LCR數字電橋工作原理
發布時間:2020-06-15 責任編輯:lina
【導讀】數shu字zi電dian橋qiao就jiu是shi能neng夠gou測ce量liang電dian感gan,電dian容rong,電dian阻zu,阻zu抗kang的de儀yi器qi,這zhe是shi一yi個ge傳chuan統tong習xi慣guan的de說shuo法fa,最zui早zao的de阻zu抗kang測ce量liang用yong的de是shi真zhen正zheng的de電dian橋qiao方fang法fa,隨sui著zhe現xian代dai模mo擬ni和he數shu字zi技ji術shu的de發fa展zhan,早zao已yi經jing淘tao汰tai了le這zhe種zhong測ce量liang方fang法fa,但dan LCR 電橋的叫法一直沿用至今。如果是使用了微處理器的 LCR 電橋則叫 LCR 數字電橋。
數shu字zi電dian橋qiao就jiu是shi能neng夠gou測ce量liang電dian感gan,電dian容rong,電dian阻zu,阻zu抗kang的de儀yi器qi,這zhe是shi一yi個ge傳chuan統tong習xi慣guan的de說shuo法fa,最zui早zao的de阻zu抗kang測ce量liang用yong的de是shi真zhen正zheng的de電dian橋qiao方fang法fa,隨sui著zhe現xian代dai模mo擬ni和he數shu字zi技ji術shu的de發fa展zhan,早zao已yi經jing淘tao汰tai了le這zhe種zhong測ce量liang方fang法fa,但dan LCR 電橋的叫法一直沿用至今。如果是使用了微處理器的 LCR 電橋則叫 LCR 數字電橋。一般用戶又稱這些為:LCR 測試儀、LCR 電橋、LCR 表、LCR Meter 等等。

隨著電路信號不斷“高速”、“高頻”。 我們必須知道 LRC 的實際模型,而不能簡單的看成理想模型。
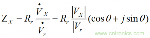
通過精確測量加載到被測件 DUT 的電壓和電流,從而精確測量出 DUT 阻抗值。從圖中可以看出,通過 DUT 的電流等於通過電阻 Rr 的電流,而通過 Rr 的電流可以通過測量 Vr 計算出來。



阻抗的測量歸結為兩個正弦信號的相位差的測量。
在 LCR 數字電橋內部,可以使用相敏檢波器(PSD)分別測出 Vx 和 Vr 對應於某一參考相量的同相量分量和正交分量,然後經模數轉換(A/D)器將其轉化為數字量,再由計算機進行複數運算,即可得到組成被測阻抗 Zx 的電阻值與電抗值。
數(shu)字(zi)電(dian)橋(qiao)隻(zhi)是(shi)繼(ji)承(cheng)了(le)電(dian)橋(qiao)傳(chuan)統(tong)的(de)稱(cheng)呼(hu)。實(shi)際(ji)上(shang)它(ta)已(yi)失(shi)去(qu)傳(chuan)統(tong)經(jing)典(dian)交(jiao)流(liu)電(dian)橋(qiao)的(de)組(zu)成(cheng)形(xing)式(shi),而(er)是(shi)在(zai)更(geng)高(gao)的(de)水(shui)平(ping)上(shang)回(hui)到(dao)以(yi)歐(ou)姆(mu)定(ding)律(lv)為(wei)基(ji)礎(chu)的(de)測(ce)量(liang)阻(zu)抗(kang)的(de)電(dian)流(liu)表(biao)、電壓表的線路和原理中。
如何測量電壓與電流的相位差
方法一:過零比較+時間測量技術

通過用過零點出發一個電平的方式,再測量兩個過零點之間的時間差。

方法二:雙通道同步取樣技術

通過兩路 ADC 采樣後做運算處理分析。

方法三:模擬乘法器

將兩個信號進行乘法。
既然可以獲取角度值,則可以獲得阻抗值。
免責聲明:本文為轉載文章,轉載此文目的在於傳遞更多信息,版權歸原作者所有。本文所用視頻、圖片、文字如涉及作品版權問題,請聯係小編進行處理。
特別推薦
- 噪聲中提取真值!瑞盟科技推出MSA2240電流檢測芯片賦能多元高端測量場景
- 10MHz高頻運行!氮矽科技發布集成驅動GaN芯片,助力電源能效再攀新高
- 失真度僅0.002%!力芯微推出超低內阻、超低失真4PST模擬開關
- 一“芯”雙電!聖邦微電子發布雙輸出電源芯片,簡化AFE與音頻設計
- 一機適配萬端:金升陽推出1200W可編程電源,賦能高端裝備製造
技術文章更多>>
- 一秒檢測,成本降至萬分之一,光引科技把幾十萬的台式光譜儀“搬”到了手腕上
- AI服務器電源機櫃Power Rack HVDC MW級測試方案
- 突破工藝邊界,奎芯科技LPDDR5X IP矽驗證通過,速率達9600Mbps
- 通過直接、準確、自動測量超低範圍的氯殘留來推動反滲透膜保護
- 從技術研發到規模量產:恩智浦第三代成像雷達平台,賦能下一代自動駕駛!
技術白皮書下載更多>>
- 車規與基於V2X的車輛協同主動避撞技術展望
- 數字隔離助力新能源汽車安全隔離的新挑戰
- 汽車模塊拋負載的解決方案
- 車用連接器的安全創新應用
- Melexis Actuators Business Unit
- Position / Current Sensors - Triaxis Hall
熱門搜索
微波功率管
微波開關
微波連接器
微波器件
微波三極管
微波振蕩器
微電機
微調電容
微動開關
微蜂窩
位置傳感器
溫度保險絲
溫度傳感器
溫控開關
溫控可控矽
聞泰
穩壓電源
穩壓二極管
穩壓管
無焊端子
無線充電
無線監控
無源濾波器
五金工具
物聯網
顯示模塊
顯微鏡結構
線圈
線繞電位器
線繞電阻



