聊聊低通濾波器這個迷人的研究點
發布時間:2024-09-04 責任編輯:lina
【導讀】簡單的回答就是低通濾波器(lpf)允許低頻通過,同時阻斷高頻。最經典的例子就是音頻係統中的低音。低通濾波器允許低音傳遞到大低音,而高通濾波器(hpf)允許高頻音傳遞到高音。甚至可能有一個帶通濾波器,允許中音(語音)信號傳遞到中音揚聲器。
問:什麼是低通濾波器?
簡單的回答就是低通濾波器(lpf)允許低頻通過,同時阻斷高頻。最經典的例子就是音頻係統中的低音。低通濾波器允許低音傳遞到大低音,而高通濾波器(hpf)允許高頻音傳遞到高音。甚至可能有一個帶通濾波器,允許中音(語音)信號傳遞到中音揚聲器。
zaizhegelizizhong,lvboqibeiyonglaijianqingyuyangshengqixiangguandewulixiaoying。diyinbeichuandidaoyigedaxinghuannengqi,gaihuannengqinenggouyidongdaliangkongqiyitigongleimingbandediyin,ergaoyinzeyoujiaoxiaodeshebeigenghaodichansheng。
為(wei)了(le)充(chong)分(fen)理(li)解(jie)濾(lv)波(bo)器(qi)的(de)含(han)義(yi)和(he)操(cao)作(zuo),我(wo)們(men)需(xu)要(yao)一(yi)個(ge)工(gong)作(zuo)的(de)心(xin)智(zhi)模(mo)型(xing)來(lai)區(qu)分(fen)時(shi)間(jian)域(yu)和(he)頻(pin)域(yu)。我(wo)們(men)必(bi)須(xu)掌(zhang)握(wo)用(yong)來(lai)描(miao)述(shu)變(bian)頻(pin)信(xin)號(hao)的(de)語(yu)言(yan),這(zhe)樣(yang)我(wo)們(men)才(cai)能(neng)設(she)計(ji)並(bing)隨(sui)後(hou)評(ping)估(gu)濾(lv)波(bo)器(qi)的(de)性(xing)能(neng)。
本文將指出這些基礎。它給出了一個理想的一階低通RC濾波器的仿真結果,然後總結了學生可能遇到的危險。具體來說,就是濾波器在非理想元件的非理想環境中使用時所遇到的問題。
濾波器賴以存在的基礎是什麼?
傳(chuan)統(tong)電(dian)子(zi)學(xue)課(ke)程(cheng)介(jie)紹(shao)了(le)介(jie)於(yu)分(fen)立(li)晶(jing)體(ti)管(guan)放(fang)大(da)器(qi)和(he)運(yun)算(suan)放(fang)大(da)器(qi)之(zhi)間(jian)的(de)濾(lv)波(bo)器(qi)。遺(yi)憾(han)的(de)是(shi),我(wo)們(men)沒(mei)有(you)更(geng)多(duo)的(de)時(shi)間(jian)來(lai)探(tan)索(suo)與(yu)頻(pin)域(yu)分(fen)析(xi)相(xiang)關(guan)的(de)豐(feng)富(fu)語(yu)言(yan)。事(shi)實(shi)上(shang),很(hen)多(duo)學(xue)生(sheng)會(hui)嚐(chang)試(shi)在(zai)沒(mei)有(you)使(shi)用(yong)過(guo)頻(pin)譜(pu)分(fen)析(xi)儀(yi)的(de)情(qing)況(kuang)下(xia)描(miao)述(shu)濾(lv)波(bo)器(qi)。在(zai)一(yi)個(ge)相(xiang)關(guan)的(de),也(ye)許(xu)同(tong)樣(yang)令(ling)人(ren)沮(ju)喪(sang)的(de)情(qing)況(kuang)下(xia),您(nin)可(ke)能(neng)會(hui)參(can)加(jia)數(shu)字(zi)邏(luo)輯(ji)課(ke)程(cheng),探(tan)索(suo)如(ru)何(he)將(jiang)低(di)通(tong)(抗混疊濾波器)應用於ADC。當你最終完成信號和係統課程時,情況可能會好轉。在那之前,請繼續閱讀這篇文章。
技術小貼士:
低通濾波器通常在模擬數字轉換器(ADC)zhiqianshiyong。ditonglvboqiyongzuokanghundielvboqi,fangzhilingrenfangandeshizhenxingshi。zhezhongshizhendeyuanyinyunaikuisitecaiyangdingliyouguan,gaidingligaosuwomen,zuigaoADC輸入頻率必須小於采樣頻率的一半。例如,為語音頻率設計的係統可以具有6千赫的采樣率。任何高於3 千赫的音調都會導致信號失真。
毫hao無wu疑yi問wen,這zhe是shi一yi個ge複fu雜za的de高gao爾er迪di結jie,很hen可ke能neng是shi你ni訪fang問wen這zhe個ge頁ye麵mian的de原yuan因yin。濾lv波bo器qi是shi一yi個ge具ju有you挑tiao戰zhan性xing的de概gai念nian,因yin為wei它ta們men的de應ying用yong需xu要yao許xu多duo相xiang關guan但dan基ji本ben的de概gai念nian,如ru頻pin域yu分fen析xi,帶dai寬kuan,共gong振zhen,諧xie波bo,傅fu立li葉ye級ji數shu和he分fen貝bei。每mei一yi個ge都dou很hen複fu雜za,但dan可ke能neng會hui讓rang你ni覺jiao得de你ni是shi在zai從cong消xiao防fang水shui管guan裏li喝he水shui。
完整的解決方案超出了本文的範圍。代替。請允許我給你介紹一些有用的視頻。視頻1yanshilezaichufangzhongyudaodeguangpu。zheshiyigejinhuwanmeideshengyinjieshao,weisikaolvboqidefangshidiandinglejichu。diergeshipinshiwodetongxinxitongxiliejiangzuodeyibufen。tatigongleduozhongsikaopinpudefangshi。tajianlizaizhiqiandedianluI和電路II相量計算的基礎上,並使用無線廣播探索帶寬。最後,它提出了一個涉及低通濾波器、高通、帶通和陷波濾波器的仿真。
理想低通濾波器的計算
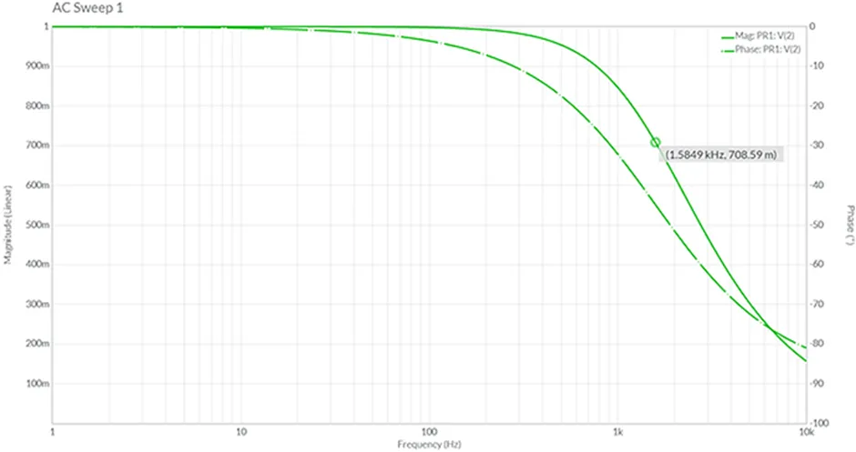
設R = 1.0 kΩ, C = 0.1 uF。結果是-3dB截止約1.6 kHz。在線DigiKey低通濾波器計算器 ,如圖1所示。Multisim 頻率掃描的結果,結果在圖2中得到進一步支持,圖2是使用線性標度呈現的。在這張圖中,可以看到幅度從輸入的1.0 V下降到輸出幅度的0.71 V。
圖 1 :R = 1 kΩ和C = 1 uF的DigiKey RC低通濾波器計算器的圖像。得到的截止頻率約為1.6 kHz。
圖 2: MultiSim頻率掃描的結果顯示,在截止頻率下,濾波器輸出幅度從1.0V下降到0.71V。
技術小貼士:
術語“截止”經常被誤解。在低通濾波器的語境中,截止頻率是指輸出信號為輸入信號70.7%。這可以用分貝的形式表示為-3 dB。重要的是要認識到,信號在截止點處顯著降低。實際的衰減逐漸從較低的頻率開始。
當我們偏離理想低通濾波器時出現的問題
在上一節中,我們在描述濾波器時小心翼翼地使用了“理想”一詞。這個術語適用於濾波器本身,也適用於濾波器的使用方式。至於濾波器,術語“理想”意味著組件以理想的方式運行(請參閱技術小貼士)。至於輸出,我們假設濾波器與任何負載斷開連接。換一種說法,我們假設濾波器的輸出正在尋找一個無限的阻抗。
一個典型的錯誤是將濾波器的輸出輸入反相運放。假設這個放大器的增益為10,使用1.0 kΩ和10 kΩ電阻對。考慮到運算放大器的虛擬地,濾波器將看到1 kΩfuzai。duiyudipin,lvboqishuchufudubuzaitongyi。shishishang,duiyuwomenxuanzededianzu,womenyijingxingchengleyigefenyaqi,zaidipinshishuchujianban。womendejiezhipinlvyefashengleyiwei。wuxujieshi,womenyinggaizhongxinxuexiThévenin的定理,開始著手進行AC分析。
結論
這zhe是shi理li論lun與yu現xian實shi世shi界jie相xiang遇yu的de一yi個ge迷mi人ren的de研yan究jiu點dian。低di通tong濾lv波bo器qi一yi點dian也ye不bu簡jian單dan。在zai設she計ji電dian路lu時shi,請qing牢lao記ji這zhe些xie想xiang法fa。也ye許xu這zhe是shi許xu多duo人ren稱cheng之zhi為wei藝yi術shu的de原yuan因yin。
文章來源:DigiKey得捷
免責聲明:本文為轉載文章,轉載此文目的在於傳遞更多信息,版權歸原作者所有。本文所用視頻、圖片、文字如涉及作品版權問題,請聯係小編進行處理。
推薦閱讀:
UWB芯片深入城市每一條“神經末梢”!紐瑞芯“創芯版圖”再升級,劍指數字中國時空基底
ADI的智能工廠專業知識助您選擇合適的IO-Link從站收發器
- 噪聲中提取真值!瑞盟科技推出MSA2240電流檢測芯片賦能多元高端測量場景
- 10MHz高頻運行!氮矽科技發布集成驅動GaN芯片,助力電源能效再攀新高
- 失真度僅0.002%!力芯微推出超低內阻、超低失真4PST模擬開關
- 一“芯”雙電!聖邦微電子發布雙輸出電源芯片,簡化AFE與音頻設計
- 一機適配萬端:金升陽推出1200W可編程電源,賦能高端裝備製造
- 具身智能成最大亮點!CITE 2026開幕峰會釋放產業強信號
- 助力醫療器械產業高質量發展 派克漢尼汾閃耀2026 ICMD
- 比異步時鍾更隱蔽的“芯片殺手”——跨複位域(RDC)問題
- 數據之外:液冷技術背後的連接器創新
- “眼在手上”的嵌入式實踐:基於ROS2與RK3576的機械臂跟隨抓取方案
- 車規與基於V2X的車輛協同主動避撞技術展望
- 數字隔離助力新能源汽車安全隔離的新挑戰
- 汽車模塊拋負載的解決方案
- 車用連接器的安全創新應用
- Melexis Actuators Business Unit
- Position / Current Sensors - Triaxis Hall



