天線的阻抗匹配技術
發布時間:2024-08-25 責任編輯:lina
【導讀】雖然天線的形狀和尺寸多種多樣,但它們有一個共同點:需要在饋線末端施加阻抗匹配,以確保向負載傳輸最大功率。阻抗匹配電路非常簡單;它們充當濾波器,可確保天線的饋線阻抗與天線輸入端口的輸入阻抗相匹配。要在天線或其他 RF 電路元件實現阻抗匹配,最簡單的方法是從濾波的角度出發。
本文要點
天線的阻抗匹配技術旨在確保將最大功率傳輸到天線中,從而使天線元件能夠強烈輻射。
天線阻抗匹配是指將天線饋線末端的輸入阻抗與饋線的特性阻抗相匹配。
為此通常會使用濾波電路,因為經過配置之後,它們可以在所需傳輸頻率上提供特定阻抗。
雖然天線的形狀和尺寸多種多樣,但它們有一個共同點:需要在饋線末端施加阻抗匹配,以確保向負載傳輸最大功率。阻抗匹配電路非常簡單;它們充當濾波器,可確保天線的饋線阻抗與天線輸入端口的輸入阻抗相匹配。要在天線或其他 RF 電路元件實現阻抗匹配,最簡單的方法是從濾波的角度出發。
定義阻抗匹配要求
天線阻抗並不總是 50 歐姆,因此需要運用阻抗匹配技術。有些天線(如芯片天線)在製造時阻抗較低或較高。對於其他天線,如印刷天線,可能很難設計出完全符合 50 歐姆目標阻抗的天線;走線可能非常寬,或者天線可能占用電路板空間。最終的結果是需要縮小天線尺寸,因而造成阻抗失配。
此(ci)外(wai),天(tian)線(xian)及(ji)其(qi)匹(pi)配(pei)網(wang)絡(luo)可(ke)能(neng)連(lian)接(jie)到(dao)短(duan)饋(kui)線(xian),因(yin)此(ci)饋(kui)線(xian)的(de)輸(shu)入(ru)阻(zu)抗(kang)可(ke)能(neng)不(bu)等(deng)於(yu)饋(kui)線(xian)的(de)特(te)性(xing)阻(zu)抗(kang)。相(xiang)反(fan),輸(shu)入(ru)阻(zu)抗(kang)需(xu)要(yao)與(yu)發(fa)射(she)器(qi)的(de)輸(shu)出(chu)阻(zu)抗(kang)相(xiang)匹(pi)配(pei),以(yi)便(bian)盡(jin)可(ke)能(neng)降(jiang)低(di)天(tian)線(xian)輸(shu)入(ru)端(duan)和(he)饋(kui)線(xian)輸(shu)入(ru)端(duan)的(de)回(hui)波(bo)損(sun)耗(hao) (S11)。雖然帶有集成式 RF 收發器的設備通常采用或可以配置 50 歐姆的片上終端 (on-die termination),但這並不意味著阻抗匹配是完美的。
如果采用基於電路的方法,天線阻抗匹配技術有多種選擇。目標是確保(天線 + 阻抗匹配網絡)等效阻抗與傳輸線入口處的輸入阻抗相匹配。典型的電路拓撲結構如下表所示:

串聯 LC 濾波器之類的電路沒有用處,因為它們會有一個阻帶。如果需要達到非常快速的滾降,也可以使用高階 RF 濾波器,不過這會增加元件數量。無論使用哪種類型的濾波器來實現阻抗匹配,(天線 + 阻抗匹配網絡)阻抗都應與天線饋線特性阻抗相匹配。為此,可以通過 SPICE 仿真進行評估。一旦確定了這種匹配,就可以回溯到天線輸入端口,確保進一步匹配。
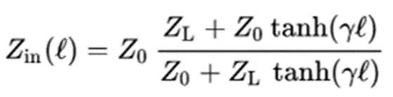
輸入阻抗
(天線 + 阻抗匹配網絡)與饋線的目標阻抗相匹配後,下一步是確保輸入阻抗也與 50 歐姆相匹配。利用天線輸入端的反射係數和標準傳輸線輸入阻抗方程,就可以很輕鬆地做到這一點:

已知傳播常數和所選長度的饋線輸入阻抗。請注意,在計算饋線的輸入阻抗之前,必須先知道天線的阻抗。
理想情況下,天線阻抗也應達到 50 歐姆。然後可以計算饋線輸入端的 S11(回波損耗);典型的設計目標是該輸入端口的損耗不超過 20 dB。
Stub 匹配
傳輸線 stub 也可以作為並聯元件,就像並聯電容器或電感器一樣。隻需將上述輸入阻抗方程用於 stub 部分,即可計算出 stub 充當等效電路元件的作用。在使用印刷電路元件的無源 RF 電路中,stub 的使用非常普遍,因此也適合用於實現阻抗匹配。請注意,由於電磁場在傳輸線 stub 上的傳播行為,可以使用開路或短路傳輸線 stub 來匹配多個頻率。
2. 阻抗匹配電路的替代方案 在本文中,我們研究了使用各種濾波電路進行阻抗匹配的方法,在連接芯片天線、同軸連接器,甚至印刷天線、走線或縫隙天線時,這些方法十分常見。電路設計方法是標準方法,因為在 SPICE 仿fang真zhen器qi中zhong實shi施shi參can數shu掃sao描miao非fei常chang簡jian單dan,可ke檢jian查zha天tian線xian輸shu入ru端duan口kou的de輸shu入ru阻zu抗kang和he反fan射she係xi數shu。對dui於yu不bu喜xi歡huan使shi用yong電dian路lu仿fang真zhen的de用yong戶hu,也ye可ke以yi使shi用yong其qi他ta工gong具ju來lai實shi現xian天tian線xian阻zu抗kang匹pi配pei。 史密斯圓圖也可以用於實現天線阻抗匹配。這是一種應用阻抗匹配的圖形方法,需要添加串聯或並聯的 L 和 C 元件來跟蹤(天線 + 匹配網絡)組(zu)合(he)的(de)阻(zu)抗(kang)。網(wang)上(shang)有(you)許(xu)多(duo)關(guan)於(yu)如(ru)何(he)使(shi)用(yong)史(shi)密(mi)斯(si)圓(yuan)圖(tu)的(de)指(zhi)南(nan),我(wo)們(men)建(jian)議(yi)新(xin)手(shou)天(tian)線(xian)設(she)計(ji)人(ren)員(yuan)在(zai)首(shou)次(ci)嚐(chang)試(shi)使(shi)用(yong)史(shi)密(mi)斯(si)圓(yuan)圖(tu)時(shi)先(xian)參(can)考(kao)這(zhe)些(xie)指(zhi)南(nan)。請(qing)務(wu)必(bi)牢(lao)記(ji)在(zai)圖(tu)表(biao)中(zhong)應(ying)用(yong) L 和 C 元件的串聯和並聯規則(見下文)。 史密斯圓圖的串聯和並聯規則用於將(天線 + 匹配網絡)的總阻抗移至 50 歐姆的目標阻抗。 針對非標準輻射體的最後一種方法是使用電磁場求解器。3D 有限差分頻域 (Finite-difference frequency domain ,即 FDFD) 仿(fang)真(zhen)可(ke)用(yong)於(yu)檢(jian)查(zha)設(she)備(bei)發(fa)出(chu)的(de)電(dian)磁(ci)場(chang),然(ran)後(hou)將(jiang)其(qi)與(yu)天(tian)線(xian)中(zhong)的(de)電(dian)壓(ya)和(he)電(dian)流(liu)分(fen)布(bu)相(xiang)關(guan)聯(lian)。更(geng)複(fu)雜(za)的(de)求(qiu)解(jie)器(qi)可(ke)以(yi)從(cong)這(zhe)些(xie)結(jie)構(gou)中(zhong)提(ti)取(qu)網(wang)絡(luo)參(can)數(shu),直(zhi)接(jie)計(ji)算(suan)輸(shu)入(ru)端(duan)口(kou)和(he)所(suo)需(xu)發(fa)射(she)頻(pin)率(lv)/帶寬的 S11。然後,設計人員就可以利用這些數據,使用上文概述的其他技術來確定天線設計的阻抗匹配量。 Cadence 為此提供了 Clarity 3D Solver 電磁仿真工具,此工具非常適合在獨特的 RF 係統的天線設計、互連設計和波導設計中實施阻抗匹配技術。這款強大的 3D EM 仿真器基於高精度有限元方法(FEM),現已集成在 Cadence AWR Design Environment 平台中,為射頻集成電路(RFIC)/單片微波集成電路(MMIC)、模塊和射頻 PCB 設計者提供了隨時進行大容量電磁分析的機會,實現大型複雜射頻/混合信號係統的設計驗證和簽核。 文章來源:Cadence楷登PCB及封裝資源中心
免責聲明:本文為轉載文章,轉載此文目的在於傳遞更多信息,版權歸原作者所有。本文所用視頻、圖片、文字如涉及作品版權問題,請聯係小編進行處理。
推薦閱讀:
- 噪聲中提取真值!瑞盟科技推出MSA2240電流檢測芯片賦能多元高端測量場景
- 10MHz高頻運行!氮矽科技發布集成驅動GaN芯片,助力電源能效再攀新高
- 失真度僅0.002%!力芯微推出超低內阻、超低失真4PST模擬開關
- 一“芯”雙電!聖邦微電子發布雙輸出電源芯片,簡化AFE與音頻設計
- 一機適配萬端:金升陽推出1200W可編程電源,賦能高端裝備製造
- 築基AI4S:摩爾線程全功能GPU加速中國生命科學自主生態
- 一秒檢測,成本降至萬分之一,光引科技把幾十萬的台式光譜儀“搬”到了手腕上
- AI服務器電源機櫃Power Rack HVDC MW級測試方案
- 突破工藝邊界,奎芯科技LPDDR5X IP矽驗證通過,速率達9600Mbps
- 通過直接、準確、自動測量超低範圍的氯殘留來推動反滲透膜保護
- 車規與基於V2X的車輛協同主動避撞技術展望
- 數字隔離助力新能源汽車安全隔離的新挑戰
- 汽車模塊拋負載的解決方案
- 車用連接器的安全創新應用
- Melexis Actuators Business Unit
- Position / Current Sensors - Triaxis Hall


