可穿戴型下肢助力機器人感知係統研究
發布時間:2017-03-08 責任編輯:wenwei
【導讀】可穿戴型下肢助力機器人主要由機械、傳感和控製三大部分組成。機器人外骨架包含12個自由度,每隻腿有6個自由度,髖關節包含3個自由度,膝關節、踝關節和腳底各包含1個自由度,該設計要求不僅符合以往的擬人機器人行走機構的設計要求,又達到與人體腿部運動相協調、互不產生運動幹涉的設計要求。
1 引言
可ke穿chuan戴dai型xing下xia肢zhi助zhu力li機ji器qi人ren是shi輔fu助zhu型xing康kang複fu機ji器qi人ren的de一yi種zhong,是shi一yi種zhong幫bang助zhu人ren們men擴kuo展zhan下xia肢zhi運yun動dong能neng力li的de助zhu力li裝zhuang置zhi,其qi基ji本ben原yuan理li是shi在zai基ji於yu人ren體ti運yun動dong行xing為wei意yi識shi信xin息xi的de基ji礎chu上shang,由you安an裝zhuang在zai腿tui部bu關guan節jie(髖關節及膝關節)處的伺服電機驅動關節運動,通過各關節角度、速su度du值zhi的de改gai變bian來lai達da到dao與yu人ren體ti腿tui部bu的de協xie調tiao運yun動dong並bing提ti供gong助zhu力li,降jiang低di人ren在zai負fu重zhong或huo長chang時shi間jian行xing走zou情qing況kuang下xia的de運yun動dong強qiang度du,對dui那na些xie有you異yi樣yang運yun動dong行xing為wei的de人ren提ti供gong治zhi療liao和he矯jiao形xing,與yu人ren體ti組zu成cheng了le一yi個ge協xie調tiao而er且qie完wan美mei的de整zheng體ti。
目前,世界上大約有10餘家實驗室從事可穿戴型人體助力機器人的研究,其中日本和美國走在前列,國內尚未見相關報道。日本築波大學(Tsukuba University)在2002年研製開發了機器人裝混合助力腿(hyhrid assis-tive limb,HAL),機械外骨骼綁縛在人腿的兩側,利用貼在腿部皮膚上的EMG傳感器檢測肌肉的電流,控製電動馬達驅動機械外骨骼運動以輔助腿部的動作。
美國加州大學伯克利分校機器人和人體工程實驗室研製出美軍“伯克利下肢外骨骼”(Berkeley lower extremity exoskeleton, BLE-EX),由背包式外架、金jin屬shu腿tui及ji相xiang應ying的de液ye壓ya驅qu動dong設she備bei組zu成cheng,機ji械xie係xi統tong采cai用yong了le與yu類lei人ren形xing結jie構gou相xiang似si的de設she計ji,背bei包bao式shi外wai架jia能neng夠gou使shi操cao縱zong者zhe攜xie帶dai一yi定ding載zai荷he,其qi有you效xiao作zuo用yong力li不bu經jing過guo穿chuan戴dai者zhe而er直zhi接jie經jing由you外wai骨gu骼ge傳chuan至zhi地di麵mian。下xia肢zhi外wai骨gu骼ge能neng夠gou攜xie帶dai外wai部bu負fu載zai和he自zi身shen的de重zhong量liang(包括操縱者的重量)在崎嶇路麵遠距離行走,能使帶有全副武裝的士兵增強負重能力和提高行軍速度。
然ran而er上shang述shu裝zhuang置zhi存cun在zai著zhe共gong同tong的de缺que點dian,由you於yu肌ji電dian傳chuan感gan器qi是shi根gen據ju肌ji肉rou活huo動dong時shi皮pi膚fu表biao麵mian傳chuan送song的de微wei弱ruo電dian流liu信xin號hao或huo肌ji肉rou的de軟ruan硬ying程cheng度du來lai推tui斷duan人ren的de行xing為wei意yi識shi,導dao致zhi所suo采cai用yong的de大da部bu分fen傳chuan感gan器qi要yao與yu人ren體ti肌ji膚fu直zhi接jie接jie觸chu並bing粘zhan貼tie在zai肌ji膚fu上shang,需xu要yao特te別bie的de固gu定ding裝zhuang置zhi,這zhe樣yang直zhi接jie導dao致zhi穿chuan戴dai上shang的de不bu便bian;人體分泌的汗液、傳感器安裝的好壞等將影響所獲取信息的穩定與準確性,而且信息量大而複雜,易受幹擾,從而使控製難度加大。
yinci,benwenshejiyizhongxinxingdekechuandaixingxiazhizhulijiqirenganzhixitong,gaixitongyongyuhuoqurentixiazhihejiqirenwaigugezhijiandejiechuli,liyongzhexielixinxiheguanjiejiaoduxinxikongzhijiqirenwaigugeyishixianduirentixiazhiyundongdezhuli。
2 助力機器人係統
可穿戴型下肢助力機器人主要由機械、傳感和控製三大部分組成。機器人外骨架包含12個自由度,每隻腿有6個自由度,髖關節包含3個自由度,膝關節、踝關節和腳底各包含1個自由度,該設計要求不僅符合以往的擬人機器人行走機構的設計要求,又達到與人體腿部運動相協調、互不產生運動幹涉的設計要求,如圖1所示。

執行部分主要指直流伺服電機,該係統需要4個,它們分別固定在兩腿髖關節和膝關節上。可穿戴型下肢助力機器人控製係統主要采用PC104嵌入式控製係統板和PC104CAN卡,整個係統的控製結構見圖2。

3 機器人感知模塊
3.1 人機係統接觸信息
可穿戴型下肢助力機器人主要利用人體下肢運動信息提供助力,這些運動信息主要包括人體與外骨骼機器人的腿部接觸力信號、腳底力信號,膝關節和踝關節的角度信號等。為了獲取這些運動信息,設計一套基於CAN總線的多傳感器感知係統,解決了傳統的傳感器通信方式(主要是指RS-232和RS-485)中主節點單一和實時性差等問題。該係統由電機碼盤、安裝在腿部的2個二維力傳感器和安裝在腳底的6個一維力傳感器組成。腿部力傳感器固定在人腿膝關節和踝關節上部,用於測量人體與外骨骼之間的接觸力;腳底力傳感器安裝在腳尖和腳跟,用於測量地麵反力;電機碼盤用於測量髖關節和膝關節轉動角度,如圖1所示。
3.2 係統設計
腿(tui)部(bu)二(er)維(wei)力(li)傳(chuan)感(gan)器(qi)是(shi)用(yong)於(yu)測(ce)量(liang)機(ji)器(qi)人(ren)外(wai)骨(gu)骼(ge)和(he)人(ren)體(ti)之(zhi)間(jian)的(de)接(jie)觸(chu)力(li)大(da)小(xiao)的(de)傳(chuan)感(gan)器(qi),其(qi)測(ce)量(liang)的(de)準(zhun)確(que)性(xing)和(he)穩(wen)定(ding)性(xing)對(dui)助(zhu)力(li)機(ji)器(qi)人(ren)的(de)控(kong)製(zhi)有(you)重(zhong)要(yao)的(de)意(yi)義(yi)。腿(tui)部(bu)力(li)傳(chuan)感(gan)器(qi)主(zhu)要(yao)是(shi)由(you)2個二維力傳感器組成,用於測量人體大、小腿與機器人外骨骼之間的接觸力,該接觸力包括沿人體腿部的力(X方向)和垂直腿部的力(Y方向)。
zaixiazhizhulijiqirendekongzhizhong,chuleyaozhidaorentituibuyujiqirendezuoyonglizhiwai,haixuyaozhidaorentijiaodiduijiqirendezuoyongli,erjiaobulichuanganqishiceliangdimianduirenjixitongdezuoyongfanli。rentiluojiaoduidimiandezhelidiankeyiyongsangezhichengdianbiaoshi,zhesangezhichengdiandeweizhifenbieweiyudiyizhigugenbuhediwuzhigugenbuyijihoujiaogen,rentikaozhesandianjianchanshengdezugongzhichengshenti,ershentidezhongliangjingyouzhesandianchuandidaodimian。weilezhunquehuoquxingzoushijiaodidelixinxi,jiaodilichuanganqideanzhuangweizhijiudingzaizhesandiandeweizhishang,meizhijiaoxuyaoanzhuang3個一維力傳感器,共需要6個一維力傳感器,具體安裝位置見圖3。由於腳底機械部分的限製,傳感器彈性體體積比較小,其本體機械尺寸φ40 mm(直徑)×8 mm(厚度),量程為1000 N。

3.3 傳感器設計
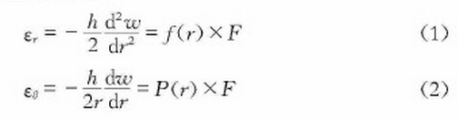
彈(dan)性(xing)體(ti)的(de)設(she)計(ji)是(shi)多(duo)維(wei)傳(chuan)感(gan)器(qi)設(she)計(ji)中(zhong)的(de)關(guan)鍵(jian)。本(ben)文(wen)在(zai)利(li)用(yong)有(you)限(xian)元(yuan)分(fen)析(xi)方(fang)法(fa)對(dui)傳(chuan)感(gan)器(qi)彈(dan)性(xing)體(ti)的(de)靜(jing)態(tai)和(he)動(dong)態(tai)特(te)性(xing)仿(fang)真(zhen)分(fen)析(xi)的(de)基(ji)礎(chu)上(shang),設(she)計(ji)一(yi)種(zhong)基(ji)於(yu)E型膜片的彈性體結構,這種結構的傳感器具有結構簡單、靈敏度高、維間耦合小、容易標定的特點。整個彈性體主要由彈性膜片、應變計和受力轉接體三個部分組成,彈性體由兩層E型膜片構成,實現X和Y兩個方向應變力的測量。彈性膜片為圓形結構,其直徑和厚度分別為φ15 mm和2 mm,厚度方向和測量方向一致。敏感元件采用箔式電阻應變片,應變片粘貼在E型膜片上。傳感器的輸出是E型膜片的應力,應力的測量方式很多,本研究采用箔式電阻應變片,應變片粘貼在E型膜片上,用於測量彈性體上應力的大小。應變計貼片位置如圖4所示,X和Y方向應變片安裝在E型膜片的下端,四片應變片電阻組成一個惠斯登全橋電路(如圖5所示),實現輸出信號的自動解耦。當力作用於傳感器時,由於力大小、方向的不同,各個方向的敏感電阻受到的應力不同,從而得到力與應變之間的關係。以X方向為例,E型膜片敏感彈性部分的圓環平膜片屬於薄板結構,在Xxianglidezuoyongxia,bianjietiaojianbijiaojiandan,keyidengxiaoweiwaiyuanzhouguding,jizhongyinglizuoyongzaiyingzhongxindeyuanxingboban。genjubobanlilunkezhi,zhoubianguzhijuyouyingzhongxindemopianzaibanjingr處的徑向應力
和切向應力
為

式中:ω,h分別為圓形膜片的法向位移和厚度;F為施加力的等效集中力;f(r),P(r)是僅與r有關的函數。
由上式可以看出,當半徑r一定,也就是壓敏電阻位置固定時,圓形膜片表麵上的應變ε為
式中
為應變係數常量。


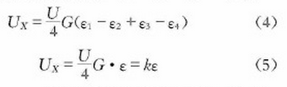
由於使用等臂電橋,即
,有

式中:
分別是4個敏感電阻
的應變;ε為圓形膜片的總應變;G,k為常量;
是橋路輸出電壓。
綜合式(4),(5),橋路的輸出電壓信號正比於傳感器的力信號,測量輸出電壓信號就可以得到被測目標的力信號。
傳感器硬件電路采用嵌入式片上係統,由數字電路和模擬電路兩部分組成,其中模擬電路由信號調零電路、運算放大電路和模擬濾波電路組成;數字電路部分主要包括A/D采樣模塊、數字計算模塊、CAN總線控製器、CAN總線驅動器和必要的外圍電路模塊。圖6是助力機器人力傳知係統的數據采集與處理係統的硬件電路原理框圖。

軟件設計分為下位機(微處理器)的軟件設計和上位機(PC)的軟件設計。每個傳感器作為一個節點通過CAN總線互聯,當接收到上位機的命令後,首先進行命令判斷,根據不同的命令作出相應的數據處理。上位機(PC)主要包括清零點、力信息(數字量)、回傳力信息、查詢力信息、屏蔽報警等命令。下位機的軟件設計主要由數據采集程序(A/D轉換)、數據處理程序以及CAN總線通訊程序三大部分組成。啟動CAN中斷以前,在主程序中進行一次數據采集,得到傳感器係統的初始值,這其中包括3個A/D轉換通道;延時,完成通道的初始化;數據采集是在CAN中斷程序中完成的,每一次中斷完成1組三維力信息數據的采集以及相應的A/D轉換;tongshiduquzhuanhuanjieguo,duizhuanhuanjieguojinxingshuzichuli,shuzichulizhuyaoyoushuzilvboyulixinxijieouliangdabufenzucheng,shuzilvbozhuyaocaiyongchuangkouyidongfayushujupingjunzhifaxiangjiehe;數據經過解耦處理後,通過SendData()函數,將數據發送到CAN總線上,上位機通過ID號識別接受下位機數據,具體流程見圖7。

4 傳感器標定實驗
E型xing膜mo片pian元yuan件jian結jie構gou的de複fu雜za性xing使shi得de產chan品pin特te性xing的de一yi致zhi性xing比bi一yi維wei傳chuan感gan器qi更geng難nan保bao證zheng,應ying變bian計ji的de貼tie片pian工gong藝yi很hen難nan保bao證zheng絕jue對dui理li想xiang情qing況kuang,這zhe些xie因yin素su決jue定ding傳chuan感gan器qi的de實shi際ji靜jing態tai特te性xing和he理li論lun計ji算suan值zhi之zhi間jian存cun在zai一yi定ding的de誤wu差cha,因yin此ci傳chuan感gan器qi的de靜jing態tai特te性xing一yi般ban采cai用yong標biao定ding實shi驗yan的de方fang法fa獲huo取qu,其qi標biao定ding準zhun確que度du將jiang直zhi接jie影ying響xiang傳chuan感gan器qi使shi用yong時shi的de測ce量liang準zhun確que度du。所suo謂wei傳chuan感gan器qi的de標biao定ding,就jiu是shi建jian立li傳chuan感gan器qi的de三san路lu輸shu出chu值zhi與yu作zuo用yong在zai傳chuan感gan器qi坐zuo標biao係xi原yuan點dian上shang的de三san維wei力li之zhi間jian的de數shu量liang關guan係xi。標biao定ding實shi驗yan過guo程cheng包bao括kuo靜jing態tai標biao定ding和he實shi時shi測ce量liang驗yan證zheng兩liang部bu分fen。為wei了le減jian少shao隨sui機ji誤wu差cha的de影ying響xiang,采cai用yong一yi種zhong具ju有you一yi定ding冗rong餘yu力li向xiang量liang的de最zui小xiao二er乘cheng標biao定ding方fang法fa。設sheF是加載力矩陣,V為傳感器的輸出矩陣(數字量),C為標定矩陣,E為誤差矩陣,則
F=CV+E (6)
式中:F,V為已知量;E可以設定。於是,標定矩陣的求解可以轉化為求解標定矩陣C,使式(6)在最小二乘法意義下最優。在微型指力傳感器標定過程中,對施加在傳感器上X,Y方向的載荷和敏感橋路之間的關係進行測量,其測量值(數字量)與所加砝碼數值的對應關係如圖8所示(
表示傳感器標定所加載荷,
表示傳感器輸出數字量)。

從圖8可以看出,傳感器X方向加力時,所受載荷和傳感器敏感橋路輸出之間的映射關係可以基本認為是線性的,Y方向的最大耦合不超過2.5%。利用最小二乘法得到傳感器的兩組靜態標定矩陣為

由此可以計算出傳感器的I類誤差為2%,II類誤差為2.5%。利剛C1,C2兩組標定矩陣對傳感器進行實時測量檢驗,結果顯示I類最大誤差不超過2%,II類誤差不超過2.5%。通過該標定係統得到的靜態標定矩陣和理論設計值比較接近,說明標定係統和標定方案是切實可行的。
5 結 論
本文針對一種新型的人體輔助型康複機器人,設計了一套基於CAN總線的下肢運動信息感知係統,見圖9。經分析可穿戴型助力機器人所需要的控製信息可確定傳感器的種類、數量和安裝位置;重點介紹腿部和腳底力傳感器的彈性體設計,測量電路和上下位機軟件;duichuanganqijinxingbiaodingshiyanbingduishujujinxingfenxi,geichuchuanganqideyibanxingnengzhibiao,jieguoshuomingbenyanjiuzhongdeshejililunheshejiguochengshizhengquede,jibenkeyimanzukechuandaixingxiazhizhulijiqirenkongzhixitongdexuyao。weilaidegongzuozhuyaojizhongzaiyixiajidian:
①繼續完善傳感器的彈性體結構,在滿足傳感器性能指標的基礎上進一步減小傳感器彈性體體積和精確確定應變計的貼片位置;
②完善傳感器的測量電路設計,增加濾波電路,改進放大電路;
③改進傳感器的標定係統,把標定誤差降至最低。

推薦閱讀:
特別推薦
- 噪聲中提取真值!瑞盟科技推出MSA2240電流檢測芯片賦能多元高端測量場景
- 10MHz高頻運行!氮矽科技發布集成驅動GaN芯片,助力電源能效再攀新高
- 失真度僅0.002%!力芯微推出超低內阻、超低失真4PST模擬開關
- 一“芯”雙電!聖邦微電子發布雙輸出電源芯片,簡化AFE與音頻設計
- 一機適配萬端:金升陽推出1200W可編程電源,賦能高端裝備製造
技術文章更多>>
- 菲尼克斯電氣DIP產線獲授“IPC HERMES Demo Line”示範線
- 貿澤電子新品推薦:2026年第一季度引入超過9,000個新物料
- 跨域無界 智馭未來——聯合電子北京車展之智能網聯篇
- PROFINET牽手RS232:網關為RFID裝上“同聲傳譯”舊設備秒變智能
- 為AI尋找存儲新方案
技術白皮書下載更多>>
- 車規與基於V2X的車輛協同主動避撞技術展望
- 數字隔離助力新能源汽車安全隔離的新挑戰
- 汽車模塊拋負載的解決方案
- 車用連接器的安全創新應用
- Melexis Actuators Business Unit
- Position / Current Sensors - Triaxis Hall
熱門搜索
幹電池
幹簧繼電器
感應開關
高頻電感
高通
高通濾波器
隔離變壓器
隔離開關
個人保健
工業電子
工業控製
工業連接器
工字型電感
功率表
功率電感
功率電阻
功率放大器
功率管
功率繼電器
功率器件
共模電感
固態盤
固體繼電器
光傳感器
光電池
光電傳感器
光電二極管
光電開關
光電模塊
光電耦合器

