基於無線SAW壓力傳感器的FADS研究
發布時間:2008-10-13
中心論題:
- FADS的基本原理。
- 無線SAW壓力傳感器的原理。
- SAW壓力傳感器無線測量結構。
- SAW單端諧振器的等效電路對SAW壓力傳感器的仿真結果。
- 無線聲表麵波壓力傳感器組成廉價且精度較高的組合導航係統。
- 兩個單端諧振器並聯減少了傳播損耗和插入損耗。
- 無線檢測SAW壓力傳感器的中心諧振頻率變化得到壓力變化的數據。
引 言
FADS采用分布在飛行器前端周線(也可機翼兩側)不同位置上的壓力傳感器陣列測得壓力,通過計算間接得到動靜壓,從而獲得真空速、馬赫數、氣壓高度等大氣數據。NASA的Dryden飛行研究中心在19世紀60年代開始了對嵌入式大氣數據係統的研究。這種傳感係統被應用於F-14,F/A-18,X-31,X-33,X-34以及X-38等諸多飛行器上,但其使用的是傳統的壓力傳感器,需要冗長的線纜等,不利於在較小型的武器彈藥上使用。
無線聲表麵波壓力傳感器具有體積小、能neng無wu線xian測ce量liang的de優you點dian,因yin而er嵌qian入ru式shi大da氣qi數shu據ju係xi統tong使shi用yong無wu線xian聲sheng表biao麵mian波bo壓ya力li傳chuan感gan器qi,就jiu能neng將jiang嵌qian入ru式shi大da氣qi數shu據ju係xi統tong運yun用yong到dao較jiao小xiao型xing的de武wu器qi彈dan藥yao上shang,與yu小xiao型xing廉lian價jia的de捷jie聯lian慣guan導dao進jin行xing組zu合he,可ke組zu成cheng廉lian價jia但dan精jing度du較jiao高gao的de組zu合he導dao航hang係xi統tong,可ke方fang便bian的de用yong於yu提ti高gao小xiao型xing彈dan藥yao的de命ming中zhong精jing度du等deng。
基本原理
FADS一般安裝在飛行器前端,為了不影響雷達和火控裝置的安裝,也有將FADS安裝在機翼前端。F-14的FADS由23個壓力傳感器組成,安裝在機身前端。X-33的FADS係統則由6個壓力傳感器組成,安裝在機身前端。壓力傳感器的數目並沒有固定的規定。在F-14飛機上,其FADS的壓力傳感器布局如圖1所示。
FADS係(xi)統(tong)中(zhong)壓(ya)力(li)傳(chuan)感(gan)器(qi)數(shu)目(mu)越(yue)多(duo),其(qi)容(rong)錯(cuo)性(xing)能(neng)越(yue)好(hao),但(dan)係(xi)統(tong)的(de)計(ji)算(suan)就(jiu)越(yue)複(fu)雜(za),係(xi)統(tong)性(xing)能(neng)要(yao)求(qiu)就(jiu)越(yue)高(gao)。但(dan)由(you)於(yu)測(ce)量(liang)攻(gong)角(jiao)和(he)側(ce)滑(hua)角(jiao)需(xu)相(xiang)應(ying)的(de)壓(ya)力(li)差(cha),因(yin)而(er)在(zai)中(zhong)心(xin)點(dian)的(de)周(zhou)圍(wei)必(bi)須(xu)有(you)相(xiang)對(dui)稱(cheng)的(de)壓(ya)力(li)測(ce)量(liang)點(dian)。
FADS係統的空氣動力學模型把位流模型與修正的牛頓流模型(前者主要適用於亞音速條件,後者主要適用於超音速條件)與一個修正係數ε相結合,形成了不同馬赫情況下的帶補償的空氣動力學模型。ε的數值是在綜合考慮了壓縮效應、氣動外形、係統影響等因素而選取的。在飛行中,可以將其看成攻角、側滑角和馬赫數的函數,其函數關係可以在飛行前確定。
在此省略空氣動力學的推導過程,給出FADS係統完整的空氣動力學模型
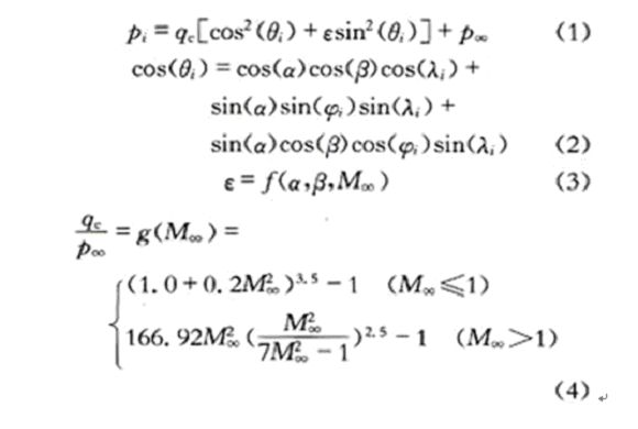
式中:pi為第i(i=1,2…23)個壓力傳感器(簡稱i點)所測得的壓強;qc為動壓;p∞為靜壓;M∞為馬赫數;ε為形壓係數;α為攻角;β為側滑角;φi為i點的圓周角;λi為i點的圓錐角;θi為i點的入射角(該點的曲麵法線方向與來流速度矢量的夾角);g函數是一個確定的單調函數。通過對壓力點壓力的測量以及相應的算法,可以得到動、靜壓的值、馬赫數、攻角和測滑角,通過這些值又能推算氣壓高度和真空速等大氣參數。
無線SAW壓力傳感器
在飛行器前端安裝FADS,需要體積很小的壓力傳感器進行點測。在文獻[4],[5]中報道的無線SAW壓力傳感器都是通過延遲線實現的,延遲線的插入損耗以及傳播損耗較大,影響SAW壓力傳感器遙測的距離,且SAW延遲線形狀扁長,不適宜安裝於飛行器前端對一個點的壓力進行測量。通過圖2所示的SAW壓力傳感器的結構可改變SAW壓力傳感器的形狀,且能增加SAW壓力傳感器無線測量的距離。
不同於聲表麵波延遲線結構的SAW壓力傳感器,圖2所示的結構采用兩個單端諧振器並聯。SAW諧振器在諧振時瑞利波通過反射柵形成多次疊加,其能量也多次疊加,因而相對減少了傳播損耗和插入損耗,具有較高高的Q值。同時SAW諧振器靈敏度高,精確度高,且能長時間保持穩定。利用這種結構設計來無線測量壓力,能減少SAW壓力傳感器的傳播損耗和插入損耗,因而這種原理結構具有良好的應用潛力。
當傳感器表麵有壓力作用時,無線SAW壓(ya)力(li)傳(chuan)感(gan)器(qi)的(de)壓(ya)電(dian)薄(bo)膜(mo)就(jiu)會(hui)產(chan)生(sheng)形(xing)變(bian),薄(bo)膜(mo)材(cai)料(liao)的(de)應(ying)變(bian)會(hui)使(shi)得(de)聲(sheng)表(biao)麵(mian)波(bo)傳(chuan)播(bo)速(su)度(du)發(fa)生(sheng)變(bian)化(hua),從(cong)而(er)使(shi)聲(sheng)表(biao)麵(mian)波(bo)的(de)中(zhong)心(xin)諧(xie)振(zhen)頻(pin)率(lv)發(fa)生(sheng)變(bian)化(hua)。通(tong)過(guo)無(wu)線(xian)檢(jian)測(ce)SAW壓(ya)力(li)傳(chuan)感(gan)器(qi)的(de)中(zhong)心(xin)諧(xie)振(zhen)頻(pin)率(lv)變(bian)化(hua),就(jiu)能(neng)得(de)到(dao)壓(ya)力(li)變(bian)化(hua)的(de)數(shu)據(ju)。假(jia)設(she)溫(wen)度(du)對(dui)兩(liang)個(ge)單(dan)端(duan)諧(xie)振(zhen)器(qi)的(de)中(zhong)心(xin)諧(xie)振(zhen)頻(pin)率(lv)影(ying)響(xiang)很(hen)小(xiao),則(ze)兩(liang)諧(xie)振(zhen)器(qi)中(zhong)心(xin)頻(pin)率(lv)差(cha)的(de)變(bian)化(hua)與(yu)所(suo)測(ce)壓(ya)力(li)之(zhi)間(jian)的(de)關(guan)係(xi)式(shi)可(ke)表(biao)示(shi)為(wei)
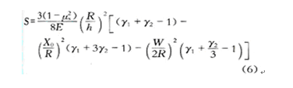
式中,S1和S2分別表示單端諧振器1和單端諧振器2的壓力靈敏係數,與單端諧振器和隔膜的參數有關。壓力靈敏係數可表示為
式中:R為隔膜的半徑;h為隔膜的厚度;E為楊氏模量;μs為泊鬆比;r1和r2為兩單端諧振器基片材料對機械擾動的線性係數。
通過無線測量SAW兩個諧振器中心頻率差的變化就能得到壓力值,極大地提高了嵌入式大氣數據係統的應用靈活性。
無線測量結構
在嵌入式大氣數據係統中,SAW壓力傳感器無線測量的優點可提高其應用的靈活性。圖3所示為SAW壓力傳感器無線測量結構。
整個無線測量係統由信號詢問與信號接收兩部分電路組成。信號發送裝置由參考振蕩器、RF脈衝發生器以及接收/發送(T/R)轉換開關組成;信號接收裝置由積分下變頻轉換器、兩路A/D轉換器組成。信號處理器模塊將經過A/D轉化後得到的數據進行處理,從中得到相位正交的I路信號和Q路信號,對I路信號和Q路信號處理就能得到SAW傳感器由於物理變化而產生的頻率和相位變化信息,同時信號處理器模塊產生脈衝控製信號以及接收/發送轉換信號,以對接收發送的轉換進行協調。
由於信號收發電路發射脈衝詢問信號後,脈衝信號在傳播、SAW傳感器中處理以及返回過程中都需要時間,所以必須定義相互獨立的發送和接收間隔時間,通過接收/發(fa)送(song)開(kai)關(guan)進(jin)行(xing)轉(zhuan)換(huan)。參(can)考(kao)振(zhen)蕩(dang)器(qi)在(zai)脈(mai)衝(chong)信(xin)號(hao)發(fa)送(song)時(shi)產(chan)生(sheng)詢(xun)問(wen)信(xin)號(hao),而(er)在(zai)接(jie)收(shou)信(xin)號(hao)時(shi)為(wei)積(ji)分(fen)下(xia)變(bian)頻(pin)提(ti)供(gong)本(ben)振(zhen)參(can)考(kao)信(xin)號(hao)。經(jing)下(xia)變(bian)頻(pin)轉(zhuan)換(huan)後(hou),由(you)雙(shuang)路(lu)A/D轉換器進行數字化,並通過可編程邏輯器件對信號的接收發送進行控製。信號處理後與慣導係統相聯,組成小型的組合導航係統。
仿真結果
可通過SAW單端諧振器的等效電路對SAW壓力傳感器的整體性能進行分析,圖4為SAW單端諧振器的等效電路。
圖中:C1表示基片彈性引起的動態電容;L1是基片慣性引起的動態電感;R1是阻尼引起的動態電阻;C0是叉指換能器的靜電容。SAW壓力傳感器由兩個單端諧振器並聯得到,通過HPEesoft軟件進行仿真,可得兩諧振器的回波導納幅值與頻率的關係。仿真結果如圖5所示。
在圖5中可以看出,兩SAW諧振器有兩個中心諧振頻率,分別為434 MHz和434.4 MHz。這兩個頻率都在ISM標準無線頻率測量範圍之中,可有效進行無線測量。
- 噪聲中提取真值!瑞盟科技推出MSA2240電流檢測芯片賦能多元高端測量場景
- 10MHz高頻運行!氮矽科技發布集成驅動GaN芯片,助力電源能效再攀新高
- 失真度僅0.002%!力芯微推出超低內阻、超低失真4PST模擬開關
- 一“芯”雙電!聖邦微電子發布雙輸出電源芯片,簡化AFE與音頻設計
- 一機適配萬端:金升陽推出1200W可編程電源,賦能高端裝備製造
- 邊緣AI的發展為更智能、更可持續的技術鋪平道路
- 每台智能體PC,都是AI時代的新入口
- IAR作為Qt Group獨立BU攜兩項重磅汽車電子應用開發方案首秀北京車展
- 構建具有網絡彈性的嵌入式係統:來自行業領袖的洞見
- 數字化的線性穩壓器
- 車規與基於V2X的車輛協同主動避撞技術展望
- 數字隔離助力新能源汽車安全隔離的新挑戰
- 汽車模塊拋負載的解決方案
- 車用連接器的安全創新應用
- Melexis Actuators Business Unit
- Position / Current Sensors - Triaxis Hall



