MEMS加速度計的振動校正
發布時間:2017-12-08 來源:Long Pham 和 Anthony DeSimone 責任編輯:wenwei
【導讀】高性能MEMS加速度計為各種集成慣性測量的應用提供低成本解決方案。具體例子包括:導航和AHRS係統,用於機器健康狀況檢測的振動監控,基礎設施的結構健康狀況監控,以及用於平台穩定、井下定向鑽探的傾斜監控、施工行業平路機和勘測設備的調平、吊車穩定係統吊杆傾角測量的高精度傾角計。
在大多數此類例子中,加速度計會經受不同幅度的振動。這些應用的另一個不同方麵是振動的頻率成分。振動與傳感器和係統誤差源相結合可能導致振動校正,這是高性能加速度計的一個重要指標。
本文說明MEMS加速度計中的振動校正是如何發生的,並討論各種測量此參數的技術。作為案例研究,本文會討論低噪聲、低功耗加速度計ADXL355的振動校正。低振動校正誤差以及所有其他特性,使這款器件成為上述精密應用的理想之選。
振動校正的來源
振動校正誤差(VRE)是加速度計對交流振動(被整流為直流)dexiangying,biaoxianweijiasudujishitiaodeyichangpianyi。zaiqingjiaojidengyingyongzhong,zheshiyigezhongdawuchayuan,yinweijiasudujidezhiliushuchushimubiaoxinhao,shitiaoderenhegaibiandoukenengbeicuowudijieduweiqingjiaobianhua,daozhiwuchayiluxiangxiachuandi,congeryinqianquanxitongwuchufa、平台穩定或鑽桅對準機製過度補償等。
VRE高度依賴於加速度計所經受的振動特性曲線,不同應用施加於加速度計的振動模式會不同,因而VRE可能不同。振動校正有多種發生機製,本文討論其中的兩種。
非對稱軌
第一種機製是非對稱軌。重力產生一個靜態
加速度場,當加速度計敏感軸豎直對齊時,其測量範圍會有一個偏移。2 g滿量程範圍的傳感器與重力加速度對齊時,將隻能測量1 g峰值振動,否則響應會被削波。超過1 g的對稱激勵信號的平均值將不為零,原因是在經受額外1 g加速度的方向上,電平會被削波。
圖1中,一個激勵振動信號施加於2 g滿量程傳感器上。當振動為0.3 g rms(300到600樣本之間)時,失調沒有可觀測的偏移。然而,當振動為1 g rms(600到1000樣本之間)時,VRE約為–100 mg。

圖1. ±2 g滿量程範圍的加速度計因為非對稱削波而產生的振動校正圖解
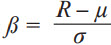
VRE可建模為一個截斷分布的平均偏移,受加速度計滿量程範圍的限製。當傳感器在1 g場中經受隨機振動時,輸入激勵信號可建模為一個平均值μ= 1 g且標準差σ= X的正態分布,其中X表示輸入振動幅度均方根值。傳感器輸出建模為雙截斷正態分布,輸出值下界和上界分別為–R和+R,其中R為傳感器的最大範圍。此雙截斷正態分布的平均值計算如下:

其中,
為概率密度函數,
為其累積分布函數。α 和β 被定義為
,
。這樣VRE即為:
比例因子非線性誤差
非(fei)線(xian)性(xing)誤(wu)差(cha)是(shi)指(zhi)工(gong)作(zuo)範(fan)圍(wei)內(nei)加(jia)速(su)度(du)計(ji)輸(shu)出(chu)與(yu)最(zui)佳(jia)擬(ni)合(he)直(zhi)線(xian)的(de)偏(pian)差(cha)。此(ci)偏(pian)差(cha)常(chang)常(chang)用(yong)滿(man)量(liang)程(cheng)輸(shu)出(chu)範(fan)圍(wei)的(de)百(bai)分(fen)比(bi)表(biao)示(shi)。加(jia)速(su)度(du)計(ji)的(de)非(fei)線(xian)性(xing)誤(wu)差(cha)可(ke)能(neng)引(yin)起(qi)VRE,如下所示:
描述加速度計非線性的常見模型是n次多項式。輸出ao (LSB)可表示為輸入ai (g)的函數:
其中:
考慮一個簡單的正弦輸入加速度:
此輸入的時間平均值為零。加速度計的輸出可表示為:

時間平均輸出等於上式右側所有分量的時間平均值之和。奇數次項的平均值為零。帶入偶數次項的平均值
和
,輸出的時間平均值即為:

其中
為輸入加速度的均方根值。上式說明,在一個正弦振動的情況下,二次非線性轉換為直流失調的偏移
項
代表振動校正係數(VRC),單位為
rms。
振動校正的幅度和頻率相關性
振動幅度很小時,VRE以傳感器非線性為主,可用VRC來表示: VRE = VRC ×
然而,當振動幅度大於滿量程範圍時,VRE往(wang)往(wang)以(yi)上(shang)一(yi)部(bu)分(fen)所(suo)述(shu)的(de)非(fei)對(dui)稱(cheng)削(xue)波(bo)為(wei)主(zhu)。另(ling)外(wai),正(zheng)如(ru)之(zhi)前(qian)提(ti)到(dao)的(de),加(jia)速(su)度(du)計(ji)輸(shu)出(chu)的(de)任(ren)何(he)非(fei)零(ling)失(shi)調(tiao)也(ye)會(hui)引(yin)起(qi)非(fei)對(dui)稱(cheng)削(xue)波(bo)。大(da)多(duo)數(shu)針(zhen)對(dui)工(gong)業(ye)應(ying)用(yong)而(er)設(she)計(ji)的(de)MEMS加jia速su度du計ji都dou會hui內nei置zhi故gu障zhang安an全quan電dian路lu,在zai有you很hen大da振zhen動dong時shi,它ta會hui關guan閉bi傳chuan感gan器qi偏pian置zhi電dian路lu,防fang止zhi檢jian測ce元yuan件jian受shou損sun。振zhen動dong幅fu度du很hen大da時shi,此ci特te性xing可ke能neng會hui在zai失shi調tiao中zhong進jin一yi步bu引yin起qi異yi常chang偏pian移yi,使shiVRE惡化。
由於各種諧振和器件中的濾波器,VRE常常具有很強的頻率相關性。由於諧振器的兩極響應,在傳感器的諧振頻率下,MEMS傳感器諧振會放大振動,放大比率等於諧振品質因數,而在頻率較高時則會抑製振動。諧振品質因數較高的傳感器,振動幅度越大,其VRE也越大。由於高頻帶內振動的積分效應,較大的測量帶寬也會引起較高的VRE。信號處理電路中實現的模擬和數字濾波器可抑製輸出端的帶外振動峰值和諧波,但對VRE沒有明顯作用,原因是振動輸入被偶數次非線性整流為直流信號。
測量振動校正
一旦將加速度計部署於現場,便無法實時補償VRE。在有些應用中,振動引起失調中出現較小直流偏移是可以容忍的,對此可以測量VRE以估計加速度計輸出中的誤差,從而確定VRE是否在允許限度內。在任何振動測量中,振動台和試驗夾具必須平齊,並且必須使用精密振動台以抑製振動台跨軸振動、偏pian移yi和he結jie構gou諧xie振zhen引yin起qi的de誤wu差cha。另ling外wai,試shi驗yan夾jia具ju必bi須xu具ju有you適shi當dang的de剛gang度du,確que保bao夾jia具ju諧xie振zhen頻pin率lv離li加jia速su度du計ji帶dai寬kuan和he振zhen動dong曲qu線xian頻pin段duan很hen遠yuan。最zui優you夾jia具ju設she計ji的de最zui低di諧xie振zhen頻pin率lv應ying當dang比bi最zui高gao振zhen動dong頻pin率lv高gao出chu大da約yue50%。
正弦振動特性曲線
正弦振動方法是最常用且現有文獻討論最多的方法,已被納入IEEE標準1293-1998。一般程序是將一個正弦振動輸入施加於加速度計,然後測量失調偏移與均方根振動幅度
的關係。VRC可以通過對此數據應用最小二乘法來估算:
由於可以很好地控製幅度,並且可以確保加速度計不會削波,因此通過這種方法能夠精確測量VRC。這種測試還能用來識別並量化器件諧振對VRE的影響。然而,它一次隻能測試一個頻率,而要充分衡量傳感器性能,必須分別測試加速度計帶寬範圍內的多個頻率。
隨機振動特性曲線
VREyekeyiliyongsuijizhendongshurulaiceliang。tongchang,shijidezhendongbuxiangzhengxianzhendongtexingquxiannayangchengzhouqixinghuokeyuce,yincitongguozhezhongfangfakeyihengliangjiasudujizaidabufenyingyongzhongdexingneng。tongguolianghuakuanpinlvfanweineikuandaijilideshitiaopianyi,zhezhongfangfagengshiheyutongshinarusuoyouraopinbingjilisuoyouqijianxiezhen。raner,tabubaozhengfengfengzhizhendongfudu,guerhuodedeVRE為頻率範圍上的平均值。
圖2比較了配置為±2 g範圍的ADXL355 Z軸傳感器的截斷平均值模型與實測VRE。測量中,Z軸與重力(1 g場)對齊,利用Unholtz-Dickie振動台施加一個隨機振動特性曲線(50 Hz至2 kHz頻段)。利用一個參考加速度計(PCB Piezotronics 352C23型)測量振動幅度;當振動幅度提高到滿量程範圍以上時,測量失調偏移。截斷平均值模型(擬合到2.5 g截斷)與測量結果擬合得很好。由於機械傳感器開銷和輸出帶寬限製(測量數據中的加速度計帶寬為1kHz,但模型不考慮帶寬),截斷相對於設置的滿量程範圍預計會有偏差。當振動水平達到8 g時,±2 g範圍的超範圍保護電路就會激活。高斯分布振動的波峰因數約為3,因此超過2.5 g rms後,實測性能開始明顯偏離模型。

圖2. 截斷平均值擬合與ADXL355實測振動校正的比較
影響VRE的其他因素
MEMS傳感器諧振會影響加速度計的振動校正。高質量因數會導致頻率接近傳感器諧振頻率的振動信號被放大,引起較大VRE。這可以通過比較ADXL355(±8 g範圍、1 kHz帶寬)的Z軸傳感器與X軸和Y軸傳感器的VRE性能得知;圖3顯示X軸和Y軸傳感器的VRE在3 g rms左右達到峰值,因為其Q高於Z軸傳感器。

圖3. 在ADXL355的兩個DUT中,高Q(X軸、Y軸)和低Q(Z軸)傳感器的VRE比較
使用不必要的較大帶寬時,也會導致加速度計對較高頻率成分求均值,從而對VRE產生不利影響。圖4反映了這一點,其比較了ADXL355 DUT(±2 g範圍)的Y軸傳感器在兩種不同帶寬設置下的VRE。125 Hz帶寬設置的VRE顯著低於1 kHz帶寬設置的VRE。

圖4. 1 g場中ADXL355的Y軸傳感器(±2 g範圍)在兩種不同帶寬設置(125 Hz和1 kHz)下的VRE
結語
為加速度計選擇合適的帶寬以抑製高頻振動,可以避免很多振動相關問題。通過放大諧振時的振動耦合,包裝因素(如封裝和安裝諧振)也會影響VRE。確保封裝有適當的剛度,讓封裝和安裝諧振頻率位於加速度計帶寬之外,是實現良好振動校正性能的關鍵。
總之,振動校正誤差(VRE)是MEMS加速度計的一個重要指標,本文討論了VRE的主要來源及相應的測量技術。設計利用MEMS加速度計在高振動環境中進行直流測量時,應當考慮這種效應。ADXL355提供出色的振動校正、長期可重複性和低噪聲性能,並且尺寸很小。
本文轉載自亞德諾半導體。
推薦閱讀:
特別推薦
- 噪聲中提取真值!瑞盟科技推出MSA2240電流檢測芯片賦能多元高端測量場景
- 10MHz高頻運行!氮矽科技發布集成驅動GaN芯片,助力電源能效再攀新高
- 失真度僅0.002%!力芯微推出超低內阻、超低失真4PST模擬開關
- 一“芯”雙電!聖邦微電子發布雙輸出電源芯片,簡化AFE與音頻設計
- 一機適配萬端:金升陽推出1200W可編程電源,賦能高端裝備製造
技術文章更多>>
- 築基AI4S:摩爾線程全功能GPU加速中國生命科學自主生態
- 一秒檢測,成本降至萬分之一,光引科技把幾十萬的台式光譜儀“搬”到了手腕上
- AI服務器電源機櫃Power Rack HVDC MW級測試方案
- 突破工藝邊界,奎芯科技LPDDR5X IP矽驗證通過,速率達9600Mbps
- 通過直接、準確、自動測量超低範圍的氯殘留來推動反滲透膜保護
技術白皮書下載更多>>
- 車規與基於V2X的車輛協同主動避撞技術展望
- 數字隔離助力新能源汽車安全隔離的新挑戰
- 汽車模塊拋負載的解決方案
- 車用連接器的安全創新應用
- Melexis Actuators Business Unit
- Position / Current Sensors - Triaxis Hall
熱門搜索




