MOSFET驅動電阻的選擇
發布時間:2011-07-27
中心議題:
- MOSFET驅動電阻的選擇
等效驅動電路:

L為PCB走線電感,根據他人經驗其值為直走線1nH/mm,考慮其他走線因素,取L=Length+10(nH),其中Length單位取mm。
Rg為柵極驅動電阻,設驅動信號為12V峰值的方波。
Cgs為MOSFET柵源極電容,不同的管子及不同的驅動電壓時會不一樣,這兒取1nF。
VL+VRg+VCgs=12V
令驅動電流
得到關於Cgs上的驅動電壓微分方程:

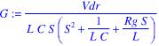
用拉普拉斯變換得到變換函數:
這是個3階係統,當其極點為3個不同實根時是個過阻尼震蕩,有兩個相同實根時是臨界阻尼震蕩,當有虛根時是欠阻尼震蕩,此時會在MOSFET柵極產生上下震蕩的波形,這是我們不希望看到的,因此柵極電阻Rg阻值的選擇要使其工作在臨界阻尼和過阻尼狀態,考慮到參數誤差實際上都是工作在過阻尼狀態。
根據以上得到
,因此根據走線長度可以得到Rg最小取值範圍。
分別考慮20m長m和70mm長的走線: L20=30nH,L70=80nH, 則Rg20=8.94Ω,Rg70=17.89Ω,
以下分別是電壓電流波形:

[page]

可以看到當Rg比較小時驅動電壓上衝會比較高,震蕩比較多,L越大越明顯,此時會對MOSFET及其他器件性能產生影響。但是阻值過大時驅動波形上升比較慢,當MOSFET有較大電流通過時會有不利影響。

此外也要看到,當L比較小時,此時驅動電流的峰值比較大,而一般IC的驅動電流輸出能力都是有一定限製的,當實際驅動電流達到IC輸出的最大值時,此時IC輸出相當於一個恒流源,對Cgs線性充電,驅動電壓波形的上升率會變慢。電流曲線就可能如左圖所示(此時由於電流不變,電感不起作用)。這樣可能會對IC的可靠性產生影響,電壓波形上升段可能會產生一個小的台階或毛刺。

一般IC的PWM OUT輸出如左圖所示,內部集成了限流電阻Rsource和Rsink,通常Rsource>Rsink,具體數值大小同IC的峰值驅動輸出能力有關,可以近似認為R=Vcc/Ipeak。一般IC的驅動輸出能力在0.5A左右,因此Rsource在20Ω左右。
由前麵的電壓電流曲線可以看到一般的應用中IC的驅動可以直接驅動MOSFET,但是考慮到通常驅動走線不是直線,感量可能會更大,並且為了防止外部幹擾,還是要使用Rg驅動電阻進行抑製。考慮到走線分布電容的影響,這個電阻要盡量靠近MOSFET的柵極。
關於Rg、L對於上升時間的影響:(Cgs=1nF,VCgs=0.9*Vdrive)

可以看到L對上升時間的影響比較小,主要還是Rg影響比較大。上升時間可以用2*Rg*Cgs來近似估算,通常上升時間小於導通時間的二十分之一時,MOSFET開關導通時的損耗不致於會太大造成發熱問題,因此當MOSFET的最小導通時間確定後Rg最大值也就確定了
,一般Rg在取值範圍內越小越好,但是考慮EMI的話可以適當取大。
以上討論的是MOSFET ON狀態時電阻的選擇,在MOSFET OFF狀態時為了保證柵極電荷快速瀉放,此時阻值要盡量小,這也是Rsink<Rsource的原因。通常為了保證快速瀉放,在Rg上可以並聯一個二極管。當瀉放電阻過小,由於走線電感的原因也會引起諧振(因此有些應用中也會在這個二極管上串一個小電阻),但是由於二極管的反向電流不導通,此時Rg又參與反向諧振回路,因此可以抑製反向諧振的尖峰。這個二極管通常使用高頻小信號管1N4148。

實際使用中還要考慮MOSFET柵漏極還有個電容Cgd的影響,MOSFET ON時Rg還要對Cgd充電,會改變電壓上升斜率,OFF時VCC會通過Cgd向Cgs充電,此時必須保證Cgs上的電荷快速放掉,否則會導致MOSFET的異常導通。
- 噪聲中提取真值!瑞盟科技推出MSA2240電流檢測芯片賦能多元高端測量場景
- 10MHz高頻運行!氮矽科技發布集成驅動GaN芯片,助力電源能效再攀新高
- 失真度僅0.002%!力芯微推出超低內阻、超低失真4PST模擬開關
- 一“芯”雙電!聖邦微電子發布雙輸出電源芯片,簡化AFE與音頻設計
- 一機適配萬端:金升陽推出1200W可編程電源,賦能高端裝備製造
- 貿澤EIT係列新一期,探索AI如何重塑日常科技與用戶體驗
- 算力爆發遇上電源革新,大聯大世平集團攜手晶豐明源線上研討會解鎖應用落地
- 創新不止,創芯不已:第六屆ICDIA創芯展8月南京盛大啟幕!
- AI時代,為什麼存儲基礎設施的可靠性決定數據中心的經濟效益
- 築基AI4S:摩爾線程全功能GPU加速中國生命科學自主生態
- 車規與基於V2X的車輛協同主動避撞技術展望
- 數字隔離助力新能源汽車安全隔離的新挑戰
- 汽車模塊拋負載的解決方案
- 車用連接器的安全創新應用
- Melexis Actuators Business Unit
- Position / Current Sensors - Triaxis Hall





