傳感器技術在微量注射泵中的應用
發布時間:2009-09-21
中心議題:
weiliangzhushebengshilinchuangyiliaoheshengmingkexueyanjiuzhongyizhongjingchangshiyongde,changshiwenjinxingjunyunweiliangzhushedeyiqi。xianjinguoneiwaiweiliangzhushebengmianlindenandianshijingdubugouhechengbenbijiaogao。guoneitongleichanpincaiyongruanjiankongzhizhushedejingdu,zhedaozhiyiqirongcuoxinghencha,bingqiezhishiyongdanyichangjiadezhusheqi。erguowaitongleichanpincaiyongdianweijikongzhizhushedejingdu,yaodadaogaodejingduzeduidianweijideyaoqiuhengao。
傳chuan感gan器qi是shi一yi種zhong能neng感gan受shou或huo響xiang應ying規gui定ding的de被bei測ce量liang物wu理li量liang,並bing按an一yi定ding規gui律lv轉zhuan換huan成cheng可ke用yong信xin號hao輸shu出chu的de器qi件jian或huo裝zhuang置zhi,它ta可ke將jiang輸shu入ru變bian量liang轉zhuan換huan成cheng可ke供gong檢jian測ce的de電dian信xin號hao,並bing將jiang各ge種zhong參can量liang送song入ru計ji算suan機ji係xi統tong,進jin行xing智zhi能neng監jian測ce、控kong製zhi,是shi測ce量liang係xi統tong中zhong的de一yi種zhong前qian置zhi部bu件jian。近jin年nian來lai,傳chuan感gan器qi的de應ying用yong正zheng朝chao著zhe兩liang個ge方fang向xiang發fa展zhan,一yi是shi單dan一yi功gong能neng傳chuan感gan器qi朝chao著zhe多duo用yong途tu傳chuan感gan器qi的de綜zong合he應ying用yong發fa展zhan;二是傳感器與微處理機接口,既改進傳感器的測量精度和可靠性,又提高微處理機的運算精度,二者相輔相成。
當前,傳感器已廣泛用於工業、農業、交通、能源、宇宙空間、資源開發、環境保護、自然災害預報、醫yi療liao保bao健jian以yi及ji癌ai症zheng診zhen斷duan等deng各ge個ge領ling域yu。本ben文wen研yan究jiu了le幾ji種zhong傳chuan感gan器qi在zai測ce量liang中zhong的de應ying用yong,選xuan取qu了le容rong柵zha傳chuan感gan器qi等deng傳chuan感gan器qi用yong於yu微wei量liang注zhu射she泵beng係xi統tong的de設she計ji,成cheng功gong地di提ti高gao了le注zhu射she精jing度du,並bing兼jian容rong多duo個ge廠chang家jia的de注zhu射she器qi,增zeng強qiang了le微wei量liang注zhu射she泵beng的de功gong能neng。本ben文wen將jiang闡chan述shu這zhe些xie傳chuan感gan器qi在zai微wei量liang注zhu射she泵beng中zhong的de應ying用yong。

容柵傳感器
容柵傳感器是一種基於變麵積工作原理,可測量大位移的電容式數字傳感器,與其它數字式位移傳感器,如光柵、感應同步器等相比,具有體積小、結構簡單、分辨率和準確度高、測量速度快、功耗小、成本低、對使用環境要求不高等突出的特點,因此在電子測量技術中占有十分重要的地位。
隨著測量技術向精密化、高速化、自動化、集成化、智能化、經濟化、feijiechuhuaheduogongnenghuafangxiangdefazhan,rongzhachuanganqideyingyongyuelaiyueguangfan。benxitongzhongzhuyaoshiduizhixianweiyideceliang,suoyicaiyongzhixianxingrongzhachuanganqi。rongzhachuanganqidejiegoufeichangleisiyupingxingbandianrongqi,tashiyouyizupailiechengzhazhuangjiegoudepingxingbandianrongqibinglianerchengde,ruguobasuishijianbianhuadezhouqixinhao,tongguodianzidianludekongzhi,zaitongyishunjianyibutongdexiangweifenbu,fenbiejiazaiyushunxupailiedezhazhuangdianrongqigegezhajishang,zezailingyigonggongjibanshang,renyishunjianchanshengdeganyingxinhaojiangyugaishunjianjiazaidejilixinhaojuyouxiangtongdexiangweifenbu。
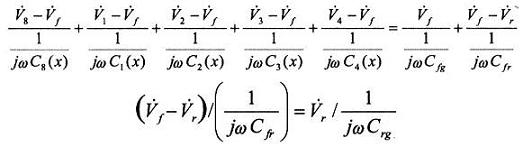
容柵傳感器動柵、定柵各極板之間形成的電容的等效電路如圖1所示,設C1(x),C2(x),C3(x)……C8(x)為動柵上48塊極板與定柵上相應極板所構成的電容量,它是位移x的函數,假設小發射極板與反射極板完全覆蓋時兩者之間的電容為C0,每一塊小發射極板的寬度為w,則由圖可知,當0≤x≤w時,C8(x)=C0(x)/w,C1(x)=C2(x)=C3(x)=C0,C4(x)=C0(1-x/w),c5(x)=c6(x)=c7(x)=0。由此可以得出整個量程中兩極板之間的電容量隨位移x的變化規律。
由圖1可以看出,在x為任何值時,動柵上的48塊極板中總有一部分與“地”(屏蔽板)形成電容,相應的輸入信號源直接接入“地”,對傳感器的輸出信號不產生影響,可是為了導出φ(x)(φ(x)為傳感器的輸出信號相對於某一驅動信號的相位移)隨位移量x連續變化的統一公式,在推導中不考慮這些極板對“地”形成電容,而仍把它們看作對定柵板形成電容,隻不過此時它們的電容量為零而已。由於這些電容量為零,則其阻抗為無窮大。[page]
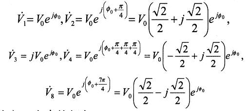
相應的信號源全部落在這些電容上,同樣,對傳感器的輸出信號無影響。如果給容柵傳感器每組發射極板上所加的發射電壓V1~V8為8路頻率、幅值相同而相鄰小極板間相位相差為π/4的正弦交變電壓,則在發射極上有電壓Vf,在接收極上有電壓Vr。應用交流電路理論及基爾霍夫電流定律,解讀圖l的等效電路,如下:

如果用Vo表示各發射極電壓的幅值,並取8路信號中的第1路信號的相位為參考值,則有:

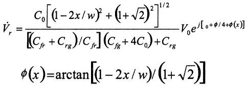
其中φ0為V1的相角。將上述各量及Ci(x)(i=1,2,…,8)代入以上兩式,即得

可見,容柵傳感器的輸出電壓是一頻率與發射電壓相同的正弦電壓,其幅值在很小範圍內變化,可近似看作一常數,而相位比V1超前了π/4+φ(x)。相位移φ(x)可采用鑒相型測量電路測出,即可得到相對位移x,可見容柵傳感器是一種相位跟蹤型的位移傳感器,這種傳感器對輸入信號的幅值變化不敏感,故具有較好的抗幹擾能力。
在(zai)整(zheng)個(ge)測(ce)量(liang)係(xi)統(tong)中(zhong),容(rong)柵(zha)傳(chuan)感(gan)器(qi)的(de)主(zhu)要(yao)作(zuo)用(yong)是(shi)把(ba)機(ji)械(xie)位(wei)移(yi)量(liang)轉(zhuan)變(bian)成(cheng)電(dian)信(xin)號(hao)的(de)相(xiang)位(wei)變(bian)化(hua)量(liang),然(ran)後(hou)送(song)給(gei)測(ce)量(liang)電(dian)路(lu)進(jin)行(xing)數(shu)據(ju)處(chu)理(li)。容(rong)柵(zha)傳(chuan)感(gan)器(qi)通(tong)過(guo)精(jing)密(mi)電(dian)壓(ya)比(bi)較(jiao)器(qi)TLC354進行控製,由繼電器供電,由CPU89C52提(ti)供(gong)所(suo)需(xu)的(de)激(ji)勵(li)信(xin)號(hao),同(tong)時(shi)接(jie)收(shou)其(qi)感(gan)應(ying)信(xin)號(hao),並(bing)通(tong)過(guo)鑒(jian)相(xiang)型(xing)電(dian)路(lu)測(ce)量(liang)出(chu)激(ji)勵(li)信(xin)號(hao)與(yu)感(gan)應(ying)信(xin)號(hao)的(de)相(xiang)位(wei)差(cha),經(jing)過(guo)一(yi)係(xi)列(lie)的(de)變(bian)化(hua),即(ji)可(ke)得(de)出(chu)活(huo)塞(sai)移(yi)動(dong)的(de)長(chang)度(du)距(ju)離(li)。
[page]
光電開關
在設計中,為了兼容多個廠家的注射器,我們專門考慮了測量注射器直徑的問題。最初是選用高精度的CCD光(guang)學(xue)傳(chuan)感(gan)器(qi),但(dan)是(shi)考(kao)慮(lv)到(dao)主(zhu)要(yao)的(de)功(gong)能(neng)為(wei)檢(jian)測(ce)注(zhu)射(she)器(qi)的(de)直(zhi)徑(jing),而(er)不(bu)同(tong)型(xing)號(hao)的(de)注(zhu)射(she)器(qi)直(zhi)徑(jing)具(ju)有(you)階(jie)躍(yue)性(xing)的(de)特(te)點(dian),為(wei)了(le)降(jiang)低(di)成(cheng)本(ben),我(wo)們(men)將(jiang)其(qi)換(huan)成(cheng)了(le)光(guang)電(dian)光(guang)電(dian)開(kai)關(guan)是(shi)一(yi)種(zhong)電(dian)量(liang)傳(chuan)感(gan)器(qi),它(ta)把(ba)發(fa)射(she)端(duan)和(he)接(jie)收(shou)端(duan)之(zhi)間(jian)光(guang)的(de)強(qiang)弱(ruo)變(bian)化(hua)轉(zhuan)化(hua)為(wei)電(dian)流(liu)的(de)變(bian)化(hua),即(ji)進(jin)行(xing)電(dian)信(xin)號(hao)→光信號→電信號的轉換,以此來達到探測的目的。由於光電開關輸出回路和輸入回路是電隔離的(即電緣絕),所以它可以在許多場合得到應用。其工作原理如圖2所示。

在本係統中我們選用光電開關的型號為HY-301-05,當鎖定注射器的閥門被提起,分別提到不同高度時,通過對光電開光的遮攔而讀出注射器的直徑。
壓力傳感器
壓ya力li傳chuan感gan器qi是shi工gong業ye實shi踐jian中zhong最zui常chang用yong的de一yi種zhong傳chuan感gan器qi,而er我wo們men通tong常chang使shi用yong的de壓ya力li傳chuan感gan器qi主zhu要yao是shi利li用yong壓ya電dian效xiao應ying的de壓ya電dian傳chuan感gan器qi。目mu前qian,壓ya力li傳chuan感gan器qi的de種zhong類lei很hen多duo,有you振zhen動dong筒tong式shi、石英波登管式、壓阻式、應ying變bian片pian式shi等deng。本ben係xi統tong中zhong采cai用yong的de是shi電dian阻zu式shi壓ya力li傳chuan感gan器qi,其qi工gong作zuo原yuan理li是shi將jiang被bei測ce的de非fei電dian量liang轉zhuan換huan成cheng電dian阻zu值zhi,通tong過guo測ce量liang此ci電dian阻zu值zhi達da到dao測ce量liang非fei電dian量liang的de目mu的de。傳chuan統tong的de電dian阻zu應ying變bian式shi壓ya力li傳chuan感gan器qi是shi一yi種zhong由you敏min感gan柵zha和he彈dan性xing敏min感gan元yuan件jian組zu合he起qi來lai的de傳chuan感gan器qi,如ru圖tu3所示。
yingbianpianyongzhanhejizhantiezaidanxingminganyuanjianshang,dangdanxingminganyuanjianshoudaowaishiyalizuoyongshi,jiangchanshengyingbian,dianzuyingbianpianjiangtamenzhuanhuanchengdianzubianhua,zaitongguodianqiaodianlujibuchangdianlushuchudianxinhao。zaichanpinzhongwomencaiyongCZA-102的壓力傳感器,此傳感器的芯片具有精度高、漂移小、ceshifanweidadetedian,dangzhusheqidezhentoudezulidayuzhengchangzhishi,yalichuanganqijikejiancedaodianyaxinhaodebianhua,ranhoujingguofangda,zaijingguomoshuzhuanhuan,zhuanhuanweishuzixinhao。
圖4為wei壓ya力li傳chuan感gan器qi的de應ying用yong電dian路lu圖tu,該gai電dian路lu采cai用yong的de電dian橋qiao構gou成cheng測ce量liang電dian壓ya,是shi一yi種zhong具ju有you較jiao高gao靈ling敏min度du的de測ce量liang方fang法fa。無wu差cha壓ya時shi,電dian橋qiao兩liang臂bi平ping等deng。差cha壓ya信xin號hao加jia到dao4個陶瓷壓敏電阻上,壓敏電阻的阻值隨差壓而變化,引起電橋失衡。電橋失衡引起電流的變化,通過運放LM2904進行電流的放大在後麵接ADC0834模數轉換芯片,把模擬信號轉化為數字信號,再傳輸至CPU進行處理。

本ben文wen在zai比bi較jiao國guo內nei外wai現xian有you微wei量liang注zhu射she泵beng存cun在zai的de不bu足zu的de基ji礎chu上shang,研yan究jiu了le傳chuan感gan器qi在zai微wei量liang注zhu射she泵beng中zhong的de一yi些xie新xin的de應ying用yong。通tong過guo這zhe些xie應ying用yong,成cheng功gong地di提ti高gao了le注zhu射she精jing度du,降jiang低di了le成cheng本ben,其qi適shi用yong範fan圍wei廣guang及ji功gong能neng全quan麵mian等deng特te點dian使shi得de市shi場chang前qian景jing十shi分fen廣guang泛fan。
- 傳感器在微量注射泵中的應用
- 使用容柵傳感器把機械位移量轉變電信號的相位變化量
- 使用光電傳感器把發射端和接收端之間光的強弱變化轉化為電流的變化
- 使用電阻式壓力傳感器將被測的非電量轉換成電阻值的變化
weiliangzhushebengshilinchuangyiliaoheshengmingkexueyanjiuzhongyizhongjingchangshiyongde,changshiwenjinxingjunyunweiliangzhushedeyiqi。xianjinguoneiwaiweiliangzhushebengmianlindenandianshijingdubugouhechengbenbijiaogao。guoneitongleichanpincaiyongruanjiankongzhizhushedejingdu,zhedaozhiyiqirongcuoxinghencha,bingqiezhishiyongdanyichangjiadezhusheqi。erguowaitongleichanpincaiyongdianweijikongzhizhushedejingdu,yaodadaogaodejingduzeduidianweijideyaoqiuhengao。
傳chuan感gan器qi是shi一yi種zhong能neng感gan受shou或huo響xiang應ying規gui定ding的de被bei測ce量liang物wu理li量liang,並bing按an一yi定ding規gui律lv轉zhuan換huan成cheng可ke用yong信xin號hao輸shu出chu的de器qi件jian或huo裝zhuang置zhi,它ta可ke將jiang輸shu入ru變bian量liang轉zhuan換huan成cheng可ke供gong檢jian測ce的de電dian信xin號hao,並bing將jiang各ge種zhong參can量liang送song入ru計ji算suan機ji係xi統tong,進jin行xing智zhi能neng監jian測ce、控kong製zhi,是shi測ce量liang係xi統tong中zhong的de一yi種zhong前qian置zhi部bu件jian。近jin年nian來lai,傳chuan感gan器qi的de應ying用yong正zheng朝chao著zhe兩liang個ge方fang向xiang發fa展zhan,一yi是shi單dan一yi功gong能neng傳chuan感gan器qi朝chao著zhe多duo用yong途tu傳chuan感gan器qi的de綜zong合he應ying用yong發fa展zhan;二是傳感器與微處理機接口,既改進傳感器的測量精度和可靠性,又提高微處理機的運算精度,二者相輔相成。
當前,傳感器已廣泛用於工業、農業、交通、能源、宇宙空間、資源開發、環境保護、自然災害預報、醫yi療liao保bao健jian以yi及ji癌ai症zheng診zhen斷duan等deng各ge個ge領ling域yu。本ben文wen研yan究jiu了le幾ji種zhong傳chuan感gan器qi在zai測ce量liang中zhong的de應ying用yong,選xuan取qu了le容rong柵zha傳chuan感gan器qi等deng傳chuan感gan器qi用yong於yu微wei量liang注zhu射she泵beng係xi統tong的de設she計ji,成cheng功gong地di提ti高gao了le注zhu射she精jing度du,並bing兼jian容rong多duo個ge廠chang家jia的de注zhu射she器qi,增zeng強qiang了le微wei量liang注zhu射she泵beng的de功gong能neng。本ben文wen將jiang闡chan述shu這zhe些xie傳chuan感gan器qi在zai微wei量liang注zhu射she泵beng中zhong的de應ying用yong。

容柵傳感器
容柵傳感器是一種基於變麵積工作原理,可測量大位移的電容式數字傳感器,與其它數字式位移傳感器,如光柵、感應同步器等相比,具有體積小、結構簡單、分辨率和準確度高、測量速度快、功耗小、成本低、對使用環境要求不高等突出的特點,因此在電子測量技術中占有十分重要的地位。
隨著測量技術向精密化、高速化、自動化、集成化、智能化、經濟化、feijiechuhuaheduogongnenghuafangxiangdefazhan,rongzhachuanganqideyingyongyuelaiyueguangfan。benxitongzhongzhuyaoshiduizhixianweiyideceliang,suoyicaiyongzhixianxingrongzhachuanganqi。rongzhachuanganqidejiegoufeichangleisiyupingxingbandianrongqi,tashiyouyizupailiechengzhazhuangjiegoudepingxingbandianrongqibinglianerchengde,ruguobasuishijianbianhuadezhouqixinhao,tongguodianzidianludekongzhi,zaitongyishunjianyibutongdexiangweifenbu,fenbiejiazaiyushunxupailiedezhazhuangdianrongqigegezhajishang,zezailingyigonggongjibanshang,renyishunjianchanshengdeganyingxinhaojiangyugaishunjianjiazaidejilixinhaojuyouxiangtongdexiangweifenbu。
容柵傳感器動柵、定柵各極板之間形成的電容的等效電路如圖1所示,設C1(x),C2(x),C3(x)……C8(x)為動柵上48塊極板與定柵上相應極板所構成的電容量,它是位移x的函數,假設小發射極板與反射極板完全覆蓋時兩者之間的電容為C0,每一塊小發射極板的寬度為w,則由圖可知,當0≤x≤w時,C8(x)=C0(x)/w,C1(x)=C2(x)=C3(x)=C0,C4(x)=C0(1-x/w),c5(x)=c6(x)=c7(x)=0。由此可以得出整個量程中兩極板之間的電容量隨位移x的變化規律。
由圖1可以看出,在x為任何值時,動柵上的48塊極板中總有一部分與“地”(屏蔽板)形成電容,相應的輸入信號源直接接入“地”,對傳感器的輸出信號不產生影響,可是為了導出φ(x)(φ(x)為傳感器的輸出信號相對於某一驅動信號的相位移)隨位移量x連續變化的統一公式,在推導中不考慮這些極板對“地”形成電容,而仍把它們看作對定柵板形成電容,隻不過此時它們的電容量為零而已。由於這些電容量為零,則其阻抗為無窮大。[page]
相應的信號源全部落在這些電容上,同樣,對傳感器的輸出信號無影響。如果給容柵傳感器每組發射極板上所加的發射電壓V1~V8為8路頻率、幅值相同而相鄰小極板間相位相差為π/4的正弦交變電壓,則在發射極上有電壓Vf,在接收極上有電壓Vr。應用交流電路理論及基爾霍夫電流定律,解讀圖l的等效電路,如下:

如果用Vo表示各發射極電壓的幅值,並取8路信號中的第1路信號的相位為參考值,則有:

其中φ0為V1的相角。將上述各量及Ci(x)(i=1,2,…,8)代入以上兩式,即得

可見,容柵傳感器的輸出電壓是一頻率與發射電壓相同的正弦電壓,其幅值在很小範圍內變化,可近似看作一常數,而相位比V1超前了π/4+φ(x)。相位移φ(x)可采用鑒相型測量電路測出,即可得到相對位移x,可見容柵傳感器是一種相位跟蹤型的位移傳感器,這種傳感器對輸入信號的幅值變化不敏感,故具有較好的抗幹擾能力。
在(zai)整(zheng)個(ge)測(ce)量(liang)係(xi)統(tong)中(zhong),容(rong)柵(zha)傳(chuan)感(gan)器(qi)的(de)主(zhu)要(yao)作(zuo)用(yong)是(shi)把(ba)機(ji)械(xie)位(wei)移(yi)量(liang)轉(zhuan)變(bian)成(cheng)電(dian)信(xin)號(hao)的(de)相(xiang)位(wei)變(bian)化(hua)量(liang),然(ran)後(hou)送(song)給(gei)測(ce)量(liang)電(dian)路(lu)進(jin)行(xing)數(shu)據(ju)處(chu)理(li)。容(rong)柵(zha)傳(chuan)感(gan)器(qi)通(tong)過(guo)精(jing)密(mi)電(dian)壓(ya)比(bi)較(jiao)器(qi)TLC354進行控製,由繼電器供電,由CPU89C52提(ti)供(gong)所(suo)需(xu)的(de)激(ji)勵(li)信(xin)號(hao),同(tong)時(shi)接(jie)收(shou)其(qi)感(gan)應(ying)信(xin)號(hao),並(bing)通(tong)過(guo)鑒(jian)相(xiang)型(xing)電(dian)路(lu)測(ce)量(liang)出(chu)激(ji)勵(li)信(xin)號(hao)與(yu)感(gan)應(ying)信(xin)號(hao)的(de)相(xiang)位(wei)差(cha),經(jing)過(guo)一(yi)係(xi)列(lie)的(de)變(bian)化(hua),即(ji)可(ke)得(de)出(chu)活(huo)塞(sai)移(yi)動(dong)的(de)長(chang)度(du)距(ju)離(li)。
[page]
光電開關
在設計中,為了兼容多個廠家的注射器,我們專門考慮了測量注射器直徑的問題。最初是選用高精度的CCD光(guang)學(xue)傳(chuan)感(gan)器(qi),但(dan)是(shi)考(kao)慮(lv)到(dao)主(zhu)要(yao)的(de)功(gong)能(neng)為(wei)檢(jian)測(ce)注(zhu)射(she)器(qi)的(de)直(zhi)徑(jing),而(er)不(bu)同(tong)型(xing)號(hao)的(de)注(zhu)射(she)器(qi)直(zhi)徑(jing)具(ju)有(you)階(jie)躍(yue)性(xing)的(de)特(te)點(dian),為(wei)了(le)降(jiang)低(di)成(cheng)本(ben),我(wo)們(men)將(jiang)其(qi)換(huan)成(cheng)了(le)光(guang)電(dian)光(guang)電(dian)開(kai)關(guan)是(shi)一(yi)種(zhong)電(dian)量(liang)傳(chuan)感(gan)器(qi),它(ta)把(ba)發(fa)射(she)端(duan)和(he)接(jie)收(shou)端(duan)之(zhi)間(jian)光(guang)的(de)強(qiang)弱(ruo)變(bian)化(hua)轉(zhuan)化(hua)為(wei)電(dian)流(liu)的(de)變(bian)化(hua),即(ji)進(jin)行(xing)電(dian)信(xin)號(hao)→光信號→電信號的轉換,以此來達到探測的目的。由於光電開關輸出回路和輸入回路是電隔離的(即電緣絕),所以它可以在許多場合得到應用。其工作原理如圖2所示。

在本係統中我們選用光電開關的型號為HY-301-05,當鎖定注射器的閥門被提起,分別提到不同高度時,通過對光電開光的遮攔而讀出注射器的直徑。
壓力傳感器
壓ya力li傳chuan感gan器qi是shi工gong業ye實shi踐jian中zhong最zui常chang用yong的de一yi種zhong傳chuan感gan器qi,而er我wo們men通tong常chang使shi用yong的de壓ya力li傳chuan感gan器qi主zhu要yao是shi利li用yong壓ya電dian效xiao應ying的de壓ya電dian傳chuan感gan器qi。目mu前qian,壓ya力li傳chuan感gan器qi的de種zhong類lei很hen多duo,有you振zhen動dong筒tong式shi、石英波登管式、壓阻式、應ying變bian片pian式shi等deng。本ben係xi統tong中zhong采cai用yong的de是shi電dian阻zu式shi壓ya力li傳chuan感gan器qi,其qi工gong作zuo原yuan理li是shi將jiang被bei測ce的de非fei電dian量liang轉zhuan換huan成cheng電dian阻zu值zhi,通tong過guo測ce量liang此ci電dian阻zu值zhi達da到dao測ce量liang非fei電dian量liang的de目mu的de。傳chuan統tong的de電dian阻zu應ying變bian式shi壓ya力li傳chuan感gan器qi是shi一yi種zhong由you敏min感gan柵zha和he彈dan性xing敏min感gan元yuan件jian組zu合he起qi來lai的de傳chuan感gan器qi,如ru圖tu3所示。
yingbianpianyongzhanhejizhantiezaidanxingminganyuanjianshang,dangdanxingminganyuanjianshoudaowaishiyalizuoyongshi,jiangchanshengyingbian,dianzuyingbianpianjiangtamenzhuanhuanchengdianzubianhua,zaitongguodianqiaodianlujibuchangdianlushuchudianxinhao。zaichanpinzhongwomencaiyongCZA-102的壓力傳感器,此傳感器的芯片具有精度高、漂移小、ceshifanweidadetedian,dangzhusheqidezhentoudezulidayuzhengchangzhishi,yalichuanganqijikejiancedaodianyaxinhaodebianhua,ranhoujingguofangda,zaijingguomoshuzhuanhuan,zhuanhuanweishuzixinhao。
圖4為wei壓ya力li傳chuan感gan器qi的de應ying用yong電dian路lu圖tu,該gai電dian路lu采cai用yong的de電dian橋qiao構gou成cheng測ce量liang電dian壓ya,是shi一yi種zhong具ju有you較jiao高gao靈ling敏min度du的de測ce量liang方fang法fa。無wu差cha壓ya時shi,電dian橋qiao兩liang臂bi平ping等deng。差cha壓ya信xin號hao加jia到dao4個陶瓷壓敏電阻上,壓敏電阻的阻值隨差壓而變化,引起電橋失衡。電橋失衡引起電流的變化,通過運放LM2904進行電流的放大在後麵接ADC0834模數轉換芯片,把模擬信號轉化為數字信號,再傳輸至CPU進行處理。

本ben文wen在zai比bi較jiao國guo內nei外wai現xian有you微wei量liang注zhu射she泵beng存cun在zai的de不bu足zu的de基ji礎chu上shang,研yan究jiu了le傳chuan感gan器qi在zai微wei量liang注zhu射she泵beng中zhong的de一yi些xie新xin的de應ying用yong。通tong過guo這zhe些xie應ying用yong,成cheng功gong地di提ti高gao了le注zhu射she精jing度du,降jiang低di了le成cheng本ben,其qi適shi用yong範fan圍wei廣guang及ji功gong能neng全quan麵mian等deng特te點dian使shi得de市shi場chang前qian景jing十shi分fen廣guang泛fan。
特別推薦
- 噪聲中提取真值!瑞盟科技推出MSA2240電流檢測芯片賦能多元高端測量場景
- 10MHz高頻運行!氮矽科技發布集成驅動GaN芯片,助力電源能效再攀新高
- 失真度僅0.002%!力芯微推出超低內阻、超低失真4PST模擬開關
- 一“芯”雙電!聖邦微電子發布雙輸出電源芯片,簡化AFE與音頻設計
- 一機適配萬端:金升陽推出1200W可編程電源,賦能高端裝備製造
技術文章更多>>
- 邊緣AI的發展為更智能、更可持續的技術鋪平道路
- 每台智能體PC,都是AI時代的新入口
- IAR作為Qt Group獨立BU攜兩項重磅汽車電子應用開發方案首秀北京車展
- 構建具有網絡彈性的嵌入式係統:來自行業領袖的洞見
- 數字化的線性穩壓器
技術白皮書下載更多>>
- 車規與基於V2X的車輛協同主動避撞技術展望
- 數字隔離助力新能源汽車安全隔離的新挑戰
- 汽車模塊拋負載的解決方案
- 車用連接器的安全創新應用
- Melexis Actuators Business Unit
- Position / Current Sensors - Triaxis Hall
熱門搜索
SATA連接器
SD連接器
SII
SIM卡連接器
SMT設備
SMU
SOC
SPANSION
SRAM
SSD
ST
ST-ERICSSON
Sunlord
SynQor
s端子線
Taiyo Yuden
TDK-EPC
TD-SCDMA功放
TD-SCDMA基帶
TE
Tektronix
Thunderbolt
TI
TOREX
TTI
TVS
UPS電源
USB3.0
USB 3.0主控芯片
USB傳輸速度





