激光治療儀中的觸摸屏接口設計
發布時間:2011-02-24 來源:深圳電子技術網
中心議題:
- 激光治療儀的輸入係統設計
解決方案:
- ADS7846作為控製器
- PIC16F876作為微處理器
如今各種觸摸屏的應用簡化了人機交互過程,本文介紹了四線電阻式觸摸屏的工作原理及在激光治療儀中的應用;闡述了ADS7846同微控製器PIC16F876的數據傳遞過程。
引 言
隨著社會自動化程度的提高,人機交互能力急需大的轉變,向著更方便使用、更(geng)直(zhi)觀(guan)的(de)方(fang)向(xiang)發(fa)展(zhan)。激(ji)光(guang)治(zhi)療(liao)機(ji)主(zhu)要(yao)應(ying)用(yong)激(ji)光(guang)的(de)物(wu)理(li)特(te)性(xing)作(zuo)用(yong)於(yu)人(ren)體(ti),產(chan)生(sheng)機(ji)體(ti)化(hua)學(xue)反(fan)應(ying)從(cong)而(er)達(da)到(dao)治(zhi)療(liao)疾(ji)病(bing)的(de)目(mu)的(de)。激(ji)光(guang)治(zhi)療(liao)機(ji)作(zuo)為(wei)一(yi)種(zhong)精(jing)密(mi)儀(yi)器(qi)需(xu)要(yao)精(jing)確(que)的(de)控(kong)製(zhi)及(ji)防(fang)塵(chen)、防靜電、防fang潮chao等deng方fang麵mian的de嚴yan格ge要yao求qiu。激ji光guang治zhi療liao機ji輸shu入ru設she備bei采cai用yong觸chu摸mo屏ping控kong製zhi,既ji是shi基ji於yu以yi上shang要yao求qiu也ye是shi從cong方fang便bian使shi用yong者zhe操cao作zuo和he界jie麵mian直zhi觀guan的de角jiao度du考kao慮lv的de。觸chu摸mo屏ping的de應ying用yong使shi得de數shu據ju的de顯xian示shi和he數shu據ju的de輸shu入ru結jie合he為wei一yi體ti,簡jian化hua了le整zheng個ge設she備bei。
1、觸摸屏原理
chumopingfuzhezaixianshiqidebiaomian,yuxianshiqipeiheshiyong。tongguochumochanshengmonidianxinhao,jingguozhuanhuanweishuzixinhaoyouweichuliqijisuandechuchumodiandezuobiao,congerdedaocaozuozhedeyitubingzhixing。chumopinganqijishuyuanlikefenweiwulei:矢量壓力傳感器、電阻式、電容式、紅外線式和表麵聲波式,其中電阻式觸摸屏在實際應用中的較多。電阻式觸摸屏由4層(ceng)的(de)透(tou)明(ming)薄(bo)構(gou)成(cheng),最(zui)下(xia)麵(mian)是(shi)玻(bo)璃(li)或(huo)有(you)機(ji)玻(bo)璃(li)構(gou)成(cheng)的(de)基(ji)層(ceng),最(zui)上(shang)麵(mian)是(shi)一(yi)層(ceng)外(wai)表(biao)麵(mian)經(jing)過(guo)硬(ying)化(hua)處(chu)理(li)從(cong)而(er)光(guang)滑(hua)防(fang)刮(gua)的(de)塑(su)料(liao)層(ceng),附(fu)著(zhe)在(zai)上(shang)下(xia)兩(liang)層(ceng)內(nei)表(biao)麵(mian)的(de)兩(liang)層(ceng)為(wei)金(jin)屬(shu)導(dao)電(dian)層(ceng)(OTI,氧化銦),這兩層由細小的透明隔離點進行絕緣。當手指觸摸屏幕時,兩層電層在觸摸點處接觸。
觸摸層的兩個金屬導電層分別用來測量X軸和Y軸方向的坐標。用於X坐標測量的導電層從左右兩端引出兩個電極,記為X+和X-。用於Y坐標測量的導電層從上下兩端引出兩個電極,記為Y+和Y-。這就是四線電阻觸摸屏的引線構成。當在一對電極上施加電壓時,在該導電層上就會形成均勻連接的電壓分布國。若在X方向的電極對上施加一確定的電壓,而Y方向電極對上不加電壓時,在X平行電壓場中,觸點處的電壓值可在在Y+(或Y-)電極上反映出來,通過測量Y+電極對地的電壓大小,便可得知觸點的X坐標值。同理,當在Y電極對上加電壓,而X電極對上不加電壓時,通過測量X+電極的電壓,便可得知觸點的Y坐標。測量原理如圖1所示。

五wu線xian式shi觸chu摸mo屏ping與yu四si線xian式shi不bu同tong。主zhu要yao區qu別bie在zai於yu五wu線xian觸chu摸mo屏ping將jiang其qi中zhong一yi導dao電dian層ceng的de四si端duan均jun引yin出chu來lai作zuo為wei四si個ge電dian極ji,另ling一yi導dao電dian層ceng僅jin僅jin作zuo為wei測ce量liang的de導dao體ti輸shu出chuX向和Y向的電壓,測量時要交替在X向和Y向上施加電壓。
2、觸摸層控製器工作原理
觸摸屏控製器有多種,主要的功能均是在微處理器的控製下向觸摸屏的兩個方向分時施加電壓,並將相應的電壓信號傳送給自身A/D轉換器,在微處理器SPI口提供的同步時鍾作用下將數字信號讀入微處理器。控製器ADS7846基本結構如圖2所示。

圖1觸摸點P處測量結果計算如下:
[page]
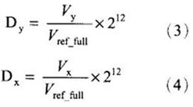
ADS7846內部可以通過寄存器的設置A/D轉換器的分辨率設為8位或12位,在本係統中A/D轉換器的分辨率取12位。則P點的二進製輸出代碼為:

其中:Vref_full為加在ADS6746內部A/D轉換器上的參考電壓。
觸摸屏控製器的運行是通過串行數據輸入口DIN輸入控製命令進行控製的。控製的基本格式如下:

bit7指明發送命令開始,高電平有效。A2:A0用於選擇數據輸入通道,101選擇X坐標測量,001選擇Y坐標測量。MODE將內部模數轉換器的分辨率定義為8位(MODE=1)或12位(MODE=0)。SER/DFR為單端/雙端參考電壓選擇位。PD1:PD0根據省電模式的需要進行選擇設置。這些命令控製位的設置將在程序代碼部分得以應用。
3、係統硬件設計
激光治療機的輸入係統由三部分組成:觸摸屏、觸摸屏控製器和微控製器。微控製器采用Microchip公司的新型芯片PIC16F867。內部總線采用哈佛雙總線結構。在內部頻率相同的情況下,加快了數據的傳輸速度,避免了瓶頸現象。此芯片采用精簡指令集(RISC)易於使用,加快了開發速度。內部含有8KB程序存儲器(分頁操作),256字節EEPROM,368字節RAM,8路模數轉換器,1個通用串行口(SCI),1個I2C接口,1個串行外圍接口(SPI),3個定時器及看門狗電路(WathcDog)等許多重要資源。外圍許多接口功能上的複用使得整個微控製器簡潔,功能強大。
根據ADS7846與微控製器進行數據交換的接口特征,選用PIC16F876的SPI口。SPI口包括三個信號:SDO(串行數據輸出),SDI(串行數據輸入),SCK(串行同步時鍾)。硬件連接關係見圖3。

本文側重於激光治療儀輸入係統的設計,其它硬件的設計僅給出接口的含義。由於PIC16F876的內部集成度較高,所以外圍接口相當簡單,但是要完成複雜的控製功能必須進行內部寄存器的設置。[page]
4、軟件設計
按照以上設計思想設計了應用軟件,圖4為(wei)主(zhu)程(cheng)序(xu)與(yu)觸(chu)摸(mo)屏(ping)輸(shu)入(ru)檢(jian)測(ce)部(bu)分(fen)的(de)程(cheng)序(xu)流(liu)程(cheng)圖(tu)。其(qi)中(zhong),坐(zuo)標(biao)數(shu)據(ju)處(chu)理(li)通(tong)常(chang)采(cai)用(yong)查(zha)表(biao)的(de)方(fang)法(fa),將(jiang)用(yong)戶(hu)命(ming)令(ling)的(de)坐(zuo)標(biao)形(xing)成(cheng)數(shu)據(ju)表(biao),利(li)用(yong)獲(huo)得(de)的(de)坐(zuo)標(biao)信(xin)息(xi)進(jin)行(xing)變(bian)換(huan)快(kuai)速(su)查(zha)表(biao),從(cong)而(er)提(ti)高(gao)軟(ruan)件(jian)的(de)運(yun)行(xing)速(su)度(du)。

下麵是PIC16F876同ADS7846接口的部分程序代碼。
CMDATA EQU 30H
XDATA_H EQU 31H
XDATA_L EQU 32H
YDATA_H EQU 33H
YDATA_L EQU 34H
;初始化寄存器
MOVLW 02H
MOVWF TRICB ;定義B口方向
MOVLW 90H
MOVWF TRISC;定義C口方向
BCF SSPCON,5
MOVLW 10H
MOVWF SSPCON;初始化SSPCON
BSF SSPCON,5;啟動SPI
;獲取X,Y坐標
GetXY
BCF PORTB,0,選口AD7846
MOVLW 0D4H;獲取X坐標命令
MOVWF SSPBUF;發送命令
BUSY
BTFSC PORTB,1;判忙?
GOTO BUSY
MOVF SSPBUF,W;12位數據
MOVWF XDATA_H;XDATA_H存放高字節
MOVF SSPBUF,W
MOVWF XDATA_L;XDATA_L存放低字節
…………………………………………
;Y坐標數據同樣處理
RETLW 0
5、結 語
本ben係xi統tong的de設she計ji使shi得de輸shu入ru極ji其qi方fang便bian,而er且qie外wai圍wei設she備bei得de到dao簡jian化hua,在zai實shi際ji應ying用yong中zhong提ti高gao了le人ren機ji交jiao互hu的de能neng力li,收shou到dao良liang好hao的de社she會hui效xiao益yi。係xi統tong設she計ji的de思si想xiang不bu僅jin能neng夠gou應ying用yong在zai醫yi療liao行xing業ye,而er且qie能neng夠gou應ying用yong在zai工gong業ye生sheng產chan自zi動dong化hua以yi及ji手shou持chi設she備bei等deng各ge行xing業ye。
- 噪聲中提取真值!瑞盟科技推出MSA2240電流檢測芯片賦能多元高端測量場景
- 10MHz高頻運行!氮矽科技發布集成驅動GaN芯片,助力電源能效再攀新高
- 失真度僅0.002%!力芯微推出超低內阻、超低失真4PST模擬開關
- 一“芯”雙電!聖邦微電子發布雙輸出電源芯片,簡化AFE與音頻設計
- 一機適配萬端:金升陽推出1200W可編程電源,賦能高端裝備製造
- 大聯大世平集團首度亮相北京國際汽車展 攜手全球芯片夥伴打造智能車整合應用新典範
- 2026北京車展即將啟幕,高通攜手汽車生態“朋友圈”推動智能化體驗再升級
- 如何使用工業級串行數字輸入來設計具有並行接口的數字輸入模塊
- 邊緣AI的發展為更智能、更可持續的技術鋪平道路
- 每台智能體PC,都是AI時代的新入口
- 車規與基於V2X的車輛協同主動避撞技術展望
- 數字隔離助力新能源汽車安全隔離的新挑戰
- 汽車模塊拋負載的解決方案
- 車用連接器的安全創新應用
- Melexis Actuators Business Unit
- Position / Current Sensors - Triaxis Hall




