詳解FIR濾波器與IIR濾波器的具體區別
發布時間:2019-09-09 責任編輯:wenwei
【導讀】兩種濾波器都是數字濾波器。根據衝激響應的不同,將數字濾波器分為有限衝激響應(FIR)濾波器和無限衝激響應(IIR)濾波器。對於FIR濾波器,衝激響應在有限時間內衰減為零,其輸出僅取決於當前和過去的輸入信號值。對於IIR濾波器,衝激響應理論上應會無限持續,其輸出不僅取決於當前和過去的輸入信號值,也取決於過去的信號輸出值。
1.兩種濾波器都是數字濾波器。根據衝激響應的不同,將數字濾波器分為有限衝激響應(FIR)濾波器和無限衝激響應(IIR)濾波器。對於FIR濾波器,衝激響應在有限時間內衰減為零,其輸出僅取決於當前和過去的輸入信號值。對於IIR濾波器,衝激響應理論上應會無限持續,其輸出不僅取決於當前和過去的輸入信號值,也取決於過去的信號輸出值。
2.FIR:有限脈衝響應濾波器。有限說明其脈衝響應是有限的。與IIR相比,它具有線性相位、容易設計的優點。這也就說明,IIR濾波器具有相位不線性,不容易設計的缺點。而另一方麵,IIR卻擁有FIR所不具有的缺點,那就是設計同樣參數的濾波器,FIR比IIR需要更多的參數。這也就說明,要增加DSP的計算量。DSP需要更多的計算時間,對DSP的實時性有影響。
以下都是低通濾波器的設計。
FIR的設計:
FIR濾lv波bo器qi的de設she計ji比bi較jiao簡jian單dan,就jiu是shi要yao設she計ji一yi個ge數shu字zi濾lv波bo器qi去qu逼bi近jin一yi個ge理li想xiang的de低di通tong濾lv波bo器qi。通tong常chang這zhe個ge理li想xiang的de低di通tong濾lv波bo器qi在zai頻pin域yu上shang是shi一yi個ge矩ju形xing窗chuang。根gen據ju傅fu裏li葉ye變bian換huan我wo們men可ke以yi知zhi道dao,此ci函han數shu在zai時shi域yu上shang是shi一yi個ge采cai樣yang函han數shu。通tong常chang此ci函han數shu的de表biao達da式shi為wei:
sa(n)=sin(n∩)/n∏,但dan是shi這zhe個ge采cai樣yang序xu列lie是shi無wu限xian的de,計ji算suan機ji是shi無wu法fa對dui它ta進jin行xing計ji算suan的de。故gu我wo們men需xu要yao對dui此ci采cai樣yang函han數shu進jin行xing截jie斷duan處chu理li。也ye就jiu是shi加jia一yi個ge窗chuang函han數shu。就jiu是shi傳chuan說shuo中zhong的de加jia窗chuang。也ye就jiu是shi把ba這zhe個ge時shi域yu采cai樣yang序xu列lie去qu乘cheng一yi個ge窗chuang函han數shu,就jiu把ba這zhe個ge無wu限xian的de時shi域yu采cai樣yang序xu列lie截jie成cheng了le有you限xian個ge序xu列lie值zhi。但dan是shi加jia窗chuang後hou對dui此ci采cai樣yang序xu列lie的de頻pin域yu也ye產chan生sheng了le影ying響xiang:此(ci)時(shi)的(de)頻(pin)域(yu)便(bian)不(bu)在(zai)是(shi)一(yi)個(ge)理(li)想(xiang)的(de)矩(ju)形(xing)窗(chuang),而(er)是(shi)成(cheng)了(le)一(yi)個(ge)有(you)過(guo)渡(du)帶(dai),阻(zu)帶(dai)有(you)波(bo)動(dong)的(de)低(di)通(tong)濾(lv)波(bo)器(qi)。通(tong)常(chang)根(gen)據(ju)所(suo)加(jia)的(de)窗(chuang)函(han)數(shu)的(de)不(bu)同(tong),對(dui)采(cai)樣(yang)信(xin)號(hao)加(jia)窗(chuang)後(hou),在(zai)頻(pin)域(yu)所(suo)得(de)的(de)低(di)通(tong)濾(lv)波(bo)器(qi)的(de)阻(zu)帶(dai)衰(shuai)減(jian)也(ye)不(bu)同(tong)。通(tong)常(chang)我(wo)們(men)就(jiu)是(shi)根(gen)據(ju)此(ci)阻(zu)帶(dai)衰(shuai)減(jian)去(qu)選(xuan)擇(ze)一(yi)個(ge)合(he)適(shi)的(de)窗(chuang)函(han)數(shu)。如(ru)矩(ju)形(xing)窗(chuang)、漢寧窗、漢明窗、BLACKMAN窗、凱撒窗等。選擇一個具體的窗函數 之後,根據所設計濾波器的參數來計算所需的階數、此窗函數的表達式。然後用這個窗函數去和采樣序列相乘,就可以得到實際濾波器的脈衝響應。
IIR的設計(雙線性變換法):
IIR的設計理念是這樣的:根據所要設計濾波器的參數去確定一個模擬濾波器的傳輸函數,然後再根據這個傳輸函數,通過雙線性變換、或脈衝響應不變法來進行數字濾波器的設計。它的設計比較複雜,複雜在於它的模擬濾波器傳輸函數H(s)的確定。這一點我們可以讓軟件來實現。然後,我們說一下它的具體實現步驟:首shou先xian你ni要yao先xian確que定ding你ni需xu要yao一yi個ge什shen麼me樣yang的de濾lv波bo器qi,巴ba特te沃wo斯si型xing,切qie比bi雪xue夫fu型xing,還hai是shi其qi它ta什shen麼me型xing的de濾lv波bo器qi。當dang你ni選xuan定ding一yi個ge型xing號hao後hou,你ni就jiu可ke以yi根gen據ju設she計ji參can數shu和he這zhe個ge濾lv波bo器qi的de計ji算suan公gong式shi來lai確que定ding其qi階jie數shu、傳輸函數的表達式。通常這個過程中還存在預扭曲的問題(這隻是雙線性變換法所需要注意的問題,脈衝響應不變法不存在這種問題)。確定H(S)後,就可以通過雙線性變換得到其數字域的差分方程。
3.對於IIR和FIR的比較,有些書上有論述。我引用陳懷琛的“數字信號處理教程--MATLAB釋義與實現”:
從性能上來說,IIRlvboqichuandihanshubaokuolingdianhejidianliangzuketiaoyinsu,duijidiandeweiyixianzhishizaidanweiyuannei。yincikeyongjiaodidejieshuhuodegaodexuanzexing,suoyongdecunchudanyuanshao,jisuanliangxiao,xiaolvgao。danshizhegegaoxiaolvshiyixiangweidefeixianxingweidaijiade。xuanzexingyuehao,zexiangweifeixianxingyueyanzhong。FIR濾波器傳遞函數的極點固定在原點,是不能動的,它隻能靠改變零點位置來改變它的性能。所以要達到高的選擇性,必須用較高的階數;對於同樣的濾波器設計指標,FIR濾波器所要求的階數可能比IIR濾波器高5-10倍,結果,成本較高,信號延時也較大;如果按線性相位要求來說,則IIR濾波器就必須加全通網絡進行相位校正,同樣要大大增加濾波器的階數和複雜性。而FIR濾波器卻可以得到嚴格的線性相位。
從結構上看,IIRlvboqibixucaiyongdiguijiegoulaipeizhijidian,bingbaozhengjidianweizhizaidanweiyuannei。youyuyouxianzichangxiaoying,yunsuanguochengzhongjiangduixishujinxingsheruchuli,yinqijidiandepianyi。zhezhongqingkuangyoushihuizaochengwendingxingwenti,shenzhichanshengjishengzhendang。xiangfan,FIR濾波器隻要采用非遞歸結構,不論在理論上還是在實際的有限精度運算中都不存在穩定性問題,因此造成的頻率特性誤差也較小。此外FIR濾波器可以采用快速傅裏葉變換算法,在相同階數的條件下,運算速度可以快得多。
另外,也應看到,IIR濾波器雖然設計簡單,但主要是用於設計具有分段常數特性的濾波器,如低通、高通、帶通及帶阻等,往往脫離不了模擬濾波器的格局。而FIRlvboqizeyaolinghuodeduo,youqishitayiyushiyingmouxieteshuyingyong,rugouchengshuziweifenqihuoxierbotebianhuanqideng,yineryougengdadeshiyingxingheguangkuodeyingyonglingyu。
從上麵的簡單比較可以看到IIR與FIR濾(lv)波(bo)器(qi)各(ge)有(you)所(suo)長(chang),所(suo)以(yi)在(zai)實(shi)際(ji)應(ying)用(yong)時(shi)應(ying)該(gai)從(cong)多(duo)方(fang)麵(mian)考(kao)慮(lv)來(lai)加(jia)以(yi)選(xuan)擇(ze)。從(cong)使(shi)用(yong)要(yao)求(qiu)上(shang)來(lai)看(kan),在(zai)對(dui)相(xiang)位(wei)要(yao)求(qiu)不(bu)敏(min)感(gan)的(de)場(chang)合(he),如(ru)語(yu)言(yan)通(tong)信(xin)等(deng),選(xuan)用(yong)IIR較為合適,這樣可以充分發揮其經濟高效的特點;對於圖像信號處理,數據傳輸等以波形攜帶信息的係統,則對線性相位要求較高。如果有條件,采用FIR濾波器較好。當然,在實際應用中可能還要考慮更多方麵的因素。
不論IIR和FIR,階數越高,信號延遲越大;同時在IIR濾波器中,階數越高,係數的精度要求越高,否則很容易造成有限字長的誤差使極點移到單位園外。因此在階數選擇上是綜合考慮的。
IIR濾波器(切比雪夫濾波)各濾波器比較(IIR和FIR,數字和模擬) 第19,20,21章內容,主要講IIR濾波器和濾波器的比較
IIR濾波不使用卷積運算,而是用遞歸(recursive)運算,因此執行速度很快,但在性能上不一定比FIR濾波好。IIR的衝擊響應由衰減性指數信號構成。
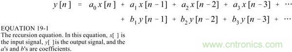
IIR輸入輸出的遞推關係式為:

IIR遞歸係數和其頻率響應之間的關係可以通過Z變換來轉換,Z變換在此不涉及。
通過取不同的遞歸係數(下圖中的a和b),就可以實現不同的濾波:


當然這是最簡單的應用,遞歸係數的取法有一定的講究和公式,這裏略了。
推薦閱讀:
特別推薦
- 噪聲中提取真值!瑞盟科技推出MSA2240電流檢測芯片賦能多元高端測量場景
- 10MHz高頻運行!氮矽科技發布集成驅動GaN芯片,助力電源能效再攀新高
- 失真度僅0.002%!力芯微推出超低內阻、超低失真4PST模擬開關
- 一“芯”雙電!聖邦微電子發布雙輸出電源芯片,簡化AFE與音頻設計
- 一機適配萬端:金升陽推出1200W可編程電源,賦能高端裝備製造
技術文章更多>>
- 貿澤EIT係列新一期,探索AI如何重塑日常科技與用戶體驗
- 算力爆發遇上電源革新,大聯大世平集團攜手晶豐明源線上研討會解鎖應用落地
- 創新不止,創芯不已:第六屆ICDIA創芯展8月南京盛大啟幕!
- AI時代,為什麼存儲基礎設施的可靠性決定數據中心的經濟效益
- 築基AI4S:摩爾線程全功能GPU加速中國生命科學自主生態
技術白皮書下載更多>>
- 車規與基於V2X的車輛協同主動避撞技術展望
- 數字隔離助力新能源汽車安全隔離的新挑戰
- 汽車模塊拋負載的解決方案
- 車用連接器的安全創新應用
- Melexis Actuators Business Unit
- Position / Current Sensors - Triaxis Hall
熱門搜索





