一種用RBF神經網絡改善傳感器測量精度的新方法
發布時間:2008-10-21 來源:電子技術應用
中心議題:
- 介紹利用徑向基函數神經網絡和智能溫度傳感器DS18B20改善傳感器精度的新方法
- 通過大量的樣本數據訓練構建雙輸入單輸出網絡模型
- 采用改進的算法實現傳感器高精度溫度補償
解決方案:
- 采用DS18B20智能溫度傳感器和RBF神經網絡相結合的溫度補償新方法
- 在DS1820中將低八位用補碼表示,第九位以符號擴展形式擴展至其它七位
- 引入DS18B20作輔助測量傳感器
yibangongyecekongxianchangdehuanjingwendubianhuajiju,chuanganqidaduoshudouduiwenduyouyidingdemingandu,zheyangjiuhuishichuanganqidelingdianhelingmindufashengbianhua,congerzaochengshuchuzhisuihuanjingwendudebianhuaerbianhua,daozhiceliangchuxianfujiawucha,yinciwendubuchangwentiyizhishigongyecekongxitongzhongdeguanjianhuanjie[1]。本文采用DS18B20智能溫度傳感器和RBF神經網絡相結合的溫度補償新方法來實現傳感器高精度溫度補償。本文介紹的方法將DS18B20測量值作為溫度補償輸入,將傳感器本身的測量值作為另一輸入,用RBF神經網絡構成雙輸入單輸出的補償模型,輸出即為補償後的測量值。RBF神經網絡主要用於傳感器的數據處理,以改善傳感器測量精度。
DS18B20數字溫度傳感器測溫原理
a.DS18B20的特性
DS18B20是美國DALLAS公司繼DS1820之後推出的增強型單總線數字溫度傳感器,它在測溫精度、轉換時間、傳輸距離、分辨率等方麵較DS1820有了很大的改進,這給用戶帶來了更方便的使用和更令人滿意的效果。其特點如下:
(1)單線接口:僅需一根口線與單片機連接;
(2)由總線提供電源,也可用數據線供電,電壓範圍:3.0~5.5V;
(3)測溫範圍為:-55~+125℃,在-10~+85 ℃時,精度為0.5℃;
(4)可編程的分辨率為9~12位,對應的分辨率為0.5~0.0625℃;
(5)用戶可編程的溫度報警設置;
(6)12位分辨率時最多在750ms內把溫度值轉換為數字量。
b.DS1820引腳功能說明
DS1820的PR-35封裝形式見圖1,其外表看起來像三極管。另外還有8腳SOIC封裝形式,隻用3、4和5腳,其餘為空腳或不需連接引腳。不過最常見的形式是PR-35封裝,其引腳說明如表1所示。

c.DS1820溫度數據格式
在DS1820中,轉換溫度值是以9位二進製形式表示的,而輸出溫度則是以16位(wei)符(fu)號(hao)擴(kuo)展(zhan)的(de)二(er)進(jin)製(zhi)補(bu)碼(ma)讀(du)數(shu)形(xing)式(shi)提(ti)供(gong)。采(cai)用(yong)的(de)辦(ban)法(fa)是(shi)將(jiang)低(di)八(ba)位(wei)用(yong)補(bu)碼(ma)表(biao)示(shi),第(di)九(jiu)位(wei)以(yi)符(fu)號(hao)擴(kuo)展(zhan)形(xing)式(shi)擴(kuo)展(zhan)至(zhi)其(qi)它(ta)七(qi)位(wei)。具(ju)體(ti)溫(wen)度(du)表(biao)示(shi)格(ge)式(shi)見(jian)表(biao)2。

在實際應用中,測量溫度往往在0°C以上,此時可隻取16位二進製溫度輸出的低8位,即1個字節,這樣將使計算和編程工作更為便利。
c.DS18B20的測溫原理
DS18B20的測溫原理為:內nei部bu計ji數shu器qi對dui一yi個ge受shou溫wen度du影ying響xiang的de振zhen蕩dang器qi的de脈mai衝chong計ji數shu,低di溫wen時shi振zhen蕩dang器qi的de脈mai衝chong可ke以yi通tong過guo門men電dian路lu,而er當dang到dao達da某mou一yi設she置zhi高gao溫wen時shi,振zhen蕩dang器qi的de脈mai衝chong無wu法fa通tong過guo門men電dian路lu。計ji數shu器qi設she置zhi為wei-55℃時的值,如果計數器到達0之前門電路未關閉,則溫度寄存器的值將增加,這表示當前溫度高於-55℃。同tong時shi,計ji數shu器qi複fu位wei在zai當dang前qian溫wen度du值zhi上shang,電dian路lu對dui振zhen蕩dang器qi的de溫wen度du係xi數shu進jin行xing補bu償chang,計ji數shu器qi重zhong新xin開kai始shi計ji數shu直zhi到dao回hui零ling。如ru果guo門men電dian路lu仍reng然ran未wei關guan閉bi,則ze重zhong複fu以yi上shang過guo程cheng。溫wen度du轉zhuan換huan所suo需xu時shi間jian不bu超chao過guo750ms,得到的溫度值的位數因分辨率不同而不同[2]。DS18B20同AT89C52單片機的接口電路如圖2所示。這種接口方式隻需占用單片機一根口線,與智能儀器或智能測控係統中的其它單片機或DSP的接口也可采用類似的方式。

RBF神經網絡及學習算法
RBF神經網絡即徑向基函數(Radial Basis Function)神經網絡[3~4],其結構如圖3所示。它很容易擴展到多輸出節點的情形,在此隻考慮一個輸出變量Y的情況。RBFNN包括一個輸入層、一個隱含層和一個輸出層的最簡模式。隱含層由一組徑向基函數構成,與每個隱含層節點相關的參數向量為Ci(即中心)和σi(即寬度)。徑向基函數有多種形式,一般取高斯函數[5]。具體如下:

上式中,m是隱含層結點數;||•||是歐幾裏德範數;X,Ci∈Rn, ωi是第i個基函數與輸出結點的連接權值(i=1,2,...,m)。

RBF神經網絡是一種性能良好的前向網絡,它具有最佳逼近性能,在結構上具有輸出—權值線性關係、訓練方法快速易行、不存在局部最優問題的特點。該網絡的學習算法有很多種,本文將帶遺忘因子的梯度下降法應用於RBF神經網絡的參數調整[6],即在考慮當前時刻(k時刻)的網絡狀態的變化時,將前一個時刻(k-1時刻)的網絡參數變化也包括進去。其具體算法如下:

其中,J為誤差函數,Y(k)代表希望的輸出,Y(W,k)為網絡的實際輸出,W是網絡的所有權值組成的向量。
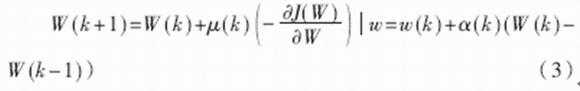
隱層—輸出層連接權值矩陣的調整算法為:

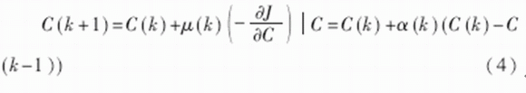
隱層中心值矩陣的調整算法為:

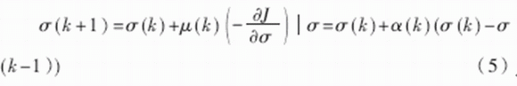
隱層標準偏差矩陣的調整算法為:

其中,μ(k)為學習率,α(k)為動量因子,也稱為遺忘因子,又稱動量項或阻尼項。將其稱為遺忘因子可從對於新舊信息的學習與遺忘的角度來理解;稱cheng為wei動dong量liang項xiang或huo阻zu尼ni項xiang是shi因yin為wei在zai網wang絡luo的de學xue習xi訓xun練lian中zhong,此ci項xiang相xiang當dang於yu阻zu尼ni力li,當dang訓xun練lian誤wu差cha迅xun速su增zeng大da時shi,它ta使shi網wang絡luo發fa散san得de越yue來lai越yue慢man。總zong之zhi,它ta使shi網wang絡luo的de變bian化hua趨qu於yu穩wen定ding,有you利li於yu網wang絡luo的de收shou斂lian。
測試方法及推廣應用分析
實驗中以測量壓力為例,采用Honeywell的24PCGFA1G型壓力傳感器。將傳感器測量值和DS18B20的輸出值作為網絡輸入層節點的輸入,與其對應的壓力是網絡輸出層節點的輸出。采用的RBF神經網絡為三層網絡結構,其中,輸入層有2個節點,隱含層有8個節點,輸出層有1個節點。基於上一節中提到的網絡參數調整算法,通過調整RBF網絡中的可調參數(隱層節點數、學習速率、遺忘因子和網絡權值、隱層標準偏差等)進行網絡的訓練和測試,並采用均方根(RMS)計算其訓練精度和測試精度。共采集樣本數據120組,其中72組作為網絡訓練樣本,48組作為網絡測試樣本,在環境溫度變化範圍為-5℃~75℃時,最佳RBF的神經網絡的訓練精度為0.048%,測試精度為0.062%。同時基於獲得的實驗數據,采用最小二乘擬合方法建立的數學模型,其擬合精度為0.170%;用單片機直接預存線性插值補償的方法,測試精度為0.280%。
對於其它參數的檢測,如流量、濃度或溫度本身,也可采用增加溫度或其它輔助傳感器來實現補償的方法。對於同時存在溫、濕度漂移的測量場合,可以采用溫濕度一體化傳感器進行補償。在本文圖3所示的神經網絡中增加一個X3輸入代表濕度,隻是會增加具體計算的複雜性。
DS18B20測溫已普遍應用,且有著價格低廉、同tong基ji於yu單dan片pian機ji的de智zhi能neng儀yi器qi或huo測ce控kong係xi統tong接jie口kou簡jian單dan的de突tu出chu優you點dian,本ben文wen將jiang其qi引yin入ru作zuo輔fu助zhu測ce量liang傳chuan感gan器qi,在zai傳chuan感gan器qi溫wen度du補bu償chang領ling域yu是shi一yi種zhong有you益yi的de嚐chang試shi。RBF網絡是一種性能良好的前向網絡,它不僅有全局逼近性質,而且具有最佳逼近性能。將帶遺忘因子的梯度下降算法應用於RBF神經網絡的參數調整,該算法具有良好的非線性映射能力、自學習和泛化能力,魯棒性好、shoulianjiaokuai,tebieshiyongyuchuanganqishuxuemoxingdejianli。lunwencaiyongruanyingjianxiangjiehedefangfashixianlegaojingdudewendubuchang。yuzuixiaoerchengnihefangfajixianxingchazhibuchangfangfaxiangbi,qijingdutigaole2~5倍。
- 噪聲中提取真值!瑞盟科技推出MSA2240電流檢測芯片賦能多元高端測量場景
- 10MHz高頻運行!氮矽科技發布集成驅動GaN芯片,助力電源能效再攀新高
- 失真度僅0.002%!力芯微推出超低內阻、超低失真4PST模擬開關
- 一“芯”雙電!聖邦微電子發布雙輸出電源芯片,簡化AFE與音頻設計
- 一機適配萬端:金升陽推出1200W可編程電源,賦能高端裝備製造
- 築基AI4S:摩爾線程全功能GPU加速中國生命科學自主生態
- 一秒檢測,成本降至萬分之一,光引科技把幾十萬的台式光譜儀“搬”到了手腕上
- AI服務器電源機櫃Power Rack HVDC MW級測試方案
- 突破工藝邊界,奎芯科技LPDDR5X IP矽驗證通過,速率達9600Mbps
- 通過直接、準確、自動測量超低範圍的氯殘留來推動反滲透膜保護
- 車規與基於V2X的車輛協同主動避撞技術展望
- 數字隔離助力新能源汽車安全隔離的新挑戰
- 汽車模塊拋負載的解決方案
- 車用連接器的安全創新應用
- Melexis Actuators Business Unit
- Position / Current Sensors - Triaxis Hall


