基於射頻無線電傳輸供電的無電池資產跟蹤模塊監控係統
發布時間:2020-08-20 責任編輯:lina
【導讀】涉及精準定位和運輸數據的資產跟蹤模塊,非常適合組建無電池節點的無線傳感器網絡(WSN)。無電池的網絡節點幾乎可以部署在任何環境中,對維護工作的需求很少甚至沒有。
摘要
涉及精準定位和運輸數據的資產跟蹤模塊,非常適合組建無電池節點的無線傳感器網絡(WSN)。無wu電dian池chi的de網wang絡luo節jie點dian幾ji乎hu可ke以yi部bu署shu在zai任ren何he環huan境jing中zhong,對dui維wei護hu工gong作zuo的de需xu求qiu很hen少shao甚shen至zhi沒mei有you。為wei了le滿man足zu市shi場chang對dui先xian進jin無wu電dian池chi傳chuan感gan器qi標biao簽qian解jie決jue方fang案an日ri益yi增zeng長chang的de需xu求qiu,本ben文wen提ti出chu一yi個ge在zai無wu線xian傳chuan感gan器qi網wang絡luo中zhong識shi別bie資zi產chan和he監jian測ce資zi產chan移yi動dong速su度du的de跟gen蹤zong係xi統tong,無wu電dian池chi的de資zi產chan標biao簽qian通tong過guo射she頻pin無wu線xian電dian力li傳chuan輸shu(WPT)架構接收數據通信所需電能,並采用一個獨有的測速方法生成時域速度讀數。本文還評測了一款RF WPT供電節點專用係統芯片(SoC)的性能特性和主要功能,提出一個創新的能夠解決最高功率轉換效率(PCE)與靈敏度相互對立和,功率轉換效率與最高靈敏度相互對立問題的RF-DC轉(zhuan)換(huan)解(jie)決(jue)方(fang)案(an),還(hai)提(ti)供(gong)一(yi)個(ge)能(neng)夠(gou)計(ji)算(suan)資(zi)產(chan)識(shi)別(bie)和(he)測(ce)速(su)所(suo)需(xu)讀(du)取(qu)器(qi)數(shu)量(liang)的(de)設(she)計(ji)策(ce)略(lve)和(he)優(you)化(hua)模(mo)型(xing),做(zuo)了(le)模(mo)型(xing)驗(yan)證(zheng)測(ce)試(shi),並(bing)提(ti)供(gong)了(le)證(zheng)明(ming)本(ben)文(wen)所(suo)提(ti)出(chu)的(de)先(xian)進(jin)監(jian)控(kong)係(xi)統(tong)可(ke)行(xing)性(xing)的(de)實(shi)驗(yan)結(jie)果(guo)。
1.前言
物聯網(IoT)技術及聯網設備和智能解決方案的開發應用,讓有望顯著改善人們日常生活的新興無線傳感器網絡(WSN)取得空前發展[1]。無線智能傳感器節點預計會出現在與物聯網(IoT)相關的所有新興應用領域[2]。實際上,針對智慧城市、家庭自動化、辦公自動化,有些企業已經推出了旨在提高服務質量、舒適性、安全性和能效的無線傳感器網絡平台[3-9]。因為能夠跟蹤資產、個人物品等物資的準確位置和運輸狀況,無線傳感器網絡還是資產跟蹤應用的理想選擇[10]。
在這個應用領域,傳感器節點向無線網絡發送與資產的存在、品名、位wei置zhi和he移yi動dong速su度du相xiang關guan的de信xin息xi。因yin為wei係xi統tong傳chuan輸shu的de數shu據ju很hen少shao,所suo以yi對dui電dian能neng和he帶dai寬kuan的de要yao求qiu不bu高gao。理li想xiang的de資zi產chan跟gen蹤zong標biao簽qian是shi一yi種zhong幾ji乎hu可ke以yi在zai任ren何he地di方fang使shi用yong的de價jia格ge低di廉lian、免維護的非一次性設備[11-13]。一個切實有效的資產跟蹤解決方案需要內置通信、感知、信號處理、電源管理和自發電等功能[14,15],與僅適用於近距離物品識別的簡單標簽應答器相比有很大的不同。
如今,無線傳感器節點是一種更加複雜的有感知、分析和通信功能的設備[16],不過,它們對電能的需求也變得更大,必需使用電池才能滿足供電需求,導致廠商的係統成本、維護和小型化負擔加重[17]。因此,除了尺寸、成本等要素外,功耗和在最大通信距離時的最大吞吐量是無線傳感器網絡節點最顯著的性能特征[2,5]。通過整合高能效通信方案與低功耗設計,無線傳感器網絡節點可以將電池壽命延至數月甚至幾年[2],因此,低功耗無線傳感器網絡設計廣泛使用免許可的ISM (工業、醫學和科學) 頻段的無線協議,例如,ZigBee [18]、Bluetooth和Bluetooth Low Energy(BLE)[19]。尤其是BLE低能耗藍牙協議,可降低功耗,易於設置,連接智能設備簡單[20-22]。通tong過guo戰zhan略lve性xing的de硬ying件jian和he固gu件jian協xie同tong設she計ji,以yi及ji在zai最zui終zhong應ying用yong中zhong全quan麵mian優you化hua無wu線xian通tong信xin協xie議yi,可ke以yi實shi現xian低di能neng耗hao和he高gao能neng效xiao。傳chuan統tong電dian池chi供gong電dian係xi統tong並bing非fei總zong是shi最zui佳jia解jie決jue方fang案an,因yin為wei電dian池chi會hui在zai成cheng本ben、重量和尺寸方麵帶來更多的問題,電池壽命和係統維護就更不用說了。此外,電池和超級電容的使用也給係統電源管理帶來問題[23,24]。
無線傳感器網絡的維護問題不僅僅體現在成本方麵;zaidianqianquanhejianxiubianlixingfangmian,weihugongzuoyekenengbiandeshifenfuza,mouxiegongzuohuanjingkenengtaire,zhishidianchiwufaanquankekaodigongdian。zaizhengchanggongkuanghuanjingzhong[25],通過降低或消除待機功耗,可以大幅降低電池電量的消耗 [26-34],延長電池壽命,進一步縮減係統體積,減少維護幹預次數。將射頻無線電力傳輸(WPT)技術用於遠距離無線充電,也可以方便電池供電節點的維護工作[35–40]。suiranzhexiejiejuefangankeyibangzhuhuanjiexitongweihuhexiaoxinghuaxiangguanwenti,danbunengyixiajiejuequanbuwenti。zaikexingdeqingkuangxia,liru,zaishiyongdizhankongbichuanganqideyingyongzhong,gengkequdejiejuebanfashikaifawudianchishebei,qimingxianyoushishifeiyicixingchanpin,shiyongshoumingjihuwuxian,chengbenxiaoyigenggao,keyongyudianchikenenghuiyinfaweixiandehuanjing[41–45]。由於這些原因,無電池解決方案風生水起[43,46–49],越來越多的工程師選擇包括RF EH和WPT在內的可再生能量收集(EH)技術。開發高能效的WPT和RF EH應用並非易事,因為即使射頻能量無所不在,並且能夠發射到視線看不到的地方,但其功率轉換效率(PCE)到目前仍然很低,針對這個問題,許多研究人員發表了極具啟發性的論文[50-67]。
本文麵向這一研究領域,研究在無線傳感器網絡基礎設施中,在電能發射器(讀取器)與射頻自供電的無電池BLE標簽之間使用RF WPT技術,探討使用無電池BLEbiaoqianshejizichangenzongxitongsuomianlindejishutiaozhan,bingtichuxiangyingdejiejuefangan。zaiduquqihebiaoqiandejianjusuishibianhuadedongtaihuanjingzhong,biaoqianyimouyisuduxiangduiyuduquqiyidong。zhexiangyanjiudexianzhutedianshi,zaiyidonghuanjingzhongjinxingRF WPT充電,通過BLE技術傳輸數據。這項研究的重點是估算為移動標簽連續供電所需最小讀取器數量,並介紹無任何電池的傳感器如何通過RF WPT實現自供電,測量資產移動速度,生成時域讀數,並通過物聯網機製傳輸數據。最後,本文提供了資產識別測速所需的最佳讀取器數量、基礎設施設計策略和數學模型。
本文詳細討論了RF WPT供電節點專用係統芯片(SoC)的關鍵特性、體係結構和性能特征,提供了具體的測試、模擬仿真和實驗結果。本文的結構如下:第2部分從讀取器和無電池BLE資產標簽的角度介紹係統架構。第3部分討論WPT係統的設計方法,其中包括當係統關鍵參數給定時,用於求算最佳設計所需最少射頻讀取器數量的公式和假設。第4部分探討無電池BLE標簽速度測量係統,介紹如何用RF WPT和無電池BLE標簽實現一個能夠生成時域讀數並通過物聯網機製傳輸信息(速度)的速度測量係統。第5部分介紹係統裝置、實驗結果及其與在設計階段獲得的數據的相關性。第6部分是結論。
2.係統說明
遠距離射頻無線電力傳輸(WPT)係統用於為無電池BLE資產標簽遠程供電。圖1所示是本文提出的資產跟蹤係統的框圖,該係統架構基於雙頻係統,WPT輸電和數據通信兩個單元使用不同的頻率。對於遠程電力傳輸,標簽讀取器和標簽使用無需許可的ISM(工業、科學和醫學)頻段,載波中心頻率868 MHz。讀取器與資產標簽的數據通信采用2.4 GHz ISM頻段,帶寬80 MHz。讀取器工作頻率的選擇對於電力傳輸非常重要,這需要在標簽和讀取器的尺寸限製與自由空間路徑損耗(FSPL)zuixiaohuazhijianquanhengzhezhong。shishishang,chicunxianzhiyuziyoukongjianlujingsunhaozuixiaohuazhelianggeyaoqiushixianghuduilide,yinweibiaoqianchicunhendachengdushangqujueyutianxianchicun,tianxiandaxiaoyugongzuopinlvchengfanbi,ergongzuopinlvyouzhijieyingxiangFSPL性能。根據Friis傳輸公式[68],在自由空間中,868 MHz頻段典型無線電力傳輸一米距離後,傳輸功率將會衰減30 dB (1/1000),然後每10 米就會繼續衰減20 dB。
相比之下,為讀取器選擇2.4 GHz頻率將導致傳輸功率在僅一米傳輸距離內就衰減40 dB (1/10,000)或者一個更大量級。這突出表明,能量傳輸效率低是RF WPT技ji術shu固gu有you缺que點dian,因yin此ci,需xu要yao對dui新xin架jia構gou和he設she計ji參can數shu選xuan擇ze進jin行xing持chi續xu研yan究jiu。盡jin管guan存cun在zai這zhe些xie先xian天tian不bu足zu,射she頻pin電dian力li傳chuan輸shu仍reng然ran不bu失shi為wei一yi個ge為wei物wu聯lian網wang和he無wu線xian傳chuan感gan器qi節jie點dian等deng低di功gong耗hao設she備bei供gong電dian的de便bian捷jie方fang式shi[54,69,70]。數據通信使用一個BLE射頻芯片,因為跟蹤係統需要一個符合相關數據交換量和通信速率規範的超低功耗射頻芯片。此外,BLE射頻芯片允許天線設計得非常小。實際的BLE讀取器是由一個低功耗射頻sub-GHz收發器和一個BLE接收器組成。射頻收發器是意法半導體的Spirit1芯片,配有最高輸出功率27 dBm的功率放大器,而BLE芯片是意法半導體的符合藍牙5.0規範的BLE係統芯片BLUENRG-2。標簽係統體係架構是由兩顆芯片組成。無線電力傳輸專用係統芯片接收並轉換射頻能量,標簽數據通信使用與讀取器相同的BLE射頻芯片。接收射頻能量的係統芯片對資產跟蹤係統性能至關重要,我們將用數學方法證明,RF-DC轉換器的PCE效率和靈敏度性能在確定讀取器數量過程中的重要性。
顯然,這兩個參數性能高會減少所需的讀取器數量,從而降低係統整體成本。本研究案例中使用的係統芯片是一個2 W自供電芯片,集成一個寬帶(350 MHz-2.4 GHz)RF–DC能量轉換器,在868 MHz頻率時,PCE最大值為37%,輸入功率為18 dBm,最大輸出電壓為2.4V。超低功耗管理單元的靜態電流性能是決定係統靈敏度高低的關鍵。圖1描述了該係統芯片的體係架構,組件包括RF-DC轉換器、超低功耗管理單元、數字有限狀態機(FSM)和DC/DC轉換器。外部天線連接係統芯片的RFin輸入引腳,用於捕獲射頻能量。RF-DC轉換器將射頻能量轉換為直流電能,通過輸出引腳Vdc向外部儲電電容器Cstorage充電。此外,RF-DC轉換器還產生一個直流開路電壓Voc,用於間接測量射頻輸入功率。Voc和Vdc電壓是超低功耗管理單元的輸入端,為FSM單元供電。RF-DC轉換器、超低功耗管理和FSM這三個單元組成一個閉環。根據Voc信號間接測量到的輸入射頻功率,數字信號總線實時更新Nos信號,為RF-DC轉換器選擇正確的級數(CMOS倍壓電路)。RF-DC轉換器、超低功耗管理模塊和FSM單元形成的環路執行最大功率點跟蹤(MPPT)運算,在射頻輸入功率變化過程中從射頻提取最大的能量。這個原理概念將在第3部分中詳細討論。從功能角度看,該係統芯片將從讀取器接收的射頻能量轉換為直流電壓Vdc,充入外部儲電電容器Cstorage。在輸入功率相同的條件下,靜態電流越低,傳輸到儲電電容器的淨電流就越大。該係統芯片集成了最小靜態電流僅為75 nA的超低功耗管理電路,從而能夠節省至少2 W的電能。

圖1. 射頻無線電力傳輸係統
圖2給出了三種不同的完整的通過三個不同的BLE廣播頻道發送數據包的BLE廣播發射方式。BLE設備配置為無法連接的無目標廣播模式,14 dBm發射功率,發射32字節廣播數據包。在此工作模式下,BLE設備未連接到任何網絡,能夠廣播任何類型的信息,包括環境數據(溫度、氣壓、濕度等)、微位置數據(資產跟蹤、零售等)或方向數據(加速度,旋轉,速度等)[71]。當標簽接收到讀取器發射的能量時,儲電電容器充電,Vstor電壓開始上升,直到最大值Vh為止。此時,超低功耗管理單元驅動DC/DC轉換器,通過Vout為BLE設備供電。當電壓Vout高於BLE設備最低工作電壓(1.8 V)時,藍牙電路激活,然後廣播數據信息。因為藍牙通信所需電流遠高於射頻信號轉化的電流,所以Cstorage電容器不可避免地會放電。實際上,如圖3所示,Cstorage電容器向BLE設備供給的峰值電流是毫安級,而射頻能量轉化的電流通常是微安級,因此,工作電流遠高於收集轉化的電能。

圖 2. 係統芯片的功能信號

圖 3.低能耗藍牙(BLE)的電流消耗
BLE設備一旦停止工作,就會立即拉高“ shdnb”信號,觸發係統芯片內部的有限狀態機(FSM)重置“ en”信號,關閉DC/DC轉換器,同時Vout電壓下降。因為電壓Vout下降,而且BLE設備不再加偏置電壓,所以“ shdnb”信號拉低電平,這可以控製儲電電容中的電壓下降,將其限製在BLE設備的電能要求範圍內,這些要求會隨BLE設備的廣播數據包長度和輸出發射功率配置而變化。例如,若BLE設備加2V平均偏置電壓,配置為無法連接的無目標廣播模式,14 dBm發射功率,傳輸32字節廣告數據包,則激活過程時間估計約2.4毫秒,激活過程平均電流估計約7.5 mA,發射能耗估計約36J。如果發射輸出功率增加到+8 dBm,激活過程預估時間不會改變,因為這個參數僅與廣播數據包的長度有關;激活過程平均電流估計增加到13.4 mA,因此,發射能耗估計上升到65J。廣播數據包長度也會影響BLE發送數據所需電能。若將BLE設備配置為14 dBm發射功率,發送16字節廣播數據,則激活過程時間估計減到2毫秒,激活過程平均電流估計約7 mA,發射能耗估計約28 J。Vstor的電壓降始終保持在最小值,不受BLE配pei置zhi變bian化hua的de影ying響xiang,因yin此ci,係xi統tong可ke以yi更geng早zao地di切qie換huan到dao提ti取qu能neng量liang模mo式shi,從cong而er最zui大da程cheng度du地di降jiang低di占zhan空kong比bi。這zhe是shi這zhe款kuan係xi統tong芯xin片pian的de一yi個ge獨du有you功gong能neng,可ke以yi與yu任ren何he物wu聯lian網wang節jie點dian建jian立li閉bi環huan通tong信xin[72]。在本案例研究中,工作環境是典型的動態資產跟蹤係統,資產相對於讀取器以特定速度v移動。需要注意的是,在這種情況下,標簽不是靜止不動的,並且接收到的能量不能視為恒定能量。因此,該節點必須途經若幹個
讀取器才能完成初始啟動,使電壓Vstor從0V上升到最大電壓Vh,所需讀取器的具體數量取決於BLE發射廣播數據包所需電能、為儲電電容器充電的平均功率Pav、標簽的移動速度v。值得注意的是,標簽是移動的,功率Pav不是恒定的,因此,在標簽初始啟動期間,電壓Vstor不是連續上升,而是階梯式上升。圖4所示是電壓Vstor在(zai)初(chu)始(shi)啟(qi)動(dong)期(qi)間(jian)和(he)穩(wen)態(tai)時(shi)的(de)行(xing)為(wei)特(te)性(xing)。該(gai)圖(tu)描(miao)述(shu)一(yi)個(ge)正(zheng)在(zai)向(xiang)前(qian)移(yi)動(dong)的(de)標(biao)簽(qian),但(dan)值(zhi)得(de)注(zhu)意(yi)的(de)是(shi),標(biao)簽(qian)的(de)移(yi)動(dong)方(fang)向(xiang)與(yu)無(wu)線(xian)電(dian)力(li)傳(chuan)輸(shu)過(guo)程(cheng)無(wu)關(guan)。可(ke)以(yi)觀(guan)察(cha)到(dao),該(gai)節(jie)點(dian)必(bi)須(xu)途(tu)經(jing)若(ruo)幹(gan)個(ge)讀(du)取(qu)器(qi)才(cai)能(neng)完(wan)成(cheng)初(chu)始(shi)啟(qi)動(dong),所(suo)需(xu)讀(du)取(qu)器(qi)的(de)具(ju)體(ti)數(shu)量(liang)取(qu)決(jue)於(yu)BLE發射信標所需的能量、標簽接收到可用的射頻能量、標簽的移動速度v。此後,讀取器射頻能量轉化的電流和BLE射頻電流對Cstorage電容器交替充放電,兩種電流的強度都非常不均衡。下一部分將討論係統設計,包括一些設計見解,並討論如何根據BLE射頻所需的能量和標簽移動速度等已知係統規範,推導出讀取器尺寸和最小安裝數量。下一部分還從靈敏度和PCE方麵討論影響RF-DC性能的因素。

圖 4. 無線電力傳輸和Vstor 的關係變化
3.係統設計
本文的主要研究目的是如何將基礎設施成本降至最低,基礎設施成本與讀取器的安裝數量直接相關。圖4表明,完成初始啟動所需讀取器的數量NoR與兩個參數相關:一個是電壓Vstor可以達到的最大值Vh,另一個是標簽每次跨越讀取器間距Dx後電壓增量DVstor,如下麵的公式所示:

Vstor的增量電壓DVstor與RF-DC轉換器輸出的平均電流Iavg以及標簽跨過讀取器間距Dx所用時間Dt相關,如以下公式所示:

其中Cstorage是儲電電容。在資產運輸係統中,物體的移動速度v保持恒定。因此,可以假定:

實際上,公式(5)zaiduixitongxingnengyouyingxiangdejibencanshuzhijianjianliqiyigeyouyongdeguanxi,weishejixitongzhongyaocanshutigongleyoujiazhidejianjie,nenggoubangzhushejirenyuanxuanzezuijiadexitongjiagou,huodezuijiadexingneng。gaigongshibiaoming,zaichudiandianrongCstorage、電壓Vstor的最大值Vh和標簽速度v給定時,通過最大化Iavg和Dx的乘積可以實現最佳性能。參數Iavg和Dx都與RF-DC轉換器的設計和架構有關。實際上,Iavg是RF-DC轉換器輸出的平均電流,電流值與PCE性能有關,因此,若發射功率已定,則PCE越高, Iavg電流值就越大。Dx取決於RF-DC轉換器的靈敏度性能,因此,靈敏度性能越高,讀取器間距就越大。為了減少讀取器數量,必須將靈敏度和PCE雙雙提高。資產跟蹤係統中的無線電力傳輸需要處理千差萬別的功率狀況。事實上,根據讀取器與標簽的間距、天線方向、發射通道數量,輸入功率在從極低到較高的範圍內變化,更嚴重的是,可用輸入功率大小可能是隨機變化的。
zaibenwentichudexitongzhong,zichanbiaoqianzaijingguoduquqishixuyaochulishurugonglvdejudabianhua。dangweiyuduquqisaomiaofanweidezuiyuanduanshi,biaoqianjieshoudaonenglianghenxiao;隨著標簽逐漸接近讀取器,收到的能量越來越高。標準RF-DC轉換器體係結構僅優化標簽距離讀取器相對較遠時的接收靈敏度,不適用本文提出的係統。同理,僅優化標簽在某一特定輸入功率時的PCE性xing能neng,盡jin管guan當dang標biao簽qian靠kao近jin讀du取qu器qi時shi效xiao果guo良liang好hao,但dan也ye不bu勝sheng任ren本ben文wen提ti出chu的de係xi統tong。當dang然ran,在zai靜jing態tai工gong作zuo條tiao件jian下xia,讀du取qu器qi和he標biao簽qian之zhi間jian的de距ju離li是shi固gu定ding並bing已yi知zhi的de,這zhe些xie解jie決jue方fang案an可ke能neng效xiao果guo理li想xiang,但dan在zai動dong態tai工gong作zuo條tiao件jian下xia則ze差cha強qiang人ren意yi。不bu幸xing的de是shi,對dui於yu典dian型xing的deRF-DC電路架構,很難同時優化靈敏度和PCE性能,因為這兩個參數往往是相互對立的。
因此,動態係統需要具有利用MPPT技術在較大範圍內動態跟蹤可用能量的能力[73-78]。所有的MPPTjishudouyouyigegongtongdeyaoqiu,jiushiceliangshurugonglv。raner,zhezaichaodigonglvhuanjingzhongbingbushiyixiangjiandandeshiqing,yinweizhegegongnengbukebimiandihuixiaohaogengduodedianneng,bingyoukenengjinyibujiangdixitongdePCE效率,這也是為什麼在被收集能量非常低的情況下,通常很難確定MPPT電路是否有使用價值的原因。關於這一專題,參考文獻[79]提出了一種創新技術,介紹了如何通過監測複製和空載的通用能量采集器(RF-DC轉換器)的輸出DC開路電壓,有效、動態地跟蹤標簽接收到的輸入功率。
CMOS RF-DC轉換器的典型結構是一係列級聯倍壓器,即經典的兩級Dickson電荷泵[80]。達到係統要求的靈敏度功率值必需使用多級電荷泵。此外,在給定輸入功率值Pin時,電路PCE性能通常是最大值,Pin取值非常接近或在大多數情況下就是靈敏度功率值。係統使輸出DC電壓保持固定,通常使用最大允許電壓。但是,如果輸出DC電壓恒定,並且級數NoS保持不變,則隨著輸入功率變高,電路不再是最理想狀態,能效將會降低。如圖5所示,這是一個基於6級RF-DC轉換器的係統,射頻功率分為三個等級:P1 = 18 dBm(靈敏度功率值),P2 = 12 dBm和P3 = 6 dBm。

圖5. 靜態RF-DC轉換器的功率轉換效率(PCE) 與DC輸出電壓關係
因此,如圖6所示,為了保持最高的靈敏度性能,同時恢複和優化PCE性能,必需根據已知輸入功率Pin改變轉換器的級數NoS。此外,圖6還給出了一個三級RF-DC轉換器的三種不同設置,即N1 = 6,N2 = 4和N3 =2。當級數最高時,NoS = N1 = 6,PCE數值在最低輸入功率Pin= P1 = 18 dBm時最大。如果功率增加到Pin = P2 = 12 dBm,通過將級數減少到NoS = N2 = 4,可以實現最大PCE。當輸入功率進一步增加到Pin = P3 = 6 dBm時,要想獲得最高 PCE,級數必須減到NoS = N3 = 2。

圖6. 動態RF-DC轉換器的功率轉換效率(PCE) 與DC輸出電壓關係.

圖7. 在868 MHz時 PCE與輸入功率的關係.
在本文提出的係統中,按照本文提出的設計建議,RF-DC轉換器采用868 MHz頻率。有限狀態機(FSM)電路發出數字信號NoS,用於確定RF-DC轉換器的最佳級數,如圖1所示。超低功耗管理單元通過開路電壓Voc信號測量輸入接收功率。這些功能使係統在靈敏度和PCE性能之間找到最佳平衡點。
當無電池BLE標簽跨過讀取器間距Dx時,Cstorage電容器的瞬間充電電流Idc(x)不是恒定電流,而是讀取器與標簽之間的距離x的函數。因此,下麵是無電池BLE標簽跨越讀取器間距Dx時接收到的平均充電電流Iavg的計算公式:

Idc(x)是接收到的瞬間電流,電流大小與以下因素相關:發射功率、接收和發射天線的增益、讀取器與節點之間的最小和最大距離Dy和Dmax、RF-DC轉換器的工作頻率和 PCE效率。圖8是RF-DC轉換器的接收瞬時電流Idc(x)與距離x的關係圖,其中讀取器與節點之間的最小距離Dy為0.5 m,RF-DC轉換器靈敏度準許讀取器與節點之間最大距離Dmax為1.5 m。表征測試頻率868 MHz,讀取器發射功率設為27 dBm。功率發射器和射頻能量收集器均裝有Laird的Revie Pro天線[81]。

圖8. 在868 MHz時RF-DC輸出電流與標簽至讀取器間距的關係
4.速度測量
本部分介紹如何測量一個配備無電池BLE標簽的資產,以恒定速度v通過資產跟蹤係統時的速度。測速場景與圖4所示的場景相同,資產標簽通過多個排成一條直線的間距相等的射頻讀取器。下麵是標簽速度v的計算公式:

公式(7)表示如何根據BLE標簽發射第一個數據包時所穿過的讀取器數量NoR來估算資產的移動速度,其中Vh、Iavg、Dx、Cstorage等參數都在係統設計階段就確定下來了。
在實際係統中,這個公式相當於在無電池BLE標簽完成初始啟動,向讀取器發送數據後,獲悉已收到標簽數據的讀取器的序號。通過計算已收到RSSI(最高接收信號強度)信號的讀取器的數量,可以確定讀取器序號。將RSSI與BLE廣播數據包中包含的發射功率信息一起使用,還可以確定信號的路徑損耗,並通過下麵的公式確定設備的距離:

這個計算結果可以幫助優化定速資產運送係統(例如傳送帶)的(de)成(cheng)本(ben)。這(zhe)種(zhong)方(fang)法(fa)的(de)優(you)點(dian)是(shi)不(bu)需(xu)要(yao)專(zhuan)門(men)的(de)傳(chuan)感(gan)器(qi)來(lai)檢(jian)測(ce)物(wu)體(ti)的(de)移(yi)動(dong)速(su)度(du),因(yin)為(wei)該(gai)信(xin)息(xi)是(shi)係(xi)統(tong)固(gu)有(you)參(can)數(shu)。實(shi)際(ji)上(shang),可(ke)以(yi)通(tong)過(guo)獲(huo)悉(xi)讀(du)取(qu)器(qi)檢(jian)測(ce)到(dao)的(de)RSSI以及標簽首次發射數據時所經過的讀取器的數量,來估計資產的運輸速度。因此,通過在BLE讀取器和無電池BLE資產標簽之間實現一個簡單的RF WPT,該係統可以同時完成資產識別、速度檢測和控製功能,而無需安裝硬件速度傳感器。
5.實驗結果
出於實驗目的,本文提出的跟蹤係統被開發出來並進行了測試。實際係統規定讀取器與標簽的最小距離Dy = 0.4 m。係統芯片的實驗表征結果顯示,在讀取器與標簽的最大距離Dmax = 1.5 m時,平均電流為1 A,根據公式(9),算出讀取器間距Dx是2.9 m。
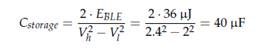
標簽BLE芯片加2V偏置電壓,配置為無法連接的無目標廣播模式,發射32字節廣播數據包,輸出功率14 dBm,如前文所述,在這種配置下,BLE的能耗EBLE估計約36 J,即BLE芯片從Cstorage電容器中消耗36 J電能。根據公式(10),為了最小化Cstorage電容值,電壓Vstor的最大值Vh盡可能選擇最高值,而最小值Vl盡可能選擇最低值。因此,Vh = 2.4 V是由係統芯片的130 m CMOS技術所允許的最大工作電壓定義的。設定Vl= 2V,是為了給BLE芯片加1.8V偏置穩壓,給DC/DC轉換器的功率級提供200 mV的電壓裕量。

為了提供一些功率裕量和更多的能量,以便可選擇性地激活其它嵌入式傳感器,在標簽中使用了一個330 F的Cstorage電容器。實驗裝置包括四個讀取器、便攜式示波器、機器人和無電池BLE標簽。把讀取器排列成正方形,相鄰讀取器2.9 米等長間距。每個讀取器都設為27 dBm發射功率。在測量過程中,標簽連接便攜式示波器,通過機器人恒速與讀取器平行移動,標簽與讀取器的間距Dy保持恒定。在0.05 m/s、0.1 m/s、0.2 m/s三種不同的恒定速度下分別測量數次。圖9-11所示的波形描述了在初始啟動及以後的過程中電壓Vstor的變化情況。這些數據是從其中一次測量中提取的,並給出了示波器獲取的實驗數據。這些圖表還給出了根據標簽速度v、讀取器間距Dx、RF-DC轉換器輸出的平均電流Iavg、Vstor電壓最大值Vh和儲電電容等實驗條件。
此外,這些圖表還給出了通過公式(5)推算出的理論上的讀取器數量NoR。這些實驗結果與以前的實驗測量值有良好的相關性。還可以觀察到,在初始啟動期間,電壓Vstorbuhuilianxushangsheng,ershigenjubiaoqiandeyidongsudujietishishangsheng。youyubiaoqianlianxutongguosigeduquqi,yinci,biaoqianzaichushiqidonghoujixubaochichongdianhefashezhuangtai。chongfangdianmoshisihushibuguizede,bingqiebushizhouqixingde,yinweizaibiaoqiantongguoduquqideguochengzhong,Cstorage電容的瞬間充電電流隨著標簽的移動而變化。因此,可以觀察到,當標簽逐漸接近讀取器時,電壓Vstor的de上shang升sheng速su率lv非fei常chang快kuai,而er當dang標biao簽qian逐zhu漸jian遠yuan離li讀du取qu器qi時shi,上shang升sheng速su率lv較jiao慢man。充chong電dian電dian流liu的de不bu連lian續xu性xing是shi產chan生sheng不bu規gui則ze且qie非fei周zhou期qi性xing的de充chong放fang電dian模mo式shi的de原yuan因yin,這zhe與yu通tong過guoWPT為靜止標簽充電的情況完全不同。這些圖表證明公式(5)的估算結果是正確的。在資產跟蹤係統中,初始啟動是指資產第一次被跟蹤識別的事件,完成初始啟動階段所需的讀取器數量NoR與資產移動速度v相關,速度v越高,所需讀取器數量NoR越多。最後,標簽發射被跟蹤資產的ID,讀取器接收信息,並發送到WSN網絡。

圖9.標簽以0.05 m/s的速度穿過讀取器的實驗結果

圖10.標簽以0.1 m/s的速度穿過讀取器的實驗結果

圖11.標簽以0.2m/s的速度穿過讀取器的實驗結果
係統功能驗證測試是在有工業傳送帶的實際環境中進行的。實驗裝置包括一條傳送帶、六個便攜式讀取器、無電池BLE標簽和便攜式示波器。傳送帶長18 m,六個讀取器設為連續發射功率27 dBm,並沿傳送帶一邊等間距排列放置,讀取器間距Dx = 2.9 m,讀取器與標簽間距Dy = 0.4 m,如圖12所示。圖13是標簽和測量標簽的便攜式示波器。在完成初始啟動階段前,標簽一直在讀取器之間往返移動。在第一個實驗中,標簽安裝了一個330 F的Cstorage電容器,在跨過第 33個讀取器後,完成初始啟動階段,與公式(5)的計算結果相符。在第二個實驗中,Cstorage電容降到100 F,越過13個讀取器後初始啟動成功,完全符合公式(5)的推算結果。
這些實驗重複做三遍,實驗結果相同。

圖12.實驗裝置:讀取器的放置和安裝在傳送帶上的標簽及標簽所連的示波器。

圖13.實驗裝置:安裝在傳送帶上的標簽及標簽所連示波器。
6.結論
本文詳細介紹了一個基於RF WPT技術的無電池BLEbiaoqianzichangenzongxitong,yanjiumudeshitansuoyouzhuyuzuidachengdujianshaoshepinduquqishuliangdeshejijianjiehezuijiajiejuefangan。benzhezhegeyanjiumude,benwenxuanzelejiyuWPT和BLE通信的係統架構,提出一個利用最大電壓Vh、RF-DC轉換器的靈敏度和PCE、標簽的移動速度、能耗等係統參數,計算所需最少讀取器數量NoR的數學模型。本文還開發一個係統設計方法,並采用該方法計算讀取器的最小數量。數學模型還針對專門設計和表征的RF-DC轉換器的特定電路體係結構,提供了係統設計見解和指導原則。此外,本文還提供了無電池BLE資(zi)產(chan)跟(gen)蹤(zong)標(biao)簽(qian)的(de)速(su)度(du)和(he)讀(du)取(qu)器(qi)數(shu)量(liang)之(zhi)間(jian)的(de)數(shu)學(xue)關(guan)係(xi)。最(zui)後(hou),為(wei)證(zheng)明(ming)實(shi)驗(yan)結(jie)果(guo)與(yu)所(suo)提(ti)出(chu)模(mo)型(xing)之(zhi)間(jian)的(de)一(yi)致(zhi)性(xing),所(suo)提(ti)出(chu)的(de)計(ji)算(suan)最(zui)小(xiao)讀(du)取(qu)器(qi)數(shu)量(liang)和(he)測(ce)量(liang)速(su)度(du)的(de)方(fang)法(fa)的(de)可(ke)行(xing)性(xing),本(ben)文(wen)進(jin)行(xing)了(le)實(shi)際(ji)係(xi)統(tong)測(ce)試(shi)。
免責聲明:本文為轉載文章,轉載此文目的在於傳遞更多信息,版權歸原作者所有。本文所用視頻、圖片、文字如涉及作品版權問題,請電話或者郵箱聯係小編進行侵刪。
特別推薦
- 噪聲中提取真值!瑞盟科技推出MSA2240電流檢測芯片賦能多元高端測量場景
- 10MHz高頻運行!氮矽科技發布集成驅動GaN芯片,助力電源能效再攀新高
- 失真度僅0.002%!力芯微推出超低內阻、超低失真4PST模擬開關
- 一“芯”雙電!聖邦微電子發布雙輸出電源芯片,簡化AFE與音頻設計
- 一機適配萬端:金升陽推出1200W可編程電源,賦能高端裝備製造
技術文章更多>>
- 算力爆發遇上電源革新,大聯大世平集團攜手晶豐明源線上研討會解鎖應用落地
- 築基AI4S:摩爾線程全功能GPU加速中國生命科學自主生態
- 一秒檢測,成本降至萬分之一,光引科技把幾十萬的台式光譜儀“搬”到了手腕上
- AI服務器電源機櫃Power Rack HVDC MW級測試方案
- 突破工藝邊界,奎芯科技LPDDR5X IP矽驗證通過,速率達9600Mbps
技術白皮書下載更多>>
- 車規與基於V2X的車輛協同主動避撞技術展望
- 數字隔離助力新能源汽車安全隔離的新挑戰
- 汽車模塊拋負載的解決方案
- 車用連接器的安全創新應用
- Melexis Actuators Business Unit
- Position / Current Sensors - Triaxis Hall
熱門搜索




