設計放大器時,振蕩常見原因以及補救方法
發布時間:2018-03-20 來源:Excelpoint 責任編輯:lina
【導讀】模擬電路設計師在設計放大器時,為了使其穩定,煞費苦心。然而在真實世界中,總是有很多情況引起放大器振蕩——不同類型的負載可能使放大器振鳴;設計不當的反饋網絡可能引起不穩定性;電源旁路不夠充分也可能引起問題;輸入和輸出作為單端口係統也還可能自振蕩……
為了解決這些問題,今天我們將同大家共同探討振蕩的常見原因以及補救方法。
基礎知識
圖 1a 顯示了一個非軌至軌放大器的方框圖。輸入控製 gm 方框,gm 方框驅動增益節點,並在輸出端得到緩衝。補償電容器 Cc 是主要的頻率響應組件。Cc 的返回引腳應該接地,如果有這樣一個引腳的話;但是運算放大器傳統上不接地,電容器電流會返回一個或兩個電源。圖 1b 是最簡單的軌至軌輸出放大器的方框圖。輸入方框 gm 的輸出電流通過“電流耦合器”發送,這將驅動電流分成兩部分,提供給輸出晶體管。頻率響應由兩個 Cc/2s 決定,二者實際上是並聯的。

圖1a:典型非軌至軌運算放大器拓撲

圖1b:典型軌至軌運算放大器拓撲
以上兩種拓撲代表了絕大多數使用外部反饋的運算放大器。圖 1c 顯示了我們的理想放大器的頻率響應,盡管兩個電路的電氣原理不同,但行為表現卻類似。由 gm 和 Cc 形成的單極點補償提供 GBF = gm/(2πCc) 的單位增益帶寬積頻率。在 GBF/Avol 附近,這些放大器的相位滯後從 –180° 降至 –270°,其中 Avol 是放大器開環 DC 增益。當頻率遠高於這個低頻率時,相位就一直停在 –270° 上。這就是為人熟知的“主極點補償”,其中 Cc 極點主導頻率響應,隱藏了有源電路的各種頻率限製。

圖1c:理想化的運算放大器頻率響應
圖 2 顯示了 LTC6268 放大器隨頻率變化的開環增益和相位響應。LTC6268是一款小巧的小型低噪聲 500MHz 放大器,具軌至軌輸出和僅 3fA 偏置電流,可以作為一個很好的例子來說明真實放大器的行為表現。主極點補償的 –90° 相位滯後約從 0.1MHz 開始,在 8MHz 左右達到 –270°,超過 30MHz 時則下移超過 –270°。實shi際ji上shang,除chu了le由you於yu額e外wai增zeng益yi級ji和he輸shu出chu級ji所suo引yin起qi的de基ji本ben主zhu導dao補bu償chang滯zhi後hou之zhi外wai,所suo有you的de放fang大da器qi都dou具ju有you高gao頻pin相xiang位wei滯zhi後hou。通tong常chang,額e外wai相xiang位wei滯zhi後hou的de起qi點dian在zai GBF/10 左右。

圖2:LTC6268的增益和相位隨頻率的變化
反饋的穩定性是一個繞環路增益和相位的問題,或者,Avol 乘以反饋係數,簡言之就是環路增益。如果我們以單位增益配置方式連接 LTC6268,那麼輸出電壓 100% 反饋回來。在非常低的頻率上,輸出是“–”輸入的負值,或相位滯後 –180°。補償通過放大器又增加了 -90° 滯後,從“–”輸入到輸出引入 –270° 滯後。當環路相位滯後增大到 ±360° 或其倍數時,就會發生振蕩,而且環路增益至少是 1V/V 或 0dB。相位裕度是衡量當增益為 1V/V 或 0dB 時相位滯後與 360° 相差多少。圖 2 顯示,在 130MHz 時相位裕度約為 70°(10pF 紅色曲線)。這是一個非常健康的數字,相位裕度低至大約 35° 都是可行的。
一個不太常提及的話題是增益裕度,盡管這是個同樣重要的參數。當相位裕度在一些較高的頻率上降低至零時,如果增益至少為 1V/V 或 0dB,放大器就會振蕩。如圖 2 所示,當相位降至 0° (或 360° 的倍數,或如圖中所示為 –180°) 時,增益在 1GHz 左右約為 –24dB。這是非常低的增益,在這種頻率上不會發生振蕩。實際上,人們希望增益裕度至少為 4dB。
去補償型放大器
雖然 LTC6268 在zai單dan位wei增zeng益yi條tiao件jian下xia是shi相xiang當dang穩wen定ding的de,但dan是shi有you少shao量liang故gu意yi不bu穩wen定ding的de運yun放fang。通tong過guo把ba放fang大da器qi補bu償chang設she計ji為wei僅jin在zai較jiao高gao閉bi環huan增zeng益yi下xia保bao持chi穩wen定ding,設she計ji折zhe衷zhong能neng夠gou提ti供gong比bi單dan位wei增zeng益yi補bu償chang方fang案an更geng高gao的de轉zhuan換huan速su率lv、更寬的 GBF、和更低的輸入噪聲。圖 3 示出了 LTC6230-10 的開環增益和相位。該放大器打算在數值為 10 或更大的反饋增益條件下使用,因此反饋網將至少使輸出衰減 10 倍。通過這個反饋網絡,我們可以找到開環增益為 10V/V 或 20dB 時的頻率,並發現在 50MHz (±5V 電源) 時相位裕度為 58°。單位增益時,相位裕度僅約 0°,放大器會振蕩。

圖3:LT6230-10的增益和相位隨頻率的變化
一個觀察結果是,當提供比最小穩定增益大的閉環增益時,所有放大器都會更穩定。即使 1.5 的增益也會使單位增益可穩定的放大器穩定得多。
反饋網絡
談到振蕩,反饋網絡本身可也能引起振蕩。請注意,在圖 4 中,我們放上了一個與反饋分壓器並聯的寄生電容。這是不可避免的,電路板上每個組件的每個端子到地都有約 0.5pF 寄生電容,還有走線的寄生電容。

圖4:寄生電容加載到反饋網絡上
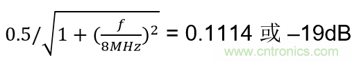
實際上,節點的最小電容為 2pF,每英寸走線也有約 2pF 電容。累積寄生電容很容易達到 5pF。考慮提供 +2 增益的 LTC6268。為了降低功率,我們將 Rf 和 Rg 的值設定為相當高的 10kΩ。Cpar = 4pF 時,反饋網絡在 1/(2π*Rf||Rg*Cpar) 或 8MHz 上有一個極點。利用反饋網絡的相位滯後為 –atan(f/8MHz) 這個事實,我們可以估計出,在 35MHz 左右,環路將有 360° 的相位滯後,這時放大器的相位滯後為 –261°,反饋網絡滯後 –79°。在這一相位和頻率上,放大器仍有 22dB 增益,同時分壓器增益為

在 0° 相位上,放大器的 22dB 乘以反饋分壓器的 –19dB 產生 +3dB 環huan路lu增zeng益yi,電dian路lu振zhen蕩dang。為wei了le在zai存cun在zai寄ji生sheng電dian容rong的de情qing況kuang下xia正zheng常chang運yun行xing,我wo們men必bi須xu將jiang反fan饋kui電dian阻zu器qi的de值zhi調tiao小xiao,這zhe樣yang反fan饋kui極ji點dian才cai能neng遠yuan遠yuan超chao過guo環huan路lu的de單dan位wei增zeng益yi頻pin率lv。極ji點dian與yu GBF 之比至少為 6 倍才行。
運算放大器輸入端本身可能也有相當大的電容,與 Cpar 一樣。尤其是,低噪聲和低 Vos 放(fang)大(da)器(qi)有(you)大(da)型(xing)輸(shu)入(ru)晶(jing)體(ti)管(guan),可(ke)能(neng)比(bi)其(qi)他(ta)類(lei)型(xing)的(de)放(fang)大(da)器(qi)有(you)更(geng)大(da)的(de)輸(shu)入(ru)電(dian)容(rong),而(er)輸(shu)入(ru)電(dian)容(rong)加(jia)載(zai)到(dao)了(le)放(fang)大(da)器(qi)反(fan)饋(kui)網(wang)絡(luo)上(shang)。我(wo)們(men)需(xu)要(yao)查(zha)閱(yue)數(shu)據(ju)表(biao),以(yi)了(le)解(jie)將(jiang)有(you)多(duo)大(da)的(de)電(dian)容(rong)與(yu) Cpar 並聯。幸運的是,LT6268 僅有 0.45pF 電容,對這樣一個低噪聲放大器而言,這個電容值已經非常低了。可用 ADI 免費提供的、運行於 LTspice® 上的宏模型模擬有寄生電容的電路。
圖 5 顯示了提高分壓器電容容限的方法。

圖5:降低Cpar影響的方法
圖 5a 顯示了一款非負輸出放大器配置,增加了 Rin。假定 Vin 是低阻抗源 (<
圖 5b 顯示了一種負輸出配置。Rg 仍然執行環路衰減而不改變閉環增益。在這種情況下,輸入阻抗不受“Rg”幹擾,但噪聲、失調和帶寬參數會惡化。
圖 5c 示出了在同相放大器中補償 Cpar 的優選方法。如果我們設定 Cf* Rf = Cpar * Rg,則我們擁有了一個“補償衰減器”,從而使反饋分壓器現在於所有頻率下都具有相同的衰減,並且解決了 Cpar 問題。產品中的失配將在放大器的通帶中引起“凸塊”,和在響應曲線中引起“擱板”(此時,低頻響應是平坦的,但是在 f = 1/2 * Cpar * Rg 附近變至另一個平直線段)。圖 5d 示出了用於負輸出放大器的等效 Cpar 補償。必需對頻率響應進行分析以找到一個正確的 Cf,而放大器的帶寬即為該分析工作的一部分。
這裏依次列舉一些有關電流反饋放大器 (CFA) 的評論。如果圖 5a 中的放大器是一個 CFA,則“Rin”對(dui)於(yu)更(geng)改(gai)頻(pin)率(lv)響(xiang)應(ying)所(suo)起(qi)的(de)作(zuo)用(yong)甚(shen)微(wei),因(yin)為(wei)負(fu)輸(shu)入(ru)是(shi)非(fei)常(chang)低(di)的(de)阻(zu)抗(kang)並(bing)主(zhu)動(dong)地(di)拷(kao)貝(bei)正(zheng)輸(shu)入(ru)。噪(zao)聲(sheng)指(zhi)標(biao)將(jiang)略(lve)有(you)劣(lie)化(hua),而(er)且(qie)額(e)外(wai)的(de)負(fu)輸(shu)入(ru)偏(pian)置(zhi)電(dian)流(liu)實(shi)際(ji)上(shang)將(jiang)以(yi) Vos/Rin 的形式出現。同樣,就頻率響應而言,圖 5b 中的電路未被“Rg”所改變。反相輸入並不僅僅是一個虛擬地,它是一個真正的接地低阻抗,而且已經容許了 Cpar (僅限負輸出模式!)。DC 誤差類似於圖 5a 中所示的情形。圖 5c 和 5d 對於電壓輸入運放可能是優選方案,但是 CFA 完全不能容許一個沒有振蕩的直接反饋電容器。
負載問題
就像反饋電容可能損害相位裕度一樣,負載電容也能起到同樣的作用。圖 6 顯示在幾種增益設定值情況下,LTC6268 shuchuzukangsuipinlvdebianhua。qingzhuyi,danweizengyishuchuzukangdiyujiaogaozengyishideshuchuzukang。quanfankuishikaihuanzengyinenggoujiangdifangdaqideguyoushuchuzukang。yincitu 6 中,增益為 10 時的輸出阻抗一般是單位增益時輸出阻抗的 10 倍。由於反饋衰減器降低了環路增益,繞環路增益為 1/10,否則就會降低閉環輸出阻抗。開環輸出阻抗約為 30,這一點在增益為 100 這條曲線的高頻平坦區域很明顯。在這個區域,從增益帶寬頻率/100 左右到增益帶寬頻率,沒有足夠的環路增益來降低開環輸出阻抗。

圖6:在3種增益情況下,LTC6268輸出阻抗隨頻率的變化
電容器負載會引起開環輸出阻抗相位滯後和幅度衰減。例如,一個 50pF 負載和我們的 LTC6268 30 輸出阻抗形成了另一個位於 106MHz 的極點,輸出在此具有一個 –45° 相位滯後和 –3dB 衰減。在該頻率,放大器具有一個 –295° 相位和 10dB 增益。假設采用的是單位增益反饋,我們並未完全實現振蕩,因為相位未使之至 ±360° (在 106MHz)。不過,在 150MHz,放大器具有 305° 相位滯後和 5dB 增益。輸出極點具有一個相位
–atan(150MHz/106MHz) = –55°
和一個增益

循環地倍增增益,我們獲得 360° 相位和 +0.2dB 增益,又是一個振蕩器。50pF 似乎是將強製 LTC6268 產生振蕩的最小負載電容。
防止負載電容引起振蕩的最常見方式是,在反饋連接之後,簡單地給電容串聯一個小阻值的電阻器。10Ω 至 50Ω 的阻值將限製容性負載可能引起的相位滯後,並在速度非常高的時候,隔離放大器和低容性阻抗。缺點包括隨負載電阻特性而變化的 DC 和低頻誤差、容性負載頻率響應受到限製、以及如果負載電容在電壓變化時不恒定所導致的信號失真。
提高放大器的閉環增益,常常可以防止負載電容引起的振蕩。以較高的閉環增益運行放大器意味著,在環路相位為 ±360° 的頻率上,反饋衰減器也衰減環路增益。例如,如果我們使用 LTC6268 時,其閉環增益為 +10,那麼我們會看到,放大器在 40MHz 時有 10V/V 或 20dB 增益,相位滯後 285°。要激起振蕩,就需要一個輸出極點,導致額外的 75° 滯後。通過 –75° = –atan(40MHz/Fpole) → Fpole = 10.6MHz,我們可以求出輸出極點。這個極點頻率來自 500pF 負載電容和大小為 30 的輸出阻抗。輸出極點增益為

由於未加載的開環增益為 10,所以我們得到,振蕩頻率上的繞環路增益為 0.26,因此這一次我們不會產生振蕩,至少不會產生由一個簡單的輸出極點引起的振蕩。這樣,通過提高閉環增益,我們將負載電容容限從 50pF 提高到了 500pF。
另外,無端接的傳輸線也是非常糟糕的負載,因為它們會帶來隨頻率而重複的“失控式”阻抗和相位變化 (見圖 7 中一根無端接 9 英尺電纜的阻抗)。

圖7:未端接同軸電纜的阻抗和相位
ruguonindefangdaqinenggouzaimouzhongdipinxiezhentiaojianxiaanquandiqudongdianlan,nametahenkenengzaimougejiaogaodepinlvzhendang,zheshiyinweiqizijidexiangweiyudujianshaole。ruguodianlanbixushiwuduanjiede,zeyigeyushuchuduanxiangchuanliande“背匹配”(back-match) 電(dian)阻(zu)器(qi)能(neng)夠(gou)隔(ge)離(li)電(dian)纜(lan)的(de)極(ji)端(duan)阻(zu)抗(kang)變(bian)化(hua)。此(ci)外(wai),即(ji)使(shi)來(lai)自(zi)電(dian)纜(lan)未(wei)端(duan)接(jie)端(duan)的(de)瞬(shun)態(tai)反(fan)射(she)正(zheng)好(hao)反(fan)衝(chong)回(hui)放(fang)大(da)器(qi),如(ru)果(guo)向(xiang)後(hou)匹(pi)配(pei)電(dian)阻(zu)器(qi)的(de)阻(zu)值(zhi)與(yu)電(dian)纜(lan)特(te)性(xing)阻(zu)抗(kang)相(xiang)匹(pi)配(pei),那(na)麼(me)該(gai)電(dian)阻(zu)器(qi)也(ye)能(neng)恰(qia)當(dang)地(di)吸(xi)收(shou)這(zhe)種(zhong)能(neng)量(liang)。如(ru)果(guo)向(xiang)後(hou)匹(pi)配(pei)電(dian)阻(zu)器(qi)與(yu)電(dian)纜(lan)阻(zu)抗(kang)不(bu)匹(pi)配(pei),那(na)麼(me)有(you)些(xie)能(neng)量(liang)就(jiu)會(hui)從(cong)放(fang)大(da)器(qi)和(he)端(duan)子(zi)反(fan)射(she),一(yi)路(lu)回(hui)到(dao)未(wei)端(duan)接(jie)端(duan)。當(dang)能(neng)量(liang)到(dao)達(da)該(gai)端(duan)時(shi),再(zai)次(ci)迅(xun)速(su)反(fan)射(she)回(hui)放(fang)大(da)器(qi),結(jie)果(guo),就(jiu)有(you)了(le)一(yi)係(xi)列(lie)來(lai)回(hui)跳(tiao)動(dong)的(de)脈(mai)衝(chong),但(dan)每(mei)次(ci)都(dou)有(you)衰(shuai)減(jian)。
圖 8 顯示了一個更完整的輸出阻抗模型。ROUT 項與我們在 LTC6268 中討論過的一樣,也是 30Ω,這裏又增加了一個 Lout 項。這是一個物理電感和電子等效電感的組合。物理封裝、接合線和外部電感加起來為 5nH 至 15nH,封裝越小,這個數值就越小。

圖8:放大器輸出阻抗的電感性組件
此外,任何放大器都有 20nH 至 70nH 的電生電感,尤其是雙極型器件。器件的有限 Ft 將輸出晶體管的寄生基極電阻變成電感。危害是,Lout 與 CL 可能相互作用,形成一個串聯諧振電路,那麼同樣的問題又來了,如果環路中沒有更大的相位滯後,串聯諧振電路的阻抗就可能降至 Rout 無法驅動的水平,從而可能產生振蕩。例如,設定 Lout = 60nH 和 CL = 50pF。諧振頻率
剛好位於 LTC6268 通帶內。實際上,這個串聯諧振電路在諧振時加載到了輸出端,嚴重改變了諧振頻率附近的環路相位。不幸的是,Lout 在放大器的數據表中並不提及,但有時可以在開環輸出阻抗圖上看到它的影響。總之,對帶寬小於 50MHz 左右的放大器而言,這種影響並不重要。
一種解決方案如圖 9 所示。Rsnub 和 Csnub 形成了所謂的“減震器”,其目的是降低諧振電路的 Q 值,這樣諧振電路就不會在放大器輸出端加上很低的諧振阻抗。Rsnub 的值通常估定為諧振時 CL 的電抗 (本例中為 -j35Ω),以將輸出諧振電路的 Q 值降至 1 左右。調整 Csnub 的大小,以將 Rsnub 完全插入輸出諧振頻率處,即 Csnub 的電抗 <

圖9:使用一個輸出減震器
電流反饋放大器的負輸入實際上是一個緩衝器輸出,也將展現圖 8 所示的一係列特點。因此,該輸入就像一個輸出一樣,可能靠著 Cpar 產生自振蕩。Cpar 和任何有關的電感都必須最大限度減小。不幸的是,減震器在負輸入端會隨著頻率變化改變閉環增益,因此不實用。
奇怪的阻抗
很多放大器在高頻時輸入阻抗都有點反常。有兩個串聯輸入晶體管的放大器最是如此,如達林頓 (Darlington) 配置。很多放大器在輸入端都有 npn/pnp 晶體管對,其行為表現隨頻率的變化與達林頓配置類似。輸入阻抗的實數部分在有些頻率 (一般遠高於 GBF) shanghuibianchengfude。dianganxingyuanzukanghuiyushuruhedianlubandianrongxiezhen,fudeshishufenliangkenengjiqizhendang。dangyongweiduanjiedianlanqudongshi,zhehaiyoukenengdaozhizaihenduozhongfupinlvshangdezhendang。ruguoshuruduanbukebimiandishiyongchangdedianganxingdaoxian,namekeyongjigechuanliande、可以吸收能量的電阻器斷開導線,或者可以在放大器輸入引線上安裝一個阻抗為中等大小的減震器 (約 300Ω)。
電源
最後一個需要考慮的振蕩源是電源旁路。圖 10 顯示了輸出電路的一部分。LVS+ 和 LVS– 是不可避免的封裝、IC 接合線、旁路電容器的物理長度 (像任何導體一樣也是電感性的) 以及電路板走線的串聯電感。還包括將局部旁路組件連接到電源總線其餘部分 (如果不是電源平麵) 的外部電感。盡管 3nH 至 10nH 看起來似乎不大,但是在 200MHz 時,就是 3.8 至 j12Ω。如果輸出晶體管傳導大的高頻輸出電流,那麼在電源電感兩端會存在壓降。

圖10:電源旁路細節
放大器的其餘部分需要無噪聲電源,因為這些部分不能隨著頻率變化抑製電源噪聲。在圖 11 中我們可以看到 LTC6268 隨頻率變化的電源抑製比 (PSRR)。在所有運算放大器中,因為沒有接地引腳,所以補償電容器都連接到電源,會將電源噪聲耦合到放大器中,gm 必須抵消這種噪聲。由於補償,PSRR 隨著 1/f 降低,而且過了 130MHz 後,電源抑製實際上在變大。在 200MHz 時,因為 PSRR 的增大,輸出電流可能幹擾 LVs 電感器內部的電源電壓,通過 PSRR 的放大,幹擾變成很強的放大器信號,驅動輸出電流、產(chan)生(sheng)內(nei)部(bu)電(dian)源(yuan)信(xin)號(hao)等(deng),導(dao)致(zhi)放(fang)大(da)器(qi)振(zhen)蕩(dang)。這(zhe)就(jiu)是(shi)所(suo)有(you)放(fang)大(da)器(qi)的(de)電(dian)源(yuan)都(dou)必(bi)須(xu)用(yong)電(dian)感(gan)很(hen)小(xiao)的(de)走(zou)線(xian)和(he)組(zu)件(jian)精(jing)心(xin)旁(pang)路(lu)的(de)原(yuan)因(yin)。此(ci)外(wai),電(dian)源(yuan)旁(pang)路(lu)電(dian)容(rong)器(qi)必(bi)須(xu)比(bi)任(ren)何(he)負(fu)載(zai)電(dian)容(rong)都(dou)大(da)得(de)多(duo)。

圖11:LTC6268隨頻率變化的電源抑製
如果我們考慮 500MHz 左右的頻率,那麼 3nH 至 10nH 就變成 j9.4Ω 至 j31.4Ω 了。這已經足夠輸出晶體管靠其電感和 IC 組件電容產生自振蕩了,尤其是在輸出電流較大 (晶體管 gm 和帶寬增大) 時。因為用如今的半導體製造工藝生產的晶體管帶寬很大,所以需要特別注意,至少在大輸出電流時。
結 論
zongzhi,shejishixuyaokaolvyumeigeyunsuanfangdaqiduanziyouguandejishengdianronghedianganyijifuzaidexingzhi。fangdaqibeishejichengzaibiaochenghuanjingzhongshiwendingde,danshimeizhongyingyongdouxuyaozhenduiqizishendefenxi。
推薦閱讀:
特別推薦
- 噪聲中提取真值!瑞盟科技推出MSA2240電流檢測芯片賦能多元高端測量場景
- 10MHz高頻運行!氮矽科技發布集成驅動GaN芯片,助力電源能效再攀新高
- 失真度僅0.002%!力芯微推出超低內阻、超低失真4PST模擬開關
- 一“芯”雙電!聖邦微電子發布雙輸出電源芯片,簡化AFE與音頻設計
- 一機適配萬端:金升陽推出1200W可編程電源,賦能高端裝備製造
技術文章更多>>
- 貿澤EIT係列新一期,探索AI如何重塑日常科技與用戶體驗
- 算力爆發遇上電源革新,大聯大世平集團攜手晶豐明源線上研討會解鎖應用落地
- 創新不止,創芯不已:第六屆ICDIA創芯展8月南京盛大啟幕!
- AI時代,為什麼存儲基礎設施的可靠性決定數據中心的經濟效益
- 矽典微ONELAB開發係列:為毫米波算法開發者打造的全棧工具鏈
技術白皮書下載更多>>
- 車規與基於V2X的車輛協同主動避撞技術展望
- 數字隔離助力新能源汽車安全隔離的新挑戰
- 汽車模塊拋負載的解決方案
- 車用連接器的安全創新應用
- Melexis Actuators Business Unit
- Position / Current Sensors - Triaxis Hall
熱門搜索
微波功率管
微波開關
微波連接器
微波器件
微波三極管
微波振蕩器
微電機
微調電容
微動開關
微蜂窩
位置傳感器
溫度保險絲
溫度傳感器
溫控開關
溫控可控矽
聞泰
穩壓電源
穩壓二極管
穩壓管
無焊端子
無線充電
無線監控
無源濾波器
五金工具
物聯網
顯示模塊
顯微鏡結構
線圈
線繞電位器
線繞電阻



