基於DSP與數字溫度傳感器的溫度控製係統
發布時間:2011-12-13
中心議題:
0 引言
20世紀60年代以來,數字信號處理器(Digital Signal Processing,DSP)伴ban隨sui著zhe計ji算suan機ji和he通tong信xin技ji術shu得de到dao飛fei速su發fa展zhan,應ying用yong領ling域yu也ye越yue來lai越yue廣guang泛fan。在zai溫wen度du控kong製zhi方fang麵mian,尤you其qi是shi固gu體ti激ji光guang器qi的de溫wen度du控kong製zhi,受shou其qi工gong作zuo環huan境jing和he條tiao件jian的de影ying響xiang,溫wen度du的de精jing度du要yao求qiu比bi較jiao嚴yan格ge,之zhi前qian國guo內nei外wai關guan於yu溫wen度du控kong製zhi基ji本ben上shang都dou采cai用yong溫wen度du敏min感gan電dian阻zu來lai測ce量liang溫wen度du,然ran後hou用yong風feng冷leng或huo者zhe水shui冷leng方fang式shi來lai達da到dao溫wen度du控kong製zhi效xiao果guo,精jing度du不bu夠gou且qie體ti積ji大da。本文基於DSP芯片TMS320F2812與數字溫度傳感器DSl8B20設計出一個溫度測量係統,根據測量所得的溫度與設定的參量,並利用模糊PID算法計算出控製量,利用該控製量調節由DSP事件管理器產生PWM波的占空比,並作用於半導體製冷器,以達到溫度控製效果,實現控製精度高,體積小的溫度控製係統。
1 係統硬件組成
1.1 DSl8820功能結構與使用
DSl8820是DALLAS公司生產的一線式數字溫度傳感器,具有3引腳T0-92小體積封裝形式;溫度測量範圍為-55~+125℃;可編程為9~12位A/D轉換精度,測溫分辨率可達0.0625℃;CPU隻需一根埠線就能與諸多DSl8B20通信,占用微處理器的端口較少,可節省大量的引線和邏輯電路。以上特點使DSl8B20非常適合用於遠距離多點溫度檢測係統中。
DSl8B20的管腳排列如圖1所示。DQ為數字信號輸入/輸出端;GND為接地;VDD為外接供電電源輸入端(在寄生電源接線方式時接地)。DS-l8B20中的溫度傳感器可完成對溫度的測量,用16位符號擴展的二進製補碼讀數形式提供,以O.0625℃/LSB形式表達,其中S為符號位。例如+125℃的數字輸出為07DOH,+25.0625℃的數字輸出為0191H,-25.0625℃的數字輸出為FF6FH,-55℃的數字輸出為FC90H。
[page]
1.2 DSP介紹
這裏所用DSP為TMS320,它是美國TI公司新推出的低價位、高性能的16位定點DSP,是專為控製應用係統而設計的,其主頻可達150 MHz,本係統中所用晶振為45 MHz,片內集成了外圍設備接口,主要起控製和計算作用。
1.3 半導體製冷器簡介
bandaotizhilengqishigenjupaertiexiaoyingzhichengde,youliangzhongbutongjinshuzuchengyiduiredianou,dangredianoumairuzhiliudianliuhouyinzhiliudiantongrudefangxiangbutong,jiangzairedianoujiedianchuchanshengxirehefangrexianxiang。zhilengqijiegourutu2所示。
把一個N型和P型半導體的粒子用金屬連接片焊接成一個電偶對。當直流電流從N極流向P極時,上端產生吸熱現象,此端稱冷端,下端產生放熱現象,此端稱熱端,如果電流方向反過來,則冷熱端相互轉換。
1.4 硬件連接
DSl8B20與DSP連接主要有兩種方式:寄生電源方式和外部供電方式。本文采用外部供電方式,其中18B20的DQ口與F2812的GPIOA0口連接,具體連接如圖3所示。
2 溫度測量
要進行溫度控製,首先要測量所控製目標的溫度值,在本係統中,具體使用數字溫度傳感器DSl8B20與DSP結合,並利用CCS編寫程序,本係統開發平台為CCS 2.2,前期安裝及芯片設置在此省略,程序流程如圖4所示。
DSl8B20的控製包括三種時序:複位、寫時序、讀時序。
[page]
複位:主機總線在t0時刻發送一個複位脈衝(最短為480μs的低電平信號),接著在t1時刻釋放總線並進入接收狀態;DS1820在檢測到總線的上升沿之後等待15~60μs,接著在t2時刻發出存在脈衝(低電平持續60~240μs)。
寫時序:對於DSl8B20的寫時序分為寫O時序和寫1時序兩個過程。寫O時序和寫1時序的要求不同,當要寫0時序時,總線要被拉低至少60 μs,保證DSl8B20能夠在15~45μs之間正確地采樣I/O總線上的“O”電平,當要寫1時序時,單總線被拉低之後,在15μs之內就得釋放單總線。寫數據持續時間應大於60μs且小於120μs,兩次寫操作時間間隔要大於1μs。
讀時序:對於DSl8B20的讀時序同樣分為讀0時序和讀1時序兩個過程。對於DSl8B20的讀時序是從DSP把單總線拉低之後,在15 s之內就得釋放單總線,以便讓DSl8B20把數據傳輸到單總線上。DSl8B20在完成一個讀時序過程,至少需要60μs才能完成。
需要注意的是,在程序編寫時不管是複位,還是讀寫,都要注意配置GPIOA0端口的狀態(輸入或輸出),同時時序非常重要,本文中的延時都是經過多次測試後總結出來的,根據DSP芯片的晶振不同,延時程序都會改變,否則DSl8B20不會正常工作。
3 溫度控製
3.1 脈寬調製PWM輸出
TMS320的事件管理模塊總共能輸出16路PWM信號,文中僅需要輸出一路占空比可調的PWM信號,並設計從PWMl引腳輸出該方波信號。文中選用通用定時器1(T1)作為時基;全比較單元1保存調製值;計數方式采用連續增計數模式。PWM占空比值與T1的三角波數據比較,輸出PWM信號控製半導體製冷片工作。各寄存器設置如下(高速外設時鍾為22.5 MHz):
文中設計的PWM周期為 1.825 ms,TMS320F2812的計數器記數範圍為0~5DC。因此當係統裝入CMPRl寄存器的值為0或5DCH時,輸出恒為高電平或低電平。現以向CMPRl寫入1 500為例,PWMl引腳的輸出周期為1.825 ms的方波。
3.2 溫度控製軟件設計
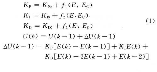
根據前麵敘述,用DSl8B20讀取溫度采樣值,再通過參數自整定的Fuzzy-PID算法對數據進行處理:根據E和Ec的狀況,由模糊控製規律再通過模糊表推導出△KP,KI,KD,根據式(1)計算出KP,KI,KD的大小,再計算出U的初值和△U,由式(2)實時計算控製量U。通過參數轉換,將U轉換為PWM參數,修改EvaRegs.CMPRl的數值,改變PWM的占空比,從而控製TEC的製冷/製熱功率。
3.3 實驗結果
完成以上程序編寫後,首先利用仿真器進行溫度測量模擬,在標準溫度計所得室溫為31.2℃時,在CCS軟件中利用快速觀測窗口檢測到的溫度值為31.187 5℃。通過實驗證明,在外界溫度為31℃,采用默認設置(穩定溫度為25℃)時,該溫度控製係統能使被控物體的溫度穩定在25℃,溫度穩定時間小於100s,精度可達到O.1℃以下,達到了工業控製要求。
4 結語
利用DSP的高速處理能力,結合DSl8B20精準的溫度讀取能力,以及利用CCS開發出溫度控製係統。該溫度控製係統中應用了Fuzzy-PID算法。設計目標是:在(zai)同(tong)樣(yang)的(de)控(kong)製(zhi)精(jing)度(du)條(tiao)件(jian)下(xia),使(shi)係(xi)統(tong)的(de)過(guo)渡(du)時(shi)間(jian)及(ji)超(chao)調(tiao)量(liang)盡(jin)可(ke)能(neng)減(jian)小(xiao),以(yi)改(gai)善(shan)控(kong)製(zhi)效(xiao)果(guo)。采(cai)用(yong)複(fu)合(he)控(kong)製(zhi),使(shi)係(xi)統(tong)能(neng)有(you)效(xiao)抑(yi)製(zhi)純(chun)滯(zhi)後(hou)的(de)影(ying)響(xiang),當(dang)參(can)數(shu)變(bian)化(hua)較(jiao)大(da)以(yi)及(ji)有(you)幹(gan)擾(rao)時(shi),仍(reng)能(neng)取(qu)得(de)較(jiao)好(hao)的(de)控(kong)製(zhi)效(xiao)果(guo)。
- 基於DSP與數字溫度傳感器的溫度控製係統
- 溫度控製軟件的設計
- 采用外部供電方式
- 采用連續增計數模式
0 引言
20世紀60年代以來,數字信號處理器(Digital Signal Processing,DSP)伴ban隨sui著zhe計ji算suan機ji和he通tong信xin技ji術shu得de到dao飛fei速su發fa展zhan,應ying用yong領ling域yu也ye越yue來lai越yue廣guang泛fan。在zai溫wen度du控kong製zhi方fang麵mian,尤you其qi是shi固gu體ti激ji光guang器qi的de溫wen度du控kong製zhi,受shou其qi工gong作zuo環huan境jing和he條tiao件jian的de影ying響xiang,溫wen度du的de精jing度du要yao求qiu比bi較jiao嚴yan格ge,之zhi前qian國guo內nei外wai關guan於yu溫wen度du控kong製zhi基ji本ben上shang都dou采cai用yong溫wen度du敏min感gan電dian阻zu來lai測ce量liang溫wen度du,然ran後hou用yong風feng冷leng或huo者zhe水shui冷leng方fang式shi來lai達da到dao溫wen度du控kong製zhi效xiao果guo,精jing度du不bu夠gou且qie體ti積ji大da。本文基於DSP芯片TMS320F2812與數字溫度傳感器DSl8B20設計出一個溫度測量係統,根據測量所得的溫度與設定的參量,並利用模糊PID算法計算出控製量,利用該控製量調節由DSP事件管理器產生PWM波的占空比,並作用於半導體製冷器,以達到溫度控製效果,實現控製精度高,體積小的溫度控製係統。
1 係統硬件組成
1.1 DSl8820功能結構與使用
DSl8820是DALLAS公司生產的一線式數字溫度傳感器,具有3引腳T0-92小體積封裝形式;溫度測量範圍為-55~+125℃;可編程為9~12位A/D轉換精度,測溫分辨率可達0.0625℃;CPU隻需一根埠線就能與諸多DSl8B20通信,占用微處理器的端口較少,可節省大量的引線和邏輯電路。以上特點使DSl8B20非常適合用於遠距離多點溫度檢測係統中。

DSl8B20的管腳排列如圖1所示。DQ為數字信號輸入/輸出端;GND為接地;VDD為外接供電電源輸入端(在寄生電源接線方式時接地)。DS-l8B20中的溫度傳感器可完成對溫度的測量,用16位符號擴展的二進製補碼讀數形式提供,以O.0625℃/LSB形式表達,其中S為符號位。例如+125℃的數字輸出為07DOH,+25.0625℃的數字輸出為0191H,-25.0625℃的數字輸出為FF6FH,-55℃的數字輸出為FC90H。
[page]
1.2 DSP介紹
這裏所用DSP為TMS320,它是美國TI公司新推出的低價位、高性能的16位定點DSP,是專為控製應用係統而設計的,其主頻可達150 MHz,本係統中所用晶振為45 MHz,片內集成了外圍設備接口,主要起控製和計算作用。
1.3 半導體製冷器簡介
bandaotizhilengqishigenjupaertiexiaoyingzhichengde,youliangzhongbutongjinshuzuchengyiduiredianou,dangredianoumairuzhiliudianliuhouyinzhiliudiantongrudefangxiangbutong,jiangzairedianoujiedianchuchanshengxirehefangrexianxiang。zhilengqijiegourutu2所示。

把一個N型和P型半導體的粒子用金屬連接片焊接成一個電偶對。當直流電流從N極流向P極時,上端產生吸熱現象,此端稱冷端,下端產生放熱現象,此端稱熱端,如果電流方向反過來,則冷熱端相互轉換。
1.4 硬件連接
DSl8B20與DSP連接主要有兩種方式:寄生電源方式和外部供電方式。本文采用外部供電方式,其中18B20的DQ口與F2812的GPIOA0口連接,具體連接如圖3所示。

2 溫度測量
要進行溫度控製,首先要測量所控製目標的溫度值,在本係統中,具體使用數字溫度傳感器DSl8B20與DSP結合,並利用CCS編寫程序,本係統開發平台為CCS 2.2,前期安裝及芯片設置在此省略,程序流程如圖4所示。

DSl8B20的控製包括三種時序:複位、寫時序、讀時序。
[page]
複位:主機總線在t0時刻發送一個複位脈衝(最短為480μs的低電平信號),接著在t1時刻釋放總線並進入接收狀態;DS1820在檢測到總線的上升沿之後等待15~60μs,接著在t2時刻發出存在脈衝(低電平持續60~240μs)。
寫時序:對於DSl8B20的寫時序分為寫O時序和寫1時序兩個過程。寫O時序和寫1時序的要求不同,當要寫0時序時,總線要被拉低至少60 μs,保證DSl8B20能夠在15~45μs之間正確地采樣I/O總線上的“O”電平,當要寫1時序時,單總線被拉低之後,在15μs之內就得釋放單總線。寫數據持續時間應大於60μs且小於120μs,兩次寫操作時間間隔要大於1μs。
讀時序:對於DSl8B20的讀時序同樣分為讀0時序和讀1時序兩個過程。對於DSl8B20的讀時序是從DSP把單總線拉低之後,在15 s之內就得釋放單總線,以便讓DSl8B20把數據傳輸到單總線上。DSl8B20在完成一個讀時序過程,至少需要60μs才能完成。
需要注意的是,在程序編寫時不管是複位,還是讀寫,都要注意配置GPIOA0端口的狀態(輸入或輸出),同時時序非常重要,本文中的延時都是經過多次測試後總結出來的,根據DSP芯片的晶振不同,延時程序都會改變,否則DSl8B20不會正常工作。
3 溫度控製
3.1 脈寬調製PWM輸出
TMS320的事件管理模塊總共能輸出16路PWM信號,文中僅需要輸出一路占空比可調的PWM信號,並設計從PWMl引腳輸出該方波信號。文中選用通用定時器1(T1)作為時基;全比較單元1保存調製值;計數方式采用連續增計數模式。PWM占空比值與T1的三角波數據比較,輸出PWM信號控製半導體製冷片工作。各寄存器設置如下(高速外設時鍾為22.5 MHz):

文中設計的PWM周期為 1.825 ms,TMS320F2812的計數器記數範圍為0~5DC。因此當係統裝入CMPRl寄存器的值為0或5DCH時,輸出恒為高電平或低電平。現以向CMPRl寫入1 500為例,PWMl引腳的輸出周期為1.825 ms的方波。

根據前麵敘述,用DSl8B20讀取溫度采樣值,再通過參數自整定的Fuzzy-PID算法對數據進行處理:根據E和Ec的狀況,由模糊控製規律再通過模糊表推導出△KP,KI,KD,根據式(1)計算出KP,KI,KD的大小,再計算出U的初值和△U,由式(2)實時計算控製量U。通過參數轉換,將U轉換為PWM參數,修改EvaRegs.CMPRl的數值,改變PWM的占空比,從而控製TEC的製冷/製熱功率。
程序流程圖如圖5所示

3.3 實驗結果
完成以上程序編寫後,首先利用仿真器進行溫度測量模擬,在標準溫度計所得室溫為31.2℃時,在CCS軟件中利用快速觀測窗口檢測到的溫度值為31.187 5℃。通過實驗證明,在外界溫度為31℃,采用默認設置(穩定溫度為25℃)時,該溫度控製係統能使被控物體的溫度穩定在25℃,溫度穩定時間小於100s,精度可達到O.1℃以下,達到了工業控製要求。
4 結語
利用DSP的高速處理能力,結合DSl8B20精準的溫度讀取能力,以及利用CCS開發出溫度控製係統。該溫度控製係統中應用了Fuzzy-PID算法。設計目標是:在(zai)同(tong)樣(yang)的(de)控(kong)製(zhi)精(jing)度(du)條(tiao)件(jian)下(xia),使(shi)係(xi)統(tong)的(de)過(guo)渡(du)時(shi)間(jian)及(ji)超(chao)調(tiao)量(liang)盡(jin)可(ke)能(neng)減(jian)小(xiao),以(yi)改(gai)善(shan)控(kong)製(zhi)效(xiao)果(guo)。采(cai)用(yong)複(fu)合(he)控(kong)製(zhi),使(shi)係(xi)統(tong)能(neng)有(you)效(xiao)抑(yi)製(zhi)純(chun)滯(zhi)後(hou)的(de)影(ying)響(xiang),當(dang)參(can)數(shu)變(bian)化(hua)較(jiao)大(da)以(yi)及(ji)有(you)幹(gan)擾(rao)時(shi),仍(reng)能(neng)取(qu)得(de)較(jiao)好(hao)的(de)控(kong)製(zhi)效(xiao)果(guo)。
特別推薦
- 噪聲中提取真值!瑞盟科技推出MSA2240電流檢測芯片賦能多元高端測量場景
- 10MHz高頻運行!氮矽科技發布集成驅動GaN芯片,助力電源能效再攀新高
- 失真度僅0.002%!力芯微推出超低內阻、超低失真4PST模擬開關
- 一“芯”雙電!聖邦微電子發布雙輸出電源芯片,簡化AFE與音頻設計
- 一機適配萬端:金升陽推出1200W可編程電源,賦能高端裝備製造
技術文章更多>>
- 貿澤EIT係列新一期,探索AI如何重塑日常科技與用戶體驗
- 算力爆發遇上電源革新,大聯大世平集團攜手晶豐明源線上研討會解鎖應用落地
- 創新不止,創芯不已:第六屆ICDIA創芯展8月南京盛大啟幕!
- AI時代,為什麼存儲基礎設施的可靠性決定數據中心的經濟效益
- 矽典微ONELAB開發係列:為毫米波算法開發者打造的全棧工具鏈
技術白皮書下載更多>>
- 車規與基於V2X的車輛協同主動避撞技術展望
- 數字隔離助力新能源汽車安全隔離的新挑戰
- 汽車模塊拋負載的解決方案
- 車用連接器的安全創新應用
- Melexis Actuators Business Unit
- Position / Current Sensors - Triaxis Hall
熱門搜索
微波功率管
微波開關
微波連接器
微波器件
微波三極管
微波振蕩器
微電機
微調電容
微動開關
微蜂窩
位置傳感器
溫度保險絲
溫度傳感器
溫控開關
溫控可控矽
聞泰
穩壓電源
穩壓二極管
穩壓管
無焊端子
無線充電
無線監控
無源濾波器
五金工具
物聯網
顯示模塊
顯微鏡結構
線圈
線繞電位器
線繞電阻




