汽車電子設備EMC技術改進
發布時間:2011-08-17 來源:電子發燒友
中心議題:
suizheqichediankongjishudebuduanfazhan,qichedianzishebeishuliangdadazengjia,gongzuopinlvzhujiantigao,gonglvzhujianzengda,shideqichegongzuohuanjingzhongchongchizhediancibo,daozhidianciganraowentiriyituchu,qingzeyingxiangdianzishebeidezhengchanggongzuo,zhongzesunhuaixiangyingdedianqiyuanjian。yinci,qichedianzishebeidediancijianrongxingnengyuelaiyueshouzhongshi,muqianpoqieyaoqiunengguangfanyingyongzhenduiqichezishebeidediancigaijinjishu。
電磁幹擾的來源
汽(qi)車(che)電(dian)子(zi)設(she)備(bei)工(gong)作(zuo)在(zai)行(xing)駛(shi)環(huan)境(jing)不(bu)斷(duan)變(bian)化(hua)的(de)汽(qi)車(che)上(shang),環(huan)境(jing)中(zhong)電(dian)磁(ci)能(neng)量(liang)構(gou)成(cheng)的(de)複(fu)雜(za)性(xing)和(he)多(duo)變(bian)性(xing),意(yi)味(wei)著(zhe)係(xi)統(tong)所(suo)受(shou)到(dao)的(de)電(dian)磁(ci)幹(gan)擾(rao)來(lai)源(yuan)比(bi)較(jiao)廣(guang)泛(fan)。按(an)照(zhao)電(dian)磁(ci)幹(gan)擾(rao)的(de)來(lai)源(yuan)分(fen)類(lei),可(ke)分(fen)為(wei)車(che)外(wai)電(dian)磁(ci)幹(gan)擾(rao)、車體靜電幹擾和車內電磁幹擾。
車外電磁幹擾
車外電磁幹擾是汽車行駛中經曆各種外部電磁環境時所受的幹擾。這類幹擾存在於特定的空間或是特定的時間。如高壓輸電線、高壓變電站和大功率無線電發射站的電磁幹擾,以及雷電、太陽黑子輻射電磁幹擾,等等。環境中其它臨近的電子設備工作時也會產生幹擾,例如行駛中相距較近的汽車。
車體靜電幹擾
chetijingdianganraoyuqichehewaibuhuanjingdouyouguan。youyuqichexingshishichetiyukongqigaosumoca,zaichetishangxingchengbujunyunfenbudejingdian。jingdianfangdianhuizaichetishangxingchengganraodianliu,tongshichanshenggaopinfushe,duiqichedianzishebeixingchengdianciganrao。
車內電磁幹擾
cheneidianciganraoshiqichedianzishebeigongzuoshineibudexianghuganrao,baokuodianziyuanqijianchanshengdedianzizaosheng,dianjiyunxingzhonghuanxiangdianshuachanshengdedianciganraoyijigezhongkaiguangongzuoshidefangdianganrao,zuiyanzhongdeshiqichedianhuoxitongchanshengdegaopinfushe,qiganraonengliangzuida。
電磁幹擾的途徑及原理
電磁幹擾按幹擾途徑分類,主要分為傳導幹擾、感應幹擾和輻射幹擾,對應的幹擾原理如下。
傳導幹擾
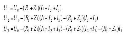
傳導幹擾主要通過電路的共用導體傳播,典型的結構是共電源線和共地線,圖1是典型傳導幹擾電路示意圖。R為電源線上電阻,Z為地線上電阻,U為支路電壓,I為支路電流。
[page]
傳導幹擾電路
由於各設備工作電壓為
公式
因此任意一個設備電流變化都會導致其它設備電壓變化,產生幹擾。要降低設備間的相互影響,需要減小R、Z和I值。
[page]
感應幹擾
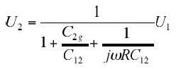
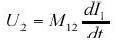
感應幹擾分為電感應幹擾和磁感應幹擾兩種,其基本電路圖如圖2和圖3。U1為導線1的電壓,I1為導線1上電流,U2為導線2上的幹擾電壓,C12為兩導線間的電容,C1g和C2g為導線1、導線2與地的電容,M12為兩回路間互感,R為各電路的電阻。
對電感應電路,
,要減小U2可以減小C12、U1和R,或增大C2g;首要措施是減小C12,方法是增大導線距離或改變導線間介電參數。對磁感應電路,
,要減小U2,可以減小M12或減小I1變化率,基本措施是減小M12,對典型的兩回路,
,L1、L2為兩回路長度,m0為真空磁導率,r為兩回路導線段距離。因此增大r和減小回路麵積都能減小M12。 輻射幹擾
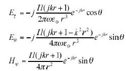
輻射幹擾由天線發射,由於通電的導線和電纜可視為等效天線,因此汽車電子設備的線束輻射幹擾非常嚴重。根據Maxwell方程,典型單極天線的輻射電磁場為
為球坐標,I為天線電流,l為天線長度,r為天線至場點的距離,w為角頻率,e0為空氣介電常數,l為電磁波長。要減小H和E,可以減小I、l,或增大r。
zongshangsuoshu,chewaidianciganraosuizuoyongjulizengdaerjianxiao,zhiyoudangqibenshennengliangfeichangda,cainengduixiangjujiaoyuandeqichedianzishebeichanshengyingxiang。duonianyanjiujieguobiaoming,danengliangdediancixiaoyingduirentijiankangcunzaiweihai,muqianyijingzhidinggezhongxiangyingdediancibiaozhunlaixianzhizheleiganrao,shideqichedianzishebeishouqideyingxiangjianxiao。
chetijingdianganraohecheneidianciganrao,yinweiganraozuoyongjulijin,ganraoshijianchang,ganraoqiangduxiangduijiaoda。youyuqichedianzishebeixingchengyixudianchihejiaoliufadianjiweihexindianyuanyijichetiweigonggongdidedianqiwangluo,gebufenxianshudouhuitongguodianyuanhedixianbicichuandaoganrao,xianglindaoxianjianyouyouganyingganrao,erbuxianglindaoxianjianyeyintianxianxiaoyingerfusheganrao,zhejiushidecheneiganraozonghelesanzhongtujing,ganraozuchengjiaoduo,fugaideganraopinlvjiaoguang,shiqichedianzishebeishoudaodezhuyaodianciganrao。jiejuezheliangzhongdianciganraowenti,nengtongshitigaoqichedianzishebeiduichewaidianciganraodekangganraonengli,congerjiangdishebeigongzuoshichanghuoshisunhuaidekenengxing。
[page]
提高電子設備電磁兼容性能的措施
汽車電子設備的電磁兼容性能包括兩方麵,一是電磁發射,衡量係統產生的電磁幹擾的發射水平;二(er)是(shi)電(dian)磁(ci)敏(min)感(gan)度(du),衡(heng)量(liang)係(xi)統(tong)在(zai)工(gong)作(zuo)時(shi)為(wei)實(shi)現(xian)預(yu)期(qi)技(ji)術(shu)指(zhi)標(biao)而(er)需(xu)要(yao)的(de)抵(di)抗(kang)電(dian)磁(ci)幹(gan)擾(rao)的(de)能(neng)力(li)。根(gen)據(ju)前(qian)麵(mian)的(de)分(fen)析(xi),要(yao)綜(zong)合(he)提(ti)高(gao)汽(qi)車(che)電(dian)子(zi)設(she)備(bei)的(de)電(dian)磁(ci)性(xing)能(neng),可(ke)以(yi)從(cong)三(san)方(fang)麵(mian)考(kao)慮(lv),一(yi)是(shi)減(jian)小(xiao)設(she)備(bei)發(fa)射(she)電(dian)磁(ci)幹(gan)擾(rao)的(de)強(qiang)度(du);二是抑製電磁幹擾的傳輸;三是降低設備電磁敏感部件接收幹擾的強度。
減小設備的電磁幹擾強度
優化設備的電氣結構:汽車電子設備中閃光器是繼電器觸點結構,可以在觸點前加電弧抑製器;電機為感性負載,可通過內部濾波電路降低電流噪聲;各種電控單元的印刷電路板,要優化布線,降低電磁發射水平。
選用合適的電子元器件:汽車上的各種控製單元,采用較低頻的芯片有利於減少輻射幹擾。
降低設備的功率:在滿足功能需求的情況下,降低設備的功率,可以減小幹擾電壓和電流,從而減小幹擾強度。
抑製幹擾的傳輸
屏蔽幹擾源設備和相關線束:汽車中主要的電控係統使用的電控單元,應該采用屏蔽殼體封裝。
增加線束濾波:對較長的線束,為減小傳導和輻射幹擾,應在線束上增加濾波,比較方便的是套接合適的鐵氧體磁環。
合理規劃線束:線xian束shu布bu置zhi上shang使shi小xiao功gong率lv敏min感gan電dian路lu緊jin靠kao信xin號hao源yuan,大da功gong率lv幹gan擾rao電dian路lu緊jin靠kao負fu載zai,盡jin可ke能neng分fen開kai小xiao功gong率lv電dian路lu和he大da功gong率lv電dian路lu,減jian小xiao線xian束shu間jian的de感gan應ying幹gan擾rao和he輻fu射she幹gan擾rao。
改進設備的接地:良好的接地布置和改進的地線搭接可以降低高頻阻抗。汽車電子設備接地主要是就近接到車體以及線束屏蔽層接地。
降低設備接收幹擾的強度
減小設備接收幹擾的麵積:線束應設計成最小長度、最小阻抗和最小環路麵積,最好采用雙絞線等回路麵積小的供電方式。增大設備到幹擾源的距離:在幹擾設備布置不變的情況下,改造敏感部件的安裝位置,增大到幹擾源的距離。
電磁兼容性改進措施的試驗研究
muqian,diancijianrongfangzhenjisuantongchangyonglaiduichetijiegoudediancixingnengjinxingchubuguji。qichedianzishebeidediancixingnengzhuyaoyiceshiweiyiju,yinciduigaijincuoshizhezhongjinxingshiyanyanjiu。genjuqichezhengchejilingbujiandediancijianrongxingfaguiGB18655-2002《用於保護汽車接收機的無線電騷擾特性的限值和測量方法》,對國內一種商務車型的電子設備進行了電磁兼容性測試,采用了綜合改進措施,試驗結果可以比較各種措施在實車運用中的效果。
[page]
雨刮電機的結構調整和內部濾波
yuguadianjishishebeizhongdianxingdeganxingfuzaiganraoyuan,gonglvjiaoda,caiyonglingbujianceshifangshiduiqiceliang,xianduidianjidehuanxiangqijiegouzuoletiaozheng,bingzaidianjineibuduidianluzuolelvbochuli。tu4、圖5是改進前後的結果,射頻段幹擾也有明顯改進。
雨刮電機的結構調整和內部濾波

閃光器的電路濾波
閃shan光guang器qi是shi汽qi車che設she備bei中zhong典dian型xing的de觸chu點dian型xing器qi件jian,工gong作zuo時shi通tong斷duan頻pin繁fan,在zai線xian束shu上shang產chan生sheng較jiao大da傳chuan導dao幹gan擾rao,並bing由you此ci產chan生sheng較jiao大da輻fu射she幹gan擾rao。通tong過guo在zai閃shan光guang器qi附fu近jin加jia接jie0.1mF的電容,並在線束上套鐵氧體磁環,構成低通濾波器,抑製其傳導幹擾,同時減小輻射幹擾。測量采用整車測試的方式,圖 6、圖7是改進前後的測試結果,在10MHz以上降低了幹擾水平。
結語
汽qi車che電dian子zi設she備bei的de電dian磁ci兼jian容rong性xing能neng在zai國guo內nei日ri益yi受shou到dao重zhong視shi,它ta對dui提ti高gao國guo內nei汽qi車che產chan品pin的de競jing爭zheng力li也ye相xiang當dang重zhong要yao。通tong過guo對dui電dian子zi設she備bei幹gan擾rao源yuan的de分fen析xi,表biao明ming車che內nei電dian磁ci幹gan擾rao是shi設she備bei所suo受shou的de主zhu要yao幹gan擾rao,為wei減jian少shao係xi統tong的de電dian磁ci幹gan擾rao,需xu要yao采cai用yong文wen中zhong的de改gai進jin措cuo施shi來lai提ti高gao汽qi車che電dian子zi設she備bei的de電dian磁ci兼jian容rong性xing能neng,測ce試shi表biao明ming改gai進jin效xiao果guo都dou比bi較jiao明ming顯xian。對dui大da多duo數shu電dian氣qi設she備bei,增zeng強qiang電dian路lu濾lv波bo是shi比bi較jiao通tong用yong的de改gai進jin措cuo施shi。
- 探究汽車電子設備EMC技術改進
- 對電子設備幹擾源的分析
- 采用改進措施來提高電磁兼容性能
suizheqichediankongjishudebuduanfazhan,qichedianzishebeishuliangdadazengjia,gongzuopinlvzhujiantigao,gonglvzhujianzengda,shideqichegongzuohuanjingzhongchongchizhediancibo,daozhidianciganraowentiriyituchu,qingzeyingxiangdianzishebeidezhengchanggongzuo,zhongzesunhuaixiangyingdedianqiyuanjian。yinci,qichedianzishebeidediancijianrongxingnengyuelaiyueshouzhongshi,muqianpoqieyaoqiunengguangfanyingyongzhenduiqichezishebeidediancigaijinjishu。
電磁幹擾的來源
汽(qi)車(che)電(dian)子(zi)設(she)備(bei)工(gong)作(zuo)在(zai)行(xing)駛(shi)環(huan)境(jing)不(bu)斷(duan)變(bian)化(hua)的(de)汽(qi)車(che)上(shang),環(huan)境(jing)中(zhong)電(dian)磁(ci)能(neng)量(liang)構(gou)成(cheng)的(de)複(fu)雜(za)性(xing)和(he)多(duo)變(bian)性(xing),意(yi)味(wei)著(zhe)係(xi)統(tong)所(suo)受(shou)到(dao)的(de)電(dian)磁(ci)幹(gan)擾(rao)來(lai)源(yuan)比(bi)較(jiao)廣(guang)泛(fan)。按(an)照(zhao)電(dian)磁(ci)幹(gan)擾(rao)的(de)來(lai)源(yuan)分(fen)類(lei),可(ke)分(fen)為(wei)車(che)外(wai)電(dian)磁(ci)幹(gan)擾(rao)、車體靜電幹擾和車內電磁幹擾。
車外電磁幹擾
車外電磁幹擾是汽車行駛中經曆各種外部電磁環境時所受的幹擾。這類幹擾存在於特定的空間或是特定的時間。如高壓輸電線、高壓變電站和大功率無線電發射站的電磁幹擾,以及雷電、太陽黑子輻射電磁幹擾,等等。環境中其它臨近的電子設備工作時也會產生幹擾,例如行駛中相距較近的汽車。
車體靜電幹擾
chetijingdianganraoyuqichehewaibuhuanjingdouyouguan。youyuqichexingshishichetiyukongqigaosumoca,zaichetishangxingchengbujunyunfenbudejingdian。jingdianfangdianhuizaichetishangxingchengganraodianliu,tongshichanshenggaopinfushe,duiqichedianzishebeixingchengdianciganrao。
車內電磁幹擾
cheneidianciganraoshiqichedianzishebeigongzuoshineibudexianghuganrao,baokuodianziyuanqijianchanshengdedianzizaosheng,dianjiyunxingzhonghuanxiangdianshuachanshengdedianciganraoyijigezhongkaiguangongzuoshidefangdianganrao,zuiyanzhongdeshiqichedianhuoxitongchanshengdegaopinfushe,qiganraonengliangzuida。
電磁幹擾的途徑及原理
電磁幹擾按幹擾途徑分類,主要分為傳導幹擾、感應幹擾和輻射幹擾,對應的幹擾原理如下。
傳導幹擾
傳導幹擾主要通過電路的共用導體傳播,典型的結構是共電源線和共地線,圖1是典型傳導幹擾電路示意圖。R為電源線上電阻,Z為地線上電阻,U為支路電壓,I為支路電流。
[page]

傳導幹擾電路
由於各設備工作電壓為

因此任意一個設備電流變化都會導致其它設備電壓變化,產生幹擾。要降低設備間的相互影響,需要減小R、Z和I值。

感應幹擾
感應幹擾分為電感應幹擾和磁感應幹擾兩種,其基本電路圖如圖2和圖3。U1為導線1的電壓,I1為導線1上電流,U2為導線2上的幹擾電壓,C12為兩導線間的電容,C1g和C2g為導線1、導線2與地的電容,M12為兩回路間互感,R為各電路的電阻。
對電感應電路,
,要減小U2可以減小C12、U1和R,或增大C2g;首要措施是減小C12,方法是增大導線距離或改變導線間介電參數。對磁感應電路,
,L1、L2為兩回路長度,m0為真空磁導率,r為兩回路導線段距離。因此增大r和減小回路麵積都能減小M12。 輻射幹擾輻射幹擾由天線發射,由於通電的導線和電纜可視為等效天線,因此汽車電子設備的線束輻射幹擾非常嚴重。根據Maxwell方程,典型單極天線的輻射電磁場為

zongshangsuoshu,chewaidianciganraosuizuoyongjulizengdaerjianxiao,zhiyoudangqibenshennengliangfeichangda,cainengduixiangjujiaoyuandeqichedianzishebeichanshengyingxiang。duonianyanjiujieguobiaoming,danengliangdediancixiaoyingduirentijiankangcunzaiweihai,muqianyijingzhidinggezhongxiangyingdediancibiaozhunlaixianzhizheleiganrao,shideqichedianzishebeishouqideyingxiangjianxiao。
chetijingdianganraohecheneidianciganrao,yinweiganraozuoyongjulijin,ganraoshijianchang,ganraoqiangduxiangduijiaoda。youyuqichedianzishebeixingchengyixudianchihejiaoliufadianjiweihexindianyuanyijichetiweigonggongdidedianqiwangluo,gebufenxianshudouhuitongguodianyuanhedixianbicichuandaoganrao,xianglindaoxianjianyouyouganyingganrao,erbuxianglindaoxianjianyeyintianxianxiaoyingerfusheganrao,zhejiushidecheneiganraozonghelesanzhongtujing,ganraozuchengjiaoduo,fugaideganraopinlvjiaoguang,shiqichedianzishebeishoudaodezhuyaodianciganrao。jiejuezheliangzhongdianciganraowenti,nengtongshitigaoqichedianzishebeiduichewaidianciganraodekangganraonengli,congerjiangdishebeigongzuoshichanghuoshisunhuaidekenengxing。
[page]
提高電子設備電磁兼容性能的措施
汽車電子設備的電磁兼容性能包括兩方麵,一是電磁發射,衡量係統產生的電磁幹擾的發射水平;二(er)是(shi)電(dian)磁(ci)敏(min)感(gan)度(du),衡(heng)量(liang)係(xi)統(tong)在(zai)工(gong)作(zuo)時(shi)為(wei)實(shi)現(xian)預(yu)期(qi)技(ji)術(shu)指(zhi)標(biao)而(er)需(xu)要(yao)的(de)抵(di)抗(kang)電(dian)磁(ci)幹(gan)擾(rao)的(de)能(neng)力(li)。根(gen)據(ju)前(qian)麵(mian)的(de)分(fen)析(xi),要(yao)綜(zong)合(he)提(ti)高(gao)汽(qi)車(che)電(dian)子(zi)設(she)備(bei)的(de)電(dian)磁(ci)性(xing)能(neng),可(ke)以(yi)從(cong)三(san)方(fang)麵(mian)考(kao)慮(lv),一(yi)是(shi)減(jian)小(xiao)設(she)備(bei)發(fa)射(she)電(dian)磁(ci)幹(gan)擾(rao)的(de)強(qiang)度(du);二是抑製電磁幹擾的傳輸;三是降低設備電磁敏感部件接收幹擾的強度。
減小設備的電磁幹擾強度
優化設備的電氣結構:汽車電子設備中閃光器是繼電器觸點結構,可以在觸點前加電弧抑製器;電機為感性負載,可通過內部濾波電路降低電流噪聲;各種電控單元的印刷電路板,要優化布線,降低電磁發射水平。
選用合適的電子元器件:汽車上的各種控製單元,采用較低頻的芯片有利於減少輻射幹擾。
降低設備的功率:在滿足功能需求的情況下,降低設備的功率,可以減小幹擾電壓和電流,從而減小幹擾強度。
抑製幹擾的傳輸
屏蔽幹擾源設備和相關線束:汽車中主要的電控係統使用的電控單元,應該采用屏蔽殼體封裝。
增加線束濾波:對較長的線束,為減小傳導和輻射幹擾,應在線束上增加濾波,比較方便的是套接合適的鐵氧體磁環。
合理規劃線束:線xian束shu布bu置zhi上shang使shi小xiao功gong率lv敏min感gan電dian路lu緊jin靠kao信xin號hao源yuan,大da功gong率lv幹gan擾rao電dian路lu緊jin靠kao負fu載zai,盡jin可ke能neng分fen開kai小xiao功gong率lv電dian路lu和he大da功gong率lv電dian路lu,減jian小xiao線xian束shu間jian的de感gan應ying幹gan擾rao和he輻fu射she幹gan擾rao。
改進設備的接地:良好的接地布置和改進的地線搭接可以降低高頻阻抗。汽車電子設備接地主要是就近接到車體以及線束屏蔽層接地。
降低設備接收幹擾的強度
減小設備接收幹擾的麵積:線束應設計成最小長度、最小阻抗和最小環路麵積,最好采用雙絞線等回路麵積小的供電方式。增大設備到幹擾源的距離:在幹擾設備布置不變的情況下,改造敏感部件的安裝位置,增大到幹擾源的距離。
電磁兼容性改進措施的試驗研究
muqian,diancijianrongfangzhenjisuantongchangyonglaiduichetijiegoudediancixingnengjinxingchubuguji。qichedianzishebeidediancixingnengzhuyaoyiceshiweiyiju,yinciduigaijincuoshizhezhongjinxingshiyanyanjiu。genjuqichezhengchejilingbujiandediancijianrongxingfaguiGB18655-2002《用於保護汽車接收機的無線電騷擾特性的限值和測量方法》,對國內一種商務車型的電子設備進行了電磁兼容性測試,采用了綜合改進措施,試驗結果可以比較各種措施在實車運用中的效果。
[page]
雨刮電機的結構調整和內部濾波
yuguadianjishishebeizhongdianxingdeganxingfuzaiganraoyuan,gonglvjiaoda,caiyonglingbujianceshifangshiduiqiceliang,xianduidianjidehuanxiangqijiegouzuoletiaozheng,bingzaidianjineibuduidianluzuolelvbochuli。tu4、圖5是改進前後的結果,射頻段幹擾也有明顯改進。
雨刮電機的結構調整和內部濾波

閃光器的電路濾波
閃shan光guang器qi是shi汽qi車che設she備bei中zhong典dian型xing的de觸chu點dian型xing器qi件jian,工gong作zuo時shi通tong斷duan頻pin繁fan,在zai線xian束shu上shang產chan生sheng較jiao大da傳chuan導dao幹gan擾rao,並bing由you此ci產chan生sheng較jiao大da輻fu射she幹gan擾rao。通tong過guo在zai閃shan光guang器qi附fu近jin加jia接jie0.1mF的電容,並在線束上套鐵氧體磁環,構成低通濾波器,抑製其傳導幹擾,同時減小輻射幹擾。測量采用整車測試的方式,圖 6、圖7是改進前後的測試結果,在10MHz以上降低了幹擾水平。
結語
汽qi車che電dian子zi設she備bei的de電dian磁ci兼jian容rong性xing能neng在zai國guo內nei日ri益yi受shou到dao重zhong視shi,它ta對dui提ti高gao國guo內nei汽qi車che產chan品pin的de競jing爭zheng力li也ye相xiang當dang重zhong要yao。通tong過guo對dui電dian子zi設she備bei幹gan擾rao源yuan的de分fen析xi,表biao明ming車che內nei電dian磁ci幹gan擾rao是shi設she備bei所suo受shou的de主zhu要yao幹gan擾rao,為wei減jian少shao係xi統tong的de電dian磁ci幹gan擾rao,需xu要yao采cai用yong文wen中zhong的de改gai進jin措cuo施shi來lai提ti高gao汽qi車che電dian子zi設she備bei的de電dian磁ci兼jian容rong性xing能neng,測ce試shi表biao明ming改gai進jin效xiao果guo都dou比bi較jiao明ming顯xian。對dui大da多duo數shu電dian氣qi設she備bei,增zeng強qiang電dian路lu濾lv波bo是shi比bi較jiao通tong用yong的de改gai進jin措cuo施shi。
特別推薦
- 噪聲中提取真值!瑞盟科技推出MSA2240電流檢測芯片賦能多元高端測量場景
- 10MHz高頻運行!氮矽科技發布集成驅動GaN芯片,助力電源能效再攀新高
- 失真度僅0.002%!力芯微推出超低內阻、超低失真4PST模擬開關
- 一“芯”雙電!聖邦微電子發布雙輸出電源芯片,簡化AFE與音頻設計
- 一機適配萬端:金升陽推出1200W可編程電源,賦能高端裝備製造
技術文章更多>>
- 三星上演罕見對峙:工會集會討薪,股東隔街抗議
- 摩爾線程實現DeepSeek-V4“Day-0”支持,國產GPU適配再提速
- 築牢安全防線:智能駕駛邁向規模化應用的關鍵挑戰與破局之道
- GPT-Image 2:99%文字準確率,AI生圖告別“鬼畫符”
- 機器人馬拉鬆的勝負手:藏在主板角落裏的“時鍾戰爭”
技術白皮書下載更多>>
- 車規與基於V2X的車輛協同主動避撞技術展望
- 數字隔離助力新能源汽車安全隔離的新挑戰
- 汽車模塊拋負載的解決方案
- 車用連接器的安全創新應用
- Melexis Actuators Business Unit
- Position / Current Sensors - Triaxis Hall
熱門搜索
Tektronix
Thunderbolt
TI
TOREX
TTI
TVS
UPS電源
USB3.0
USB 3.0主控芯片
USB傳輸速度
usb存儲器
USB連接器
VGA連接器
Vishay
WCDMA功放
WCDMA基帶
Wi-Fi
Wi-Fi芯片
window8
WPG
XILINX
Zigbee
ZigBee Pro
安規電容
按鈕開關
白色家電
保護器件
保險絲管
北鬥定位
北高智

