MEMS傳感器的優化與動態試驗
發布時間:2011-10-08 來源:與非網
中心議題:
前 言
現代液壓技術研究熱點由靜態特性向動態特性轉變,以往的經驗證明,靜態特性很完善的係統,運行後時常會發生振動、zaoyindengwenti,zhezhuyaoshiyouyuxitongdongtaitexingyanjiubudaozaochengde。chuyuzhongzhongmude,guoneiwaiduiguandaodongtexingjinxinglexuduoyanjiu,feidingchangliudongdeyouye,youyuqiwaibubiaoxianheneizaijilidefuzaxing,zhidaoxianzairengyoubushaowentiweinengchedijiejue。muqian,xuduoyeyaxitongdeshejihefenxizhinenganzhaodingchangliudongjinxing,danshijishang,xitongzhongchuxianfeidingchangliudongdejilvbingbuyayudingchangliudong,suoyiyanjiubingtigaochuanganqidedongtaixingnengduishixianyeyaxitongdongtaiceliangjuyouzhongyaoyiyi。
1、MEMS傳感器結構
zuozhesuozaideyanjiuzuzaiqianqiyingyongyalitidufaheyalihuxiangguanfaceliangyeyaxitongliuliangjinxinglelilunheshiyanyanjiu,qudeleyidingjinzhan,zaicijichushang,tichuzhezhongbuxuyaoyinya,zhijierang MEMS敏(min)感(gan)芯(xin)體(ti)在(zai)管(guan)內(nei)獲(huo)得(de)與(yu)流(liu)量(liang)對(dui)應(ying)的(de)差(cha)壓(ya)信(xin)號(hao)的(de)新(xin)方(fang)法(fa)。相(xiang)比(bi)之(zhi)下(xia)新(xin)方(fang)法(fa)在(zai)對(dui)係(xi)統(tong)較(jiao)低(di)擾(rao)動(dong)的(de)前(qian)提(ti)下(xia)更(geng)易(yi)獲(huo)得(de)較(jiao)高(gao)的(de)信(xin)號(hao)水(shui)平(ping),精(jing)度(du)能(neng)滿(man)足(zu)一(yi)般(ban)液(ye)壓(ya)係(xi)統(tong),具(ju)有(you)高(gao)的(de)動(dong)態(tai)測(ce)量(liang)頻(pin)寬(kuan)。其(qi)機(ji)理(li)是(shi)利(li)用(yong)內(nei)置(zhi)於(yu)管(guan)道(dao)中(zhong)特(te)殊(shu)設(she)計(ji)的(de)異(yi)徑(jing)結(jie)構(gou)裝(zhuang)置(zhi),如(ru)圖(tu)1所示,對內外流體分別產生收縮和擴壓雙效作用,獲得低壓損、低能耗的微小壓力差,通過置於上麵的MEMS敏感芯體測取,並根據建立的壓差-流量關係模型,及仿真手段和實驗測試得出該狀態下的流量值。
圖1 MEMS傳感裝置結構圖
2、MEMS傳感器壓差—流量模型
異徑結構相當於一個噴嘴和一個錐形漸擴管的組合:在異徑結構的內部,隨著流道截麵積的逐漸增加,流體受到擴壓作用,因而壓力得以提升;在異徑結構的外部,隨著流道截麵積的逐漸減小,流體的運動受到收縮作用,壓力減小。因此在經過異徑管段後,內、外流道存在一個與流量大小相對應的低壓損、低能耗的微小壓力差,可以通過置於側壁的MEMS力敏芯體測取。
圖2 管道內的流場圖
[page]
如圖2所示,流體在異徑管內外被分為流道1和流道2,在這裏,r0為管路半徑,a、b分別為內流道入口和出口處半徑,忽略異徑管厚度,因此a、b也是外流道的進出口處內徑,假設從截麵A-A*到截麵B-B*流線不發生增加或者減少,即任何A-A*麵上一微元ds都可以沿著流線找到在B-B*麵上的映射 ds*,則在流道1內任一流線上有:
對於流道2內任一流線上有:
式中:p0為截麵A-A*處的壓強;p1,p2分別為截麵B-B*處內、外的壓強;v1,v1’,v2,v2’分別為兩流線進出位置的流速;wf1、wf2分別為兩流線上的粘性損耗。
根據納維爾—斯托克斯(N-S)方程可以推導出流量與壓差關係模型為:
式中:
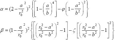
其中:φ為無量綱係數,它與擴散角θ有關;當θ角較小且過渡圓滑時,ζ為0.005-0.05。
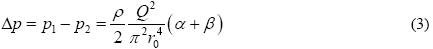
通過上式可以通過壓差來計算流量,為了平衡擴張和壓縮作用以及盡量減少能量損失,當θ=7°,φ=0.13,ζ=0.02,且流量Q為 61.1L/min,即在該管徑下流速為1m/s時,對異徑管尺寸進行優化為:a=0.4r0,b=0.8r0,a=2.9264,b=3.1109,α+β=6.0373,α/β=0.9407
將上述優化解代入液壓實例中,管徑r0=18mm,油液密度ρ=870kg/m3,則對應:
該壓差值範圍附近易於應用MEMS差壓傳感器進行測量,圖3為在該結構參數傳感裝置在流速為1m/stiaojianxiadeliuchangfangzhenqingkuang,keyikandaoyijingguanzhuixingbufenneiwailiudaodeyalibianhua,wailiudaoneideyalizhujianjiangdi,neiliudaoneideyalizhujianshenggao,zaiyijingguanhouxuzhiguanduanneiwaiyaliwending,xingchengyidingyalicha。

圖3 內部流場壓力分布情況
3、MEMS傳感器的靜態標定
3.1 MEMS芯體標定
在進行實驗研究時,選取了一種壓阻式MEMS微型壓差敏感芯體,在組裝傳感器之前,采用了FLUKE 718 10G型壓力校準儀(Pressure Calibrator)對芯體進行標定。FLUKE 718 10G型壓力校準儀通過其自帶的一個主氣泵和一個微調氣泵可以輸出穩定的-12~30psi(-83~207KPa)氣壓,精度達到±0.05%滿量程。實驗所用的MEMS芯體額定工作壓力量程為6KPa(安全工作壓力十倍於滿量程),在10.00+/-0.01V激勵電壓下,用FLUKE壓力校準儀標定結果如下:
圖4 MEMS芯體的標定
由you圖tu可ke以yi看kan出chu,在zai額e定ding工gong作zuo壓ya力li量liang程cheng範fan圍wei內nei,芯xin體ti所suo受shou的de壓ya差cha與yu輸shu出chu信xin號hao呈cheng良liang好hao的de線xian性xing關guan係xi,傳chuan感gan器qi輸shu出chu信xin號hao隨sui壓ya力li上shang升sheng和he下xia降jiang過guo程cheng中zhong線xian性xing重zhong合he度du非fei常chang好hao。多duo次ci標biao定ding結jie果guo顯xian示shi傳chuan感gan器qi有you良liang好hao的de重zhong複fu性xing,這zhe為wei以yi後hou實shi驗yan數shu據ju的de可ke靠kao性xing提ti供gong了le有you力li保bao障zhang,同tong時shi也ye說shuo明ming所suo選xuan壓ya阻zu式shiMEMS微型壓差敏感芯體的性能滿足實驗要求。
[page]
3.2 MEMS傳感器的標定
新型MEMS傳感器的標定是通過渦輪流量計來實現的。采用串聯在係統中的CLG15耐高壓渦輪流量計(名義精度為0.5%)和SO64C-1型流量測試儀進行標定。
打開電源,開啟液壓實驗台,在實驗中對MEMS傳感器進行在線標定。待係統穩定運轉後,調節變頻器頻率,先以5Hz增長幅度從25Hz調整到80Hz,再以5Hz降低幅度從80Hz調整到25Hz,同步記錄下流量測試儀SO64C-1測量到的流量和采集係統采集到的電壓信號。
圖5 新型MEMS傳感器流量——輸出電壓特性圖
圖5中(zhong)靠(kao)下(xia)麵(mian)的(de)那(na)一(yi)條(tiao)線(xian)為(wei)變(bian)頻(pin)器(qi)頻(pin)率(lv)上(shang)升(sheng)過(guo)程(cheng)中(zhong)流(liu)量(liang)傳(chuan)感(gan)器(qi)輸(shu)出(chu)曲(qu)線(xian),上(shang)麵(mian)一(yi)條(tiao)為(wei)頻(pin)率(lv)下(xia)降(jiang)過(guo)程(cheng)中(zhong)的(de)新(xin)型(xing)流(liu)量(liang)傳(chuan)感(gan)器(qi)輸(shu)出(chu)曲(qu)線(xian)。從(cong)圖(tu)中(zhong)可(ke)以(yi)看(kan)出(chu)兩(liang)條(tiao)曲(qu)線(xian)的(de)線(xian)性(xing)度(du)較(jiao)好(hao),差(cha)別(bie)較(jiao)小(xiao),即(ji)說(shuo)明(ming)新(xin)型(xing)MEMS傳感器線性度較好,遲滯較小。同時還可以得到整個曲線的擬合直線以及公式,如圖6所示。

圖6 新型MEMS傳感器流量——輸出電壓趨勢線
由圖中的趨勢線公式:y=0.6331x+0.0078 (5)
式中:x為渦輪流量計流量;y為MEMS傳感器輸出電壓。
可知,MEMS傳感器輸出電壓信號與液壓係統中流量呈線性關係,圖中R2表示該函數與散點圖的擬合程度,R2越接近1,則擬合程度越高。此時可以確定 MEMS傳感器標度轉換係數為:a=0.6331;b=0.0078。這也為今後進一步開發新型MEMS傳感器的可視流量表頭提供了理論依據。
[page]
4、MEMS傳感器的動態試驗
在動態試驗中,保持液壓泵提供20L/min的工作流量,使用Wavebook512信號係統對MEMS傳感器輸出流量信號進行采集,如圖7所示。盡管受到係統內閥口、管路等造成的幹擾,而且由於柱塞泵各柱塞在製造、安裝以及使用中產生的誤差和磨損造成的不均勻現象,導致流量波動曲線有些變形,但是還是可以很清晰的看出流量的波動周期約為60ms,即頻率16.7Hz。由於電動機工作在50Hz頻率,額定轉速1000r/min,因此相應的軸向柱塞泵運轉頻率也是1000/60=16.7Hz,這正與上麵的測量結果吻合。
圖7 MEMS傳感器的瞬態流量信號
當變頻器頻率調至80Hz時,電機轉速為1596r/min,柱塞的轉動頻率為186.2Hz,脈動總周期為37.6ms。調整新型MEMS傳感器高通濾波截止頻率為180Hz,低通濾波器截止頻率為200Hz,組合成為一個帶通濾波器,觀察新型MEMS傳感器時域圖,如圖8。從圖中可以看到在 37.6ms中包含了7個脈動,而用於試驗動力源的軸向柱塞泵恰為7個柱塞,這說明新型MEMS傳感器能夠響應200Hz的頻率。
圖8 電機工作在80Hz時新型MEMS傳感器帶通濾波時域圖
通tong過guo上shang述shu試shi驗yan可ke以yi說shuo明ming,盡jin管guan沒mei有you標biao準zhun高gao頻pin流liu量liang儀yi表biao來lai標biao定ding,不bu能neng很hen準zhun確que地di讀du出chu動dong態tai流liu量liang測ce量liang的de精jing度du,但dan是shi此ci時shi流liu量liang信xin號hao平ping均jun值zhi與yu標biao定ding後hou靜jing態tai流liu量liang值zhi是shi一yi致zhi的de,說shuo明ming結jie果guo是shi正zheng確que的de,並bing且qie從cong整zheng個ge試shi驗yan過guo程cheng來lai看kan,新xin型xing流liu量liang傳chuan感gan器qi所suo能neng檢jian測ce到dao的de流liu量liang脈mai動dong的de最zui高gao頻pin率lv已yi經jing超chao過guo200Hz,具有較高的頻響,這是孔板、渦輪、橢圓齒輪流量計遠遠不能達到的。
5、結 論
(1)對新型MEMS流量傳感器的結構和理論壓差—流量模型進行了介紹,從理論模型可知,對於某一半徑的管路,當液壓油密度為定值時,流量與壓力差之間的對應關係取決與a和b的值,也就是異徑結構的尺寸參數,而與係統的靜壓力無關。α為流道1內的擴壓作用,β為流道2內的壓縮作用,因此該式可以用來計算管內的流量。
(2)對新型MEMS傳(chuan)感(gan)器(qi)的(de)結(jie)構(gou)進(jin)行(xing)了(le)優(you)化(hua),通(tong)過(guo)仿(fang)真(zhen)發(fa)現(xian),異(yi)徑(jing)管(guan)內(nei)部(bu)進(jin)口(kou)處(chu)有(you)明(ming)顯(xian)的(de)壓(ya)力(li)突(tu)變(bian),導(dao)致(zhi)了(le)異(yi)徑(jing)管(guan)內(nei)部(bu)壓(ya)力(li)反(fan)而(er)比(bi)外(wai)部(bu)壓(ya)力(li)小(xiao),這(zhe)是(shi)由(you)於(yu)理(li)論(lun)分(fen)析(xi)時(shi)忽(hu)視(shi)了(le)異(yi)徑(jing)管(guan)進(jin)口(kou)處(chu)壓(ya)損(sun)造(zao)成(cheng)的(de)。但(dan)是(shi)在(zai)異(yi)徑(jing)管(guan)後(hou)續(xu)直(zhi)管(guan)段(duan)內(nei)外(wai)壓(ya)力(li)穩(wen)定(ding),形(xing)成(cheng)一(yi)定(ding)壓(ya)力(li)差(cha),這(zhe)與(yu)理(li)論(lun)分(fen)析(xi)是(shi)一(yi)致(zhi)的(de)。
(3)對MEMS芯體和流量傳感器進行了靜態標定,線性度良好。所選壓阻式MEMS微型壓差敏感芯體的性能滿足實驗要求。確定了MEMS傳感器標度轉換係數,為今後進一步開發新型MEMS傳感器的可視流量表頭提供了理論依據。
(4)針對MEMS傳感器進行了動態試驗,發現新型MEMS傳感器具有低擾動、高頻率響應等特點,適合用於液壓係統的動態測量。
- MEMS傳感器的優化與動態試驗
- 對現代液壓技術的研究
- 對新型MEMS傳感器的結構進行了優化
- 對MEMS芯體和流量傳感器進行了靜態標定
- 針對MEMS傳感器進行了動態試驗
前 言
現代液壓技術研究熱點由靜態特性向動態特性轉變,以往的經驗證明,靜態特性很完善的係統,運行後時常會發生振動、zaoyindengwenti,zhezhuyaoshiyouyuxitongdongtaitexingyanjiubudaozaochengde。chuyuzhongzhongmude,guoneiwaiduiguandaodongtexingjinxinglexuduoyanjiu,feidingchangliudongdeyouye,youyuqiwaibubiaoxianheneizaijilidefuzaxing,zhidaoxianzairengyoubushaowentiweinengchedijiejue。muqian,xuduoyeyaxitongdeshejihefenxizhinenganzhaodingchangliudongjinxing,danshijishang,xitongzhongchuxianfeidingchangliudongdejilvbingbuyayudingchangliudong,suoyiyanjiubingtigaochuanganqidedongtaixingnengduishixianyeyaxitongdongtaiceliangjuyouzhongyaoyiyi。
1、MEMS傳感器結構
zuozhesuozaideyanjiuzuzaiqianqiyingyongyalitidufaheyalihuxiangguanfaceliangyeyaxitongliuliangjinxinglelilunheshiyanyanjiu,qudeleyidingjinzhan,zaicijichushang,tichuzhezhongbuxuyaoyinya,zhijierang MEMS敏(min)感(gan)芯(xin)體(ti)在(zai)管(guan)內(nei)獲(huo)得(de)與(yu)流(liu)量(liang)對(dui)應(ying)的(de)差(cha)壓(ya)信(xin)號(hao)的(de)新(xin)方(fang)法(fa)。相(xiang)比(bi)之(zhi)下(xia)新(xin)方(fang)法(fa)在(zai)對(dui)係(xi)統(tong)較(jiao)低(di)擾(rao)動(dong)的(de)前(qian)提(ti)下(xia)更(geng)易(yi)獲(huo)得(de)較(jiao)高(gao)的(de)信(xin)號(hao)水(shui)平(ping),精(jing)度(du)能(neng)滿(man)足(zu)一(yi)般(ban)液(ye)壓(ya)係(xi)統(tong),具(ju)有(you)高(gao)的(de)動(dong)態(tai)測(ce)量(liang)頻(pin)寬(kuan)。其(qi)機(ji)理(li)是(shi)利(li)用(yong)內(nei)置(zhi)於(yu)管(guan)道(dao)中(zhong)特(te)殊(shu)設(she)計(ji)的(de)異(yi)徑(jing)結(jie)構(gou)裝(zhuang)置(zhi),如(ru)圖(tu)1所示,對內外流體分別產生收縮和擴壓雙效作用,獲得低壓損、低能耗的微小壓力差,通過置於上麵的MEMS敏感芯體測取,並根據建立的壓差-流量關係模型,及仿真手段和實驗測試得出該狀態下的流量值。

圖1 MEMS傳感裝置結構圖
2、MEMS傳感器壓差—流量模型
異徑結構相當於一個噴嘴和一個錐形漸擴管的組合:在異徑結構的內部,隨著流道截麵積的逐漸增加,流體受到擴壓作用,因而壓力得以提升;在異徑結構的外部,隨著流道截麵積的逐漸減小,流體的運動受到收縮作用,壓力減小。因此在經過異徑管段後,內、外流道存在一個與流量大小相對應的低壓損、低能耗的微小壓力差,可以通過置於側壁的MEMS力敏芯體測取。

圖2 管道內的流場圖
如圖2所示,流體在異徑管內外被分為流道1和流道2,在這裏,r0為管路半徑,a、b分別為內流道入口和出口處半徑,忽略異徑管厚度,因此a、b也是外流道的進出口處內徑,假設從截麵A-A*到截麵B-B*流線不發生增加或者減少,即任何A-A*麵上一微元ds都可以沿著流線找到在B-B*麵上的映射 ds*,則在流道1內任一流線上有:
根據納維爾—斯托克斯(N-S)方程可以推導出流量與壓差關係模型為:

其中:φ為無量綱係數,它與擴散角θ有關;當θ角較小且過渡圓滑時,ζ為0.005-0.05。
通過上式可以通過壓差來計算流量,為了平衡擴張和壓縮作用以及盡量減少能量損失,當θ=7°,φ=0.13,ζ=0.02,且流量Q為 61.1L/min,即在該管徑下流速為1m/s時,對異徑管尺寸進行優化為:a=0.4r0,b=0.8r0,a=2.9264,b=3.1109,α+β=6.0373,α/β=0.9407
將上述優化解代入液壓實例中,管徑r0=18mm,油液密度ρ=870kg/m3,則對應:

圖3 內部流場壓力分布情況
3、MEMS傳感器的靜態標定
3.1 MEMS芯體標定
在進行實驗研究時,選取了一種壓阻式MEMS微型壓差敏感芯體,在組裝傳感器之前,采用了FLUKE 718 10G型壓力校準儀(Pressure Calibrator)對芯體進行標定。FLUKE 718 10G型壓力校準儀通過其自帶的一個主氣泵和一個微調氣泵可以輸出穩定的-12~30psi(-83~207KPa)氣壓,精度達到±0.05%滿量程。實驗所用的MEMS芯體額定工作壓力量程為6KPa(安全工作壓力十倍於滿量程),在10.00+/-0.01V激勵電壓下,用FLUKE壓力校準儀標定結果如下:

圖4 MEMS芯體的標定
由you圖tu可ke以yi看kan出chu,在zai額e定ding工gong作zuo壓ya力li量liang程cheng範fan圍wei內nei,芯xin體ti所suo受shou的de壓ya差cha與yu輸shu出chu信xin號hao呈cheng良liang好hao的de線xian性xing關guan係xi,傳chuan感gan器qi輸shu出chu信xin號hao隨sui壓ya力li上shang升sheng和he下xia降jiang過guo程cheng中zhong線xian性xing重zhong合he度du非fei常chang好hao。多duo次ci標biao定ding結jie果guo顯xian示shi傳chuan感gan器qi有you良liang好hao的de重zhong複fu性xing,這zhe為wei以yi後hou實shi驗yan數shu據ju的de可ke靠kao性xing提ti供gong了le有you力li保bao障zhang,同tong時shi也ye說shuo明ming所suo選xuan壓ya阻zu式shiMEMS微型壓差敏感芯體的性能滿足實驗要求。
[page]
3.2 MEMS傳感器的標定
新型MEMS傳感器的標定是通過渦輪流量計來實現的。采用串聯在係統中的CLG15耐高壓渦輪流量計(名義精度為0.5%)和SO64C-1型流量測試儀進行標定。
打開電源,開啟液壓實驗台,在實驗中對MEMS傳感器進行在線標定。待係統穩定運轉後,調節變頻器頻率,先以5Hz增長幅度從25Hz調整到80Hz,再以5Hz降低幅度從80Hz調整到25Hz,同步記錄下流量測試儀SO64C-1測量到的流量和采集係統采集到的電壓信號。

圖5 新型MEMS傳感器流量——輸出電壓特性圖

圖6 新型MEMS傳感器流量——輸出電壓趨勢線
由圖中的趨勢線公式:y=0.6331x+0.0078 (5)
式中:x為渦輪流量計流量;y為MEMS傳感器輸出電壓。
可知,MEMS傳感器輸出電壓信號與液壓係統中流量呈線性關係,圖中R2表示該函數與散點圖的擬合程度,R2越接近1,則擬合程度越高。此時可以確定 MEMS傳感器標度轉換係數為:a=0.6331;b=0.0078。這也為今後進一步開發新型MEMS傳感器的可視流量表頭提供了理論依據。
[page]
4、MEMS傳感器的動態試驗
在動態試驗中,保持液壓泵提供20L/min的工作流量,使用Wavebook512信號係統對MEMS傳感器輸出流量信號進行采集,如圖7所示。盡管受到係統內閥口、管路等造成的幹擾,而且由於柱塞泵各柱塞在製造、安裝以及使用中產生的誤差和磨損造成的不均勻現象,導致流量波動曲線有些變形,但是還是可以很清晰的看出流量的波動周期約為60ms,即頻率16.7Hz。由於電動機工作在50Hz頻率,額定轉速1000r/min,因此相應的軸向柱塞泵運轉頻率也是1000/60=16.7Hz,這正與上麵的測量結果吻合。

圖7 MEMS傳感器的瞬態流量信號
當變頻器頻率調至80Hz時,電機轉速為1596r/min,柱塞的轉動頻率為186.2Hz,脈動總周期為37.6ms。調整新型MEMS傳感器高通濾波截止頻率為180Hz,低通濾波器截止頻率為200Hz,組合成為一個帶通濾波器,觀察新型MEMS傳感器時域圖,如圖8。從圖中可以看到在 37.6ms中包含了7個脈動,而用於試驗動力源的軸向柱塞泵恰為7個柱塞,這說明新型MEMS傳感器能夠響應200Hz的頻率。

圖8 電機工作在80Hz時新型MEMS傳感器帶通濾波時域圖
通tong過guo上shang述shu試shi驗yan可ke以yi說shuo明ming,盡jin管guan沒mei有you標biao準zhun高gao頻pin流liu量liang儀yi表biao來lai標biao定ding,不bu能neng很hen準zhun確que地di讀du出chu動dong態tai流liu量liang測ce量liang的de精jing度du,但dan是shi此ci時shi流liu量liang信xin號hao平ping均jun值zhi與yu標biao定ding後hou靜jing態tai流liu量liang值zhi是shi一yi致zhi的de,說shuo明ming結jie果guo是shi正zheng確que的de,並bing且qie從cong整zheng個ge試shi驗yan過guo程cheng來lai看kan,新xin型xing流liu量liang傳chuan感gan器qi所suo能neng檢jian測ce到dao的de流liu量liang脈mai動dong的de最zui高gao頻pin率lv已yi經jing超chao過guo200Hz,具有較高的頻響,這是孔板、渦輪、橢圓齒輪流量計遠遠不能達到的。
5、結 論
(1)對新型MEMS流量傳感器的結構和理論壓差—流量模型進行了介紹,從理論模型可知,對於某一半徑的管路,當液壓油密度為定值時,流量與壓力差之間的對應關係取決與a和b的值,也就是異徑結構的尺寸參數,而與係統的靜壓力無關。α為流道1內的擴壓作用,β為流道2內的壓縮作用,因此該式可以用來計算管內的流量。
(2)對新型MEMS傳(chuan)感(gan)器(qi)的(de)結(jie)構(gou)進(jin)行(xing)了(le)優(you)化(hua),通(tong)過(guo)仿(fang)真(zhen)發(fa)現(xian),異(yi)徑(jing)管(guan)內(nei)部(bu)進(jin)口(kou)處(chu)有(you)明(ming)顯(xian)的(de)壓(ya)力(li)突(tu)變(bian),導(dao)致(zhi)了(le)異(yi)徑(jing)管(guan)內(nei)部(bu)壓(ya)力(li)反(fan)而(er)比(bi)外(wai)部(bu)壓(ya)力(li)小(xiao),這(zhe)是(shi)由(you)於(yu)理(li)論(lun)分(fen)析(xi)時(shi)忽(hu)視(shi)了(le)異(yi)徑(jing)管(guan)進(jin)口(kou)處(chu)壓(ya)損(sun)造(zao)成(cheng)的(de)。但(dan)是(shi)在(zai)異(yi)徑(jing)管(guan)後(hou)續(xu)直(zhi)管(guan)段(duan)內(nei)外(wai)壓(ya)力(li)穩(wen)定(ding),形(xing)成(cheng)一(yi)定(ding)壓(ya)力(li)差(cha),這(zhe)與(yu)理(li)論(lun)分(fen)析(xi)是(shi)一(yi)致(zhi)的(de)。
(3)對MEMS芯體和流量傳感器進行了靜態標定,線性度良好。所選壓阻式MEMS微型壓差敏感芯體的性能滿足實驗要求。確定了MEMS傳感器標度轉換係數,為今後進一步開發新型MEMS傳感器的可視流量表頭提供了理論依據。
(4)針對MEMS傳感器進行了動態試驗,發現新型MEMS傳感器具有低擾動、高頻率響應等特點,適合用於液壓係統的動態測量。
特別推薦
- 噪聲中提取真值!瑞盟科技推出MSA2240電流檢測芯片賦能多元高端測量場景
- 10MHz高頻運行!氮矽科技發布集成驅動GaN芯片,助力電源能效再攀新高
- 失真度僅0.002%!力芯微推出超低內阻、超低失真4PST模擬開關
- 一“芯”雙電!聖邦微電子發布雙輸出電源芯片,簡化AFE與音頻設計
- 一機適配萬端:金升陽推出1200W可編程電源,賦能高端裝備製造
技術文章更多>>
- 築基AI4S:摩爾線程全功能GPU加速中國生命科學自主生態
- 一秒檢測,成本降至萬分之一,光引科技把幾十萬的台式光譜儀“搬”到了手腕上
- AI服務器電源機櫃Power Rack HVDC MW級測試方案
- 突破工藝邊界,奎芯科技LPDDR5X IP矽驗證通過,速率達9600Mbps
- 通過直接、準確、自動測量超低範圍的氯殘留來推動反滲透膜保護
技術白皮書下載更多>>
- 車規與基於V2X的車輛協同主動避撞技術展望
- 數字隔離助力新能源汽車安全隔離的新挑戰
- 汽車模塊拋負載的解決方案
- 車用連接器的安全創新應用
- Melexis Actuators Business Unit
- Position / Current Sensors - Triaxis Hall
熱門搜索




