD2S1205用(yong)來(lai)獲(huo)取(qu)數(shu)字(zi)位(wei)置(zhi)和(he)速(su)度(du)數(shu)據(ju)。客(ke)戶(hu)的(de)係(xi)統(tong)會(hui)出(chu)現(xian)幹(gan)擾(rao)和(he)故(gu)障(zhang)問(wen)題(ti),很(hen)多(duo)時(shi)候(hou),他(ta)們(men)都(dou)想(xiang)評(ping)估(gu)角(jiao)度(du)和(he)速(su)度(du)在(zai)受(shou)幹(gan)擾(rao)條(tiao)件(jian)下(xia)的(de)精(jing)度(du)性(xing)能(neng),找(zhao)出(chu)和(he)驗(yan)證(zheng)引(yin)發(fa)問(wen)題(ti)的(de)根(gen)本(ben)原(yuan)因(yin),然(ran)後(hou)修(xiu)複(fu)和(he)優(you)化(hua)係(xi)統(tong)。帶(dai)故(gu)障(zhang)注(zhu)入(ru)功(gong)能(neng)的(de)高(gao)精(jing)度(du)旋(xuan)轉(zhuan)變(bian)壓(ya)器(qi)仿(fang)真(zhen)係(xi)統(tong)(模擬連接到以恒速運行或位置固定的真實電機的旋轉變壓器)可以解決幹擾和故障問題,而無需搭建複雜的電機控製係統。
benwenjiangshouxianfenxixuanzhuanbianyaqifangzhenxitongzhongdewuchagongxian,binggeichuyixiewuchajisuanshili,bangzhuninlejieweihegaojingduduiyuxuanzhuanbianyaqifangzhenqirucizhongyao。ranhouzhanshixianchangyingyongganraotiaojianxiadeguzhangshili。jiexialai,jieshaoruheshiyongzuixindegaojingduchanpin,goujianjuyouguzhangfangzhenhezhurugongnengdegaojingduxuanzhuanbianyaqifangzhenqi。zuihou,jiangzhanshixuanzhuanbianyaqifangzhenqinengshixiandegongneng。
旋轉變壓器仿真係統中的誤差貢獻
首shou先xian,本ben節jie將jiang介jie紹shao理li想xiang的de旋xuan轉zhuan變bian壓ya器qi結jie構gou。然ran後hou,將jiang給gei出chu五wu個ge常chang見jian的de非fei理li想xiang特te性xing和he誤wu差cha分fen析xi方fang法fa,幫bang助zhu您nin理li解jie為wei什shen麼me旋xuan轉zhuan變bian壓ya器qi仿fang真zhen器qi係xi統tong需xu要yao高gao精jing度du。

圖1. 旋轉變壓器結構。
如圖1所(suo)示(shi),旋(xuan)轉(zhuan)變(bian)壓(ya)器(qi)仿(fang)真(zhen)器(qi)將(jiang)模(mo)擬(ni)連(lian)接(jie)到(dao)以(yi)恒(heng)速(su)運(yun)行(xing)或(huo)位(wei)置(zhi)固(gu)定(ding)的(de)真(zhen)實(shi)電(dian)機(ji)的(de)旋(xuan)轉(zhuan)變(bian)壓(ya)器(qi)。經(jing)典(dian)款(kuan)或(huo)可(ke)變(bian)磁(ci)阻(zu)旋(xuan)轉(zhuan)變(bian)壓(ya)器(qi)包(bao)含(han)轉(zhuan)子(zi)和(he)定(ding)子(zi)。可(ke)以(yi)將(jiang)旋(xuan)轉(zhuan)變(bian)壓(ya)器(qi)視(shi)為(wei)一(yi)種(zhong)特(te)殊(shu)的(de)變(bian)壓(ya)器(qi)。在(zai)初(chu)級(ji)側(ce),如(ru)方(fang)程(cheng)式(shi)1所示,EXC表示正弦激勵輸入信號。在次級側,如方程式2和方程式3所示,SIN和COS表示兩個輸出端的調製的正餘弦信號。

其中:
θ 是軸角, ω 是激勵信號頻率, A0 是激勵信號幅度, T 是旋轉變壓器變比。
調製的SIN/COS信號如圖2所示。對於不同象限中的恒定角θ,SIN/COS信號會出現同相和反相情況。對於恒速,SIN/COS包絡的頻率是恒定的,指示速度信息。

圖2. 旋轉變壓器電氣信號。
對於ADI的所有RDC產品,解調信號如方程式4表示。當φ (輸出數字角度)等於旋轉變壓器的角度θ (轉子的位置)時,Type II 跟蹤環路完成。在真實旋轉變壓器係統中,幅度失配、相移、不完全正交、諧波激勵和感應諧波這五種非理想情況都有可能發生,導致出現誤差。
幅度失配
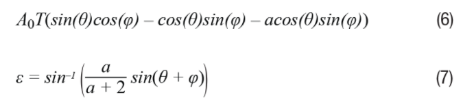
幅度失配是SIN和COS信號達到峰值幅度(COS為0°和180°,SIN為90°和270°)時,它們的峰峰值幅度之差。旋轉變壓器繞組的差異或者SIN/COS信號的不平衡增益控製都可能導致失配。為了確定幅度失配引起的位置誤差,可以將方程式3更改為方程式5。
其中 a 表示SIN和COS信號之間的失配量,解調之後餘下的包絡信 號則可以如方程式6所示輕鬆顯示。通過將方程式6設置為等於0來促使Type II跟蹤環路中的包絡信號歸0時,可以發現位置誤差ε = θ – φ。然後我們可以得到誤差信息,如方程式7所示。

在真實情況中,如果a很小,位置誤差也很小,意味著 sin(ε) ≈ ε and θ + φ ≈ 2θ。所以,方程式7變成方程式8,誤差項用弧度表示。
如方程式8所示,誤差項按兩倍轉動速度起伏,最大誤差 a/2 在 45°的奇整數倍時達到。假設幅度失配為0.3%,代入方程式8中的變量,並使用45°的奇整數倍,最大誤差將在方程式9中表示,其中 m 是一個奇整數。
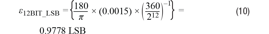
當RDC模式為12位時,可以通過方程式10將按弧度計算的誤差轉化為LSB,約為1LSB。

相移
相移包含差模相移和共模相移。差模相移是旋轉變壓器的SIN和COS信號之間的相移。共模相移是激勵參考信號與SIN和COS信號之間的相移。為了確定差模相移引起的位置誤差,可以將方程式3更改為方程式11。
其中 a 表示差模相移,當正交項cos(wt)(sin(a)sin(θ)cos(φ)) 被忽略 時,解調之後餘下的包絡信號可以使用方程式12表示。在真實 情況下,當a 很小時, cos(a) ≈ 1 – a2/2。通過將方程式10設置為等於0來促使Type II跟蹤環路中的包絡信號歸0時,可以發現由此導致的位置誤差ε = θ – φ。然後我們可以獲得誤差信息,如方程式13所示。

θ ≈ φ時, 在θ ≈ 45°時,sin(θ)cos(φ)的最大值為0.5。所以,方程式13變成方程式14,誤差項用弧度表示。
假設差模相移為4.44°,當RDC模式為12位時,可以使用方程式15轉化為LSB的誤差值約為1 LSB。

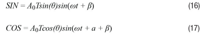
當共模相移為 β,可以將方程式2和3分別改寫為方程式16和17。

同樣,誤差項可以用方程式18表示。
zaijingtaigongzuotiaojianxia,gongmoxiangyibuhuiyingxiangzhuanhuanqidejingdu,danyouyuzhuanzizukanghemubiaoxinhaodewugongfenliang,yundongzhongdexuanzhuanbianyaqihuichanshengsududianya。sududianyaweiyumubiaoxinhaoxiangxiannei,tajinzaiyundongshichansheng,zaijingtaijiaoduxiabingbucunzai。danggongmoxiangyiwei β時,跟蹤誤差幾乎可以用方程式19表示,其中 ωM是電機速度, ωE是激勵速度。
如方程式19所示,誤差與旋轉變壓器的速度和相移成正比。因此,一般而言,使用高旋轉變壓器激勵頻率大有裨益。
不完全正交
不完全正交表示在這種情況下SIN/COS所指的兩個旋轉變壓器信號並不是準確的90°正交。當兩個旋轉變壓器相位並不是以完全空間正交的方式加工或裝配時,就會發生這種情況。當 β表示不完全正交的量時,可以將方程式2和3分別改寫為方程式20和21。

和之前一樣,解調之後餘下的包絡信號可以如方程式22所示輕鬆顯示。當您將方程式22的值設置為0,假設 β 很小,cos(β) ≈ 1 and sin(β) ≈ β,時,可以發現有此導致的位置誤差ε = θ – φ。然後我們可以接收誤差信息,如方程式23所示。

如方程式23所示,當β/2 2的最大誤差達到45°deqizhengshubeishi,wuchaxianganliangbeizhuandongsuduqifu。yufudushipeiyinqidewuchaxiangbi,zaibenlizhong,pingjunwuchaweifeiling,fengzhiwuchadengyuzhengjiaowucha。zaifudushipeishilizhong,dang β = 0.0003,弧度= 0.172°時,在12位模式下可能產生約1 LBS誤差。
諧波激勵
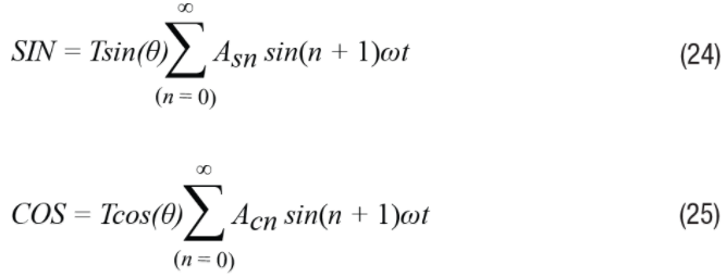
在前麵的分析中,假設激勵信號是一個理想的正弦信號,不包含附加諧波。在實際係統中,激勵信號確實含有諧波。因此,方程式2和方程式3可以改寫為方程式24和方程式25。

解調之後餘下的包絡信號可以如方程式26所示輕鬆顯示。在 Type II跟蹤環路中促使此信號歸零。

將方程式26設置為0,可以發現由此導致的位置誤差ε = θ – φ 。然後我們可以獲得誤差信息,如方程式27所示。

如果旋轉變壓器激勵具有相同的諧波,則方程式27的分子為零,不產生位置誤差。這意味著即使值非常大時,共激勵諧波對RDC的影響也可以忽略不計。但是,如果SIN或COS中的諧波含量不同,所產生的位置誤差與方程式8所示的幅度失配具有相同的函數形狀。這會嚴重影響位置精度。
感應諧波
實際上,不可能建立一個電感曲線是位置的完美正弦和餘弦函數的旋轉變壓器。正常情況下,電感中包含諧波,VR旋轉變壓器包含直流分量。因此,方程式2和方程式3可以分別改寫為方程式28和方程式29,其中K0表示直流分量。

解調之後餘下的包絡信號可以如方程式30所示。
在Type II跟蹤環路中,促使此信號歸零,在諧波幅度較小, n > 1,且Kn << 1時,可利用方程式31計算誤差信息ε = θ – φ 。

根據這個方程式,相比諧波效應,誤差對直流項更為敏感,它與感應諧波幅度成正比。與此同時,第n個電感諧波決定了位置誤差的第(n – 1)個諧波的幅度。
旋轉變壓器仿真器係統中的誤差貢獻總結
除了上述誤差源外,耦合到SIN和COS線的幹擾、放大器的失調誤差、偏置誤差等也會導致產生係統誤差。旋轉變壓器仿真器係統的誤差源和貢獻總結如表1所示,其中包括12位模式1 LSB這個最差的示例。也可以參考該表,計算另一種RDC分辨率模式的值。
表1. 旋轉變壓器仿真器係統中的誤差源和貢獻總結

RDC係統中的故障類型
在真實的RDC係(xi)統(tong)中(zhong),會(hui)出(chu)現(xian)大(da)量(liang)故(gu)障(zhang)情(qing)況(kuang)。以(yi)下(xia)章(zhang)節(jie)將(jiang)顯(xian)示(shi)現(xian)場(chang)測(ce)試(shi)期(qi)間(jian)出(chu)現(xian)的(de)不(bu)同(tong)故(gu)障(zhang)類(lei)型(xing)和(he)一(yi)些(xie)故(gu)障(zhang)信(xin)號(hao),以(yi)及(ji)如(ru)何(he)使(shi)用(yong)第(di)三(san)節(jie)介(jie)紹(shao)的(de)旋(xuan)轉(zhuan)變(bian)壓(ya)器(qi)仿(fang)真(zhen)器(qi)解(jie)決(jue)方(fang)案(an)來(lai)模(mo)擬(ni)故(gu)障(zhang)類(lei)型(xing)。除(chu)上(shang)述(shu)故(gu)障(zhang)類(lei)型(xing)外(wai),還(hai)可(ke)能(neng)存(cun)在(zai)隨(sui)機(ji)幹(gan)擾(rao),導(dao)致(zhi)出(chu)現(xian)另(ling)一(yi)故(gu)障(zhang),或(huo)者(zhe)同(tong)時(shi)發(fa)生(sheng)一(yi)些(xie)其(qi)他(ta)故(gu)障(zhang)。
錯接故障
錯接是指通過不正確的連接將旋轉變壓器激勵和SIN/COS對連接到RDC SIN/COS輸入和激勵輸出引腳。錯接發生時,RDC也可 以解碼角度和速度信息,但是角度輸出數據會顯示跳變,就像 DAC 輸出中的偏置誤差。請參考圖3,查看錯接案例和結果數據。其中,第一列顯示EXC/SIN/COS引腳和輸出角度,其餘列顯示錯接情況。

圖3. 旋轉變壓器錯接和角度輸出。
相移故障
從cong誤wu差cha貢gong獻xian章zhang節jie,我wo們men了le解jie了le相xiang移yi包bao括kuo差cha模mo相xiang移yi和he共gong模mo相xiang移yi。鑒jian於yu差cha模mo相xiang位wei可ke以yi被bei視shi為wei共gong模mo相xiang移yi的de差cha,所suo以yi,在zai本ben節jie中zhong,相xiang移yi故gu障zhang是shi指zhi由you共gong模mo相xiang移yi引yin起qi的de故gu障zhang。
請參考圖4,查看共模相移誤差貢獻。相位1表示激勵濾波器延遲。相位2表示旋轉變壓器相移。相位3表示線路延遲。相位4表示SIN/COS濾波器延遲。在現場RDC係統中,當相移誤差發生時,意味著相位1、相位2、相位3和相位4的總值大於44°。正常情況下,旋轉變壓器相移誤差為10°。非正常情況下,總相位誤 差可以達到30°。出於量產考慮,需要留下足夠的相位裕度。
當SIN/COS的相移不同時,會引起相移失配故障。如果發生這種情況,角度和速度精度將會受到影響。

圖4. 相移誤差貢獻。
斷開故障
當旋轉變壓器的任何線路與RDCpingtaijiekouduankailianjieshi,jiuhuifashengduankaiguzhang。suizhechanpindeanquanshuipingbuduantigao,xianluduankaijianceyizaishoudaokehuguanzhu。womenkeyimonizhegeguzhang,jiangSIN/COS設置為零電壓。發生連接斷開的情況時,可以在 AD2S1210中觸發LOS/DOS/LOT故障。
幅度失配/超限故障
當電路增益控製或SIN/COS的旋轉變壓器比值不同時,會發生幅度失配,這也意味著SIN/COS包絡的幅度值不同。當幅度接近AVDD時,會觸發幅度超限故障。對於AD2S1210,這被稱為削波故障。請參考圖5,查看不錯的SIN/COS信號示例。

圖5. 理想的SIN/COS信號。
IGBT幹擾故障

圖6. SIN/COS耦合IGBT幹擾。
IGBT幹擾是指幹擾信號與IGBT開關的開/關效應相耦合。當信號與SIN/COS線耦合時,位置和速度性能會受影響,角度值會發生跳變,速度方向可能變化。圖6所示為一個現場示例,其中通道1是SIN信號,通道2是COS信號,毛刺表示幹擾與IGBT開關耦合。
超速故障
當電角度的速度高於旋轉變壓器解碼係統的速度時,就會發生超速故障。例如,在12位模式下,AD2S1210所能支持的最大速度為1250 SPS,當旋轉變壓器電角度的速度為1300 SPS時,就會觸發超速故障。
旋轉變壓器仿真器係統架構和描述
從第一節,我們知道幅度和相位誤差會直接決定解碼角度和速度性能。幸運的是,ADItigongpangdadejingmichanpinzuhe,ninkeyicongzhongxuanzeheshidechanpinlaigoujianxuanzhuanbianyaqifangzhenqixitong。xiamiandemiaoshujiangzhanshiruhegoujiangaojingdudexuanzhuanbianyaqifangzhenqi,bingtaolunyingxuanzenaxieqijian。
對於圖7所示的仿真器框圖,有7個模塊需要注意:
1. 用於數據分析和控製的過程控製平台。
2. 同步時鍾生成模塊,為子係統生成同步時鍾。
3. 故障信號生成模塊,生成不同的故障信號。
4. SIN/COS生成模塊,生成經過調製的SIN/COS信號作為旋轉變壓器輸出。
5. 信號采集模塊,作為激勵和反饋信號采集模塊。
6. SIN/COS輸出模塊,處理包含緩衝區、增益和濾波器的SIN/COS輸出。
7. 激勵信號輸入模塊,自帶緩衝和濾波電路。
8. 電源模塊,為ADC、DAC、開關、放大器等元器件提供電源。

圖7. 旋轉變壓器仿真器框圖。
旋轉變壓器仿真器係統工作時,讓信號采集模塊從輸入模塊采集激勵信號樣本,然後由處理器分析其頻率和幅度。處理器使用CORDIC算法計算SIN/COS DAC輸出數據代碼,然後通過SIN/COS模塊生成與激勵輸入相同頻率的正弦信號。係統將同時采集激勵和SIN/COS信號,計算並調整SIN/COS相位/幅度,補償激勵和SIN/COS之間的相位誤差,使其等於零,然後將SIN/COS幅度校準到相同水平。最後,係統將生成經過調製的SIN/COS信號和故障信號,以模擬角度性能、速度和故障情況。
圖8中所示的信號鏈顯示了一個雙16位sim SAR ADC AD7380用於 在OSR使能,SNR可以達到98 dB時采集激勵和反饋信號。它非常適合同時進行高精度的相位和幅度校準數據采集。超低功耗、低失真的 ADA4940-2 被作為ADC驅動器。采用高精度、低噪聲的 20位DAC AD5791 來生成SIN/COS信號和故障信號,從降低分辨率 和成本方麵考慮,可以使用 AD5541A 或 AD5781 來代替 AD5791。高精度、可選增益差分放大器 AD8475, 被用作輸入/輸出緩衝器。 具有超低失調漂移和電壓噪聲放大功能的高精度軌對軌運算放大器AD8676 和AD8599, 用於構建有源濾波器和加法電路。最大電 阻0.8 Ω的單電源軌對軌雙SPDT ADG854,用於開關和選擇SIN/COS信 號,然後發送至數據采集模塊。

圖8. 旋轉變壓器仿真器信號鏈。
整個旋轉變壓器仿真器係統通過外部的12 V適配器供電,該適配器使用直流-直流轉換器和LDO穩壓器,提供不同的電壓電平。參考圖9,查看詳細的電源信號鏈。使用 ADP5071, 可以產生 正負16 V電壓,但使用 ADP7118 和 ADP7182。可以生成更清晰、更穩定的正負15V電壓。這些電源主要用於為DAC相關電路供電。同樣,可以使用ADP2300, ADP7118, ADM660, 和 AD7182。這些電源主要用於為ADC 相關電路供電,且滿足詳細的設計要求。

圖9. 電源信號鏈。
旋轉變壓器仿真器平台測試和結果
參考圖10,查看完整的係統平台測試。它包含一個旋轉變壓器仿真器板、一個AD2S1210評估板和一個GUI。請參見圖11,查看GUI和平台測試圖。AD2S1210 GUI用於直接評估旋轉變壓器仿真器的性能,尤其是角度和速度性能。通過旋轉變壓器仿真器 GUI,可以配置速度、角度性能和故障信號。

圖10. 實驗測試框圖。

圖11.實驗測試和GUI。
參考圖12,查看已禁用遲滯模式的16位AD2S1210的角度和速度性能INL。

圖12. 角度/速度INL。
請參考表2,查看與標準旋轉變壓器仿真器器件相比,此解決方案的性能數據。使用AD5791得出的理論角度精度為0.0004°,在實際基準測試中,角度精度為0.006°,最大速度輸出為3000 rps速度精度為0.004 rps,很容易滿足AD2S1210在10為至約16位模式下的要求。
表2. 性能比較

參考表3,查看此仿真器支持的故障模式。對於與相位相關的故障,0°至大約360°的範圍可以支持SIN/COS信號。對於與幅度相關的故障,0 V到大約5 V的範圍可以支持SIN/COS信號。此解決方案還可以用於模擬超速、IGBT、連接斷開等故障。
表3. 故障模式和支持的範圍

參考圖13,查看關於IGBT故障的測試示例。將仿真器輸出配置為45°,然後在SIN/COS輸出中添加周期性幹擾信號。從AD2S1210 評估板GUI顯示的角度和速度性能可以看出,角度性能在45°左右波動,而速度則在0 rps左右波動。

圖13. IGBT幹擾示例。
結論
大多數RDCxiangguanyingyongzhongdoucunzaiganrao,ganraoyanzhongshihuichufaduozhongleixingdeguzhang。dangningoujianzijidexuanzhuanbianyaqifangzhenqishi,qingzunxuncijiejuefangan,yinweitabujinkeyibangzhuninpingguganraotiaojianxiadexitongxingneng,haikeyixiangbiaozhunfangzhenqiyiyangxiaozhunheyanzhengnindechanpin。xiangxidewuchafenxikeyibangzhuninlijieweishenmexuyaojingquedemoniSIN/COS信號;可以模擬本文討論的所有故障類型,以幫助進行一些功能安全驗證。
參考電路
Boyes, Geoffrey. “自整角機和旋轉變壓器轉換。”ADI公司,1980年。
Hanselman, Duane C. “用於高精度旋轉變壓器數字轉換的旋轉變壓 器信號要求。” ”IEEE Trans.Ind.Electron.,第37卷第6期,1990年12月。
Lynch, Michael. “高精密電壓源。” ADI公司,2017年10月。
O’Meara, Shane. AD7380評估套件。 ADI公司,2019年。
Symczak, Jakub, Shane O’Meara, Johnny Gealon 和 Christopher Nelson De La Rama “精密旋變數字轉換器測量角位置和速度。”ADI公司,2014年3月。
致謝
非常感謝ADI實習生Edward Luo、應用工程師Shane O ‘Meara、Steven Xie、Karl Wei和Michael Lynch對本文的設計和測試工作提出的建議和支持。
推薦閱讀:
特別推薦
- 噪聲中提取真值!瑞盟科技推出MSA2240電流檢測芯片賦能多元高端測量場景
- 10MHz高頻運行!氮矽科技發布集成驅動GaN芯片,助力電源能效再攀新高
- 失真度僅0.002%!力芯微推出超低內阻、超低失真4PST模擬開關
- 一“芯”雙電!聖邦微電子發布雙輸出電源芯片,簡化AFE與音頻設計
- 一機適配萬端:金升陽推出1200W可編程電源,賦能高端裝備製造
技術文章更多>>
- 貿澤EIT係列新一期,探索AI如何重塑日常科技與用戶體驗
- 算力爆發遇上電源革新,大聯大世平集團攜手晶豐明源線上研討會解鎖應用落地
- 創新不止,創芯不已:第六屆ICDIA創芯展8月南京盛大啟幕!
- AI時代,為什麼存儲基礎設施的可靠性決定數據中心的經濟效益
- 矽典微ONELAB開發係列:為毫米波算法開發者打造的全棧工具鏈
技術白皮書下載更多>>
- 車規與基於V2X的車輛協同主動避撞技術展望
- 數字隔離助力新能源汽車安全隔離的新挑戰
- 汽車模塊拋負載的解決方案
- 車用連接器的安全創新應用
- Melexis Actuators Business Unit
- Position / Current Sensors - Triaxis Hall
熱門搜索





