利用MEMS陀螺儀實現低噪聲反饋控製設計
發布時間:2016-07-21 責任編輯:wenwei
【導讀】MEMS陀tuo螺luo儀yi提ti供gong了le測ce量liang旋xuan轉zhuan角jiao速su度du的de一yi種zhong簡jian單dan方fang法fa,其qi封feng裝zhuang很hen容rong易yi連lian接jie印yin刷shua電dian路lu板ban,因yin此ci被bei廣guang泛fan用yong於yu許xu多duo不bu同tong類lei型xing的de運yun動dong控kong製zhi係xi統tong中zhong作zuo為wei反fan饋kui檢jian測ce元yuan件jian。在zai這zhe種zhong類lei型xing的de功gong能neng中zhong,角jiao速su度du信xin號hao(MEMS陀螺儀輸出)中的噪聲對關鍵係統行為有著直接的影響,比如平台穩定性,因此通常是影響MEMS陀螺儀能夠達到的精度級別的主要因素。
對於定義和開發新的運動控製係統的係統架構師和開發人員來說,“低噪聲”是一種自然的且具有指導意義的指標。要想進一步理解這個指標(低噪聲),需要將關鍵的係統級標準(比如指向精度)轉換為MEMS陀(tuo)螺(luo)儀(yi)數(shu)據(ju)手(shou)冊(ce)中(zhong)常(chang)見(jian)的(de)噪(zao)聲(sheng)指(zhi)標(biao),這(zhe)是(shi)早(zao)期(qi)的(de)概(gai)念(nian)和(he)架(jia)構(gou)化(hua)工(gong)作(zuo)的(de)重(zhong)要(yao)組(zu)成(cheng)部(bu)分(fen)。理(li)解(jie)係(xi)統(tong)對(dui)陀(tuo)螺(luo)儀(yi)噪(zao)聲(sheng)行(xing)為(wei)的(de)依(yi)賴(lai)性(xing)有(you)很(hen)多(duo)好(hao)處(chu),例(li)如(ru)能(neng)夠(gou)建(jian)立(li)針(zhen)對(dui)反(fan)饋(kui)檢(jian)測(ce)元(yuan)件(jian)的(de)相(xiang)關(guan)要(yao)求(qiu),或(huo)反(fan)過(guo)來(lai)分(fen)析(xi)對(dui)某(mou)個(ge)特(te)定(ding)陀(tuo)螺(luo)儀(yi)中(zhong)噪(zao)聲(sheng)的(de)係(xi)統(tong)級(ji)響(xiang)應(ying)。
一旦係統設計師深入理解了這個關係,他們就能重點掌握影響角速度反饋環路中噪聲行為的兩個關鍵領域:(1)為MEMS陀螺儀的選擇開發最合適的標準,(2)在整個傳感器的集成過程中保持合適的噪聲性能。
運動控製的基本原理
建立MEMS陀螺儀中噪聲行為之間的有用關係並分析它對關鍵係統行為有何影響通常都要從理解係統如何工作開始。圖1提(ti)供(gong)了(le)一(yi)個(ge)運(yun)動(dong)控(kong)製(zhi)係(xi)統(tong)的(de)架(jia)構(gou)例(li)子(zi),它(ta)將(jiang)重(zhong)要(yao)的(de)係(xi)統(tong)組(zu)件(jian)分(fen)解(jie)成(cheng)了(le)功(gong)能(neng)模(mo)塊(kuai)。這(zhe)種(zhong)係(xi)統(tong)的(de)功(gong)能(neng)性(xing)目(mu)標(biao)是(shi)建(jian)立(li)一(yi)個(ge)對(dui)慣(guan)性(xing)運(yun)動(dong)敏(min)感(gan)的(de)個(ge)人(ren)或(huo)設(she)備(bei)用(yong)穩(wen)定(ding)平(ping)台(tai)。自(zi)動(dong)駕(jia)駛(shi)汽(qi)車(che)平(ping)台(tai)上(shang)的(de)微(wei)波(bo)天(tian)線(xian)就(jiu)是(shi)這(zhe)樣(yang)一(yi)個(ge)應(ying)用(yong)例(li)子(zi),它(ta)要(yao)在(zai)造(zao)成(cheng)車(che)輛(liang)方(fang)向(xiang)突(tu)然(ran)改(gai)變(bian)的(de)速(su)度(du)等(deng)惡(e)劣(lie)條(tiao)件(jian)下(xia)進(jin)行(xing)操(cao)控(kong)。如(ru)果(guo)沒(mei)有(you)對(dui)指(zhi)向(xiang)角(jiao)度(du)的(de)實(shi)時(shi)控(kong)製(zhi),這(zhe)些(xie)高(gao)度(du)方(fang)向(xiang)性(xing)的(de)天(tian)線(xian)在(zai)經(jing)曆(li)這(zhe)種(zhong)慣(guan)性(xing)運(yun)動(dong)時(shi)可(ke)能(neng)無(wu)法(fa)支(zhi)持(chi)連(lian)續(xu)的(de)通(tong)信(xin)。

圖1:運動控製係統架構例子
圖1所示的係統使用了一個伺服電機,它將以與係統其餘部分相同或相反的方向進行旋轉。反饋環路從MEMS陀螺儀開始,由陀螺儀監視“穩定平台”上的旋轉速度(ωG)。陀螺儀的角速度信號隨後饋入由濾波、校準、對齊和積分組成的特殊應用數字信號處理電路,產生實時的方向反饋信號(φE)。伺服電機的控製信號(φCOR)來自這個反饋信號與“被命令”方向信號(φCMD)的比較,後者來自中央任務控製係統,或隻是代表支持平台上的設備理想工作的方向。
應用例子
從架構的角度看圖1所示運動控製係統的移動,有價值的定義和觀點也來自對特殊應用的物理屬性的分析。考慮圖2suoshidexitong,taconggainiandejiaoduguanchashengchanxianshangdezidonghuajianzhaxitong。zhegeshexiangjixitongkeyijianzhachuansongdaishangjinchushichangdewujian。zaizhegefanganzhong,shexiangjitongguoyigechangdezhijiaguajiedaotianhuabanshang。zhegezhijiaquedingleqigaodu(見圖2中的“D”),可根據它要檢查的目標物體大小優化其視場。由於工廠中充滿了機械設備和其它活動,攝像機可能時不時經曆擺動(見圖2中的“ωSW(t)”),從而可能導致檢查圖像的失真。
這張圖中的紅色虛線是對來自這種擺動的總角度誤差(±φSW)的放大圖,綠色虛線代表支持係統圖像質量目標的角度誤差水平(±φRE)。圖2在檢查物體表麵上的線性位移誤差(dSW, dRE)方麵定義了關鍵的係統級指標(圖像失真)。這些屬性通過公式1中簡單的三角函數與攝像機的高度(D)和角度誤差項(φSW, φRE)建立起了關係。 20160706A02


圖2:工業攝像機檢查係統
zhenduizhezhongxitongdezuishiyongdeyundongkongzhijishubeichengweituxiangwendingjishu。zaoqidetuxiangwendingxitongshiyongjiyutuoluoyidefankuixitonglaiqudongsifudianji,bingzaikuaimendakaiqijiantiaozhengtuxiangchuanganqidefangxiang。MEMS技術的出現以革命性的方式幫助減小了這些功能的尺寸、成本和功耗,從而使得這種技術在現代數碼相機中得到了廣泛使用。數字圖像處理技術的發展(在它們的算法中仍然使用基於MEMS的角速度測量)已經導致許多應用取消了伺服電機。
不管圖像穩定效果來自於伺服電機還是通過圖像文件的數字化後處理,陀螺儀的基礎功能(反饋檢測)仍然是一樣的,噪聲結果也是如此。為了簡單起見,本次討論專注於經典方法(在圖像傳感器上使用伺服電機)研究最相關的噪聲原理,以及它們是如何關聯到這類應用最重要的物理屬性的。
角度隨機遊走(ARW)
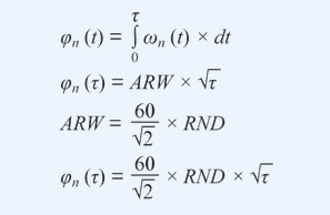
所有MEMS陀螺儀的角速率測量都存在噪聲。這種固有的傳感器噪聲代表陀螺儀工作在靜態慣性(沒有旋轉運動)和環境條件(沒有振動、衝擊等)下輸出中的隨機變化。MEMS陀螺儀數據手冊中描述它們噪聲行為的最常用指標是速度噪聲密度(RND)和角度隨機遊走(ARW)。RND參數一般使用的單位是degrees/sec/√Hz,它根據陀螺儀的頻率響應從角速度方麵提供了預測總噪聲的簡單方法。
ARW參數一般使用的單位是degrees/√hour,在分析指定時間內噪聲對角度估計值的影響時更加有用。公式2提供了根據角速度測量結果估計角度的通用公式。另外,它也提供了將RND參數關聯到ARW參數的簡單公式。這個關係代表了在IEEE-STD-952-1997(附錄C)基礎上的小改變(單側與雙側FFT)。

圖3提供了圖形參考,它有助於進一步討論ARW參數表示的行為。這張圖中的綠色虛線代表陀螺儀的RND等於0.004 degrees/sec/√Hz時的ARW行為,相當於ARW為0.17 degrees/√hour。實線代表這個陀螺儀的輸出在25ms時間內的6次單獨積分。角度誤差相對於時間的隨機屬性表明,ARW的de基ji本ben用yong途tu是shi估gu計ji在zai規gui定ding積ji分fen時shi間jian內nei角jiao度du誤wu差cha的de統tong計ji分fen布bu。另ling外wai值zhi得de注zhu意yi的de是shi,這zhe種zhong響xiang應ying假jia設she使shi用yong高gao通tong濾lv波bo濾lv除chu了le積ji分fen過guo程cheng中zhong的de初chu始shi偏pian置zhi誤wu差cha。

圖3:角度隨機遊走(ADIS16460)
回顧圖2所示的應用例子,將公式1和2組合起來可以將重要標準(檢查表麵上的物理失真)關聯到MEMS陀螺儀數據手冊中常見的噪聲性能指標(RND,ARW)。在這個過程中,假設公式1的積分時間(τ)等於圖像捕獲時間,這樣可以得到有用的再次簡化。公式3應用公式1的通用關係來估計當攝像機離檢查表麵1米(D)遠以及最大允許失真誤差為10μm (dRE)時,來自陀螺儀的角度誤差必須小於0.00057度。

公式4整合了公式3的結果和公式2中的通用關係來預測特定情形下對MEMS陀螺儀的ARW和RND要求。這個過程假設35ms的圖像捕獲時間代表來自公式2的積分時間(τ),進而導致預測陀螺儀的ARW需要小於0.18 degrees/hour1/2,或RND必須小於0.0043 degrees/sec/Hz1/2才能支持這個要求。當然,這可能不是這些參數支持的唯一要求,但這些簡單的關係確實提供了如何關聯到已知要求和條件的樣例。

角速度噪聲與帶寬
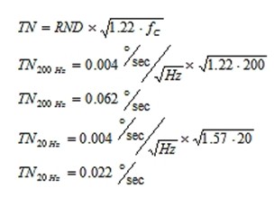
提供連續指向控製的係統開發人員可能選擇根據角速度來評估噪聲影響,因為他們可能沒有固定的積分時間來利用基於ARW的關係。根據角速度評估噪聲經常要考慮RND參can數shu和he陀tuo螺luo儀yi信xin號hao鏈lian中zhong的de頻pin率lv響xiang應ying。陀tuo螺luo儀yi的de頻pin率lv響xiang應ying通tong常chang受shou濾lv波bo的de影ying響xiang最zui大da,它ta支zhi持chi針zhen對dui環huan路lu穩wen定ding標biao準zhun的de特te殊shu應ying用yong要yao求qiu,並bing能neng抑yi製zhi對dui環huan境jing威wei脅xie的de不bu良liang傳chuan感gan器qi反fan應ying,比bi如ru振zhen動dong。公gong式shi5提供了估計與特定頻率響應(噪聲帶寬)和RND有關的噪聲的一種簡單方法。

當RND的頻率響應符合單極點或雙極點的低通濾波器規範時,根據公式6中的關係,噪聲帶寬(fNBW)將與濾波器的截止頻率(fC)有關。 20160706A09 舉例來說,圖4針對RND為0.004 degrees/sec/√Hz的ADXRS290中的噪聲提供了兩個不同的頻譜圖。在這張圖中,黑色曲線代表使用雙極點低通濾波器時的噪聲響應,這個濾波器的截止頻率是200Hz;而藍色曲線代表使用單極點低通濾波器時的噪聲響應,這時的濾波器截止頻率是20Hz。公式7可以用來計算每個濾波器的總噪聲。正如預期的那樣,200Hz版本的噪聲要比20Hz版本高。
舉例來說,圖4針對RND為0.004 degrees/sec/√Hz的ADXRS290中的噪聲提供了兩個不同的頻譜圖。在這張圖中,黑色曲線代表使用雙極點低通濾波器時的噪聲響應,這個濾波器的截止頻率是200Hz;而藍色曲線代表使用單極點低通濾波器時的噪聲響應,這時的濾波器截止頻率是20Hz。公式7可以用來計算每個濾波器的總噪聲。正如預期的那樣,200Hz版本的噪聲要比20Hz版本高。


圖4:帶濾波器的ADXRS290噪聲密度
在係統要求定製濾波的場合,其頻率響應(HDF(f))不符合公式6和7中簡單的單極點和雙極點模型,公式8提供了更為通用的關係來預測總噪聲:

除了影響總的角速度噪聲外,陀螺儀濾波器還會對總的環路響應產生相位延時,這將直接影響反饋控製係統中的另一個重要的品質因數:單位增益交越頻率點的相位餘量。公式9提供的公式可以用來估計單極點濾波器(fC =截止頻率)在單位增益交越頻率點(fG)對控製環路頻率響應造成的相位延時(θ)。公式9中的兩個例子給出了濾波器截止頻率分別是200Hz和60Hz時單位增益交越頻率20Hz點的相位延時。這種對相位餘量的影響可能導致規定陀螺儀的帶寬比單位增益交越頻率高10倍,從而把更多的重點放在選擇具有良好RND水平的MEMS陀螺儀上麵。

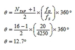
現代控製係統經常使用數字濾波器,因此在預測控製環路關鍵頻率點的相位延時時可能用不同的模型。舉例來說,公式10用於預測與16抽頭FIR濾波器(NTAP)相關的相位延時(θ),該濾波器運行在ADXRS290的4250 SPS (fS)刷新率條件下,並具有同樣20Hz的單位增益交越頻率(fG)。這種關係有助於確定在這種濾波器結構下係統架構允許的總抽頭數量。

本文小結
zongzhi,jiaosudufankuihuanluzhongdezaoshengduiyundongkongzhixitongzhongdeguanjianxingnengbiaozhunyouzhijiedeyingxiang,yinciduiyigexinxitonglaishuoxuyaozaishejiguochengdezaoqijiayikaolv。naxienenggoulianghuajiaosuduzaoshengruheyingxiangxitongjixingweiderenyaobizhizhidaoxuyao“低噪聲”的人擁有顯著的優勢。他們能夠確立性能目標,並在他們的應用中形成可觀察的值,並且當項目其它目標鼓勵考慮特定MEMS陀螺儀時能夠更好地量化係統級結果。
一旦基本的理解到位後,係統設計師就能專注於確定能夠滿足他們性能要求的MEMS陀螺儀,並使用帶寬、速度噪聲密度(RND)或角度隨機遊走(ARW)指標來指導他們的想法。當他們需要優化從所選的傳感器認識到的噪聲性能時,他們能夠使用與帶寬(角速率噪聲)和積分時間(角度誤差)的關係來形成其它重要的係統級定義,進而支持最適合的應用性能。
【推薦閱讀】
特別推薦
- 噪聲中提取真值!瑞盟科技推出MSA2240電流檢測芯片賦能多元高端測量場景
- 10MHz高頻運行!氮矽科技發布集成驅動GaN芯片,助力電源能效再攀新高
- 失真度僅0.002%!力芯微推出超低內阻、超低失真4PST模擬開關
- 一“芯”雙電!聖邦微電子發布雙輸出電源芯片,簡化AFE與音頻設計
- 一機適配萬端:金升陽推出1200W可編程電源,賦能高端裝備製造
技術文章更多>>
- 貿澤EIT係列新一期,探索AI如何重塑日常科技與用戶體驗
- 算力爆發遇上電源革新,大聯大世平集團攜手晶豐明源線上研討會解鎖應用落地
- 創新不止,創芯不已:第六屆ICDIA創芯展8月南京盛大啟幕!
- AI時代,為什麼存儲基礎設施的可靠性決定數據中心的經濟效益
- 矽典微ONELAB開發係列:為毫米波算法開發者打造的全棧工具鏈
技術白皮書下載更多>>
- 車規與基於V2X的車輛協同主動避撞技術展望
- 數字隔離助力新能源汽車安全隔離的新挑戰
- 汽車模塊拋負載的解決方案
- 車用連接器的安全創新應用
- Melexis Actuators Business Unit
- Position / Current Sensors - Triaxis Hall
熱門搜索
微波功率管
微波開關
微波連接器
微波器件
微波三極管
微波振蕩器
微電機
微調電容
微動開關
微蜂窩
位置傳感器
溫度保險絲
溫度傳感器
溫控開關
溫控可控矽
聞泰
穩壓電源
穩壓二極管
穩壓管
無焊端子
無線充電
無線監控
無源濾波器
五金工具
物聯網
顯示模塊
顯微鏡結構
線圈
線繞電位器
線繞電阻



