毫微功耗運算放大器的直流增益
發布時間:2021-05-01 來源:Gen Vansteeg 責任編輯:wenwei
【導讀】運算放大器(op amp)的高精度和高速度直接影響著功耗的量級。電流消耗降低則增益帶寬減少;相反,偏移電壓降低則電流消耗增大。
運算放大器的許多電子特性相互作用,相互影響。由於市場對低功耗應用的需求逐漸增大,如無線感應節點、 物聯網 (IoT) 和(he)樓(lou)宇(yu)自(zi)動(dong)化(hua),因(yin)此(ci)為(wei)確(que)保(bao)同(tong)時(shi)滿(man)足(zu)終(zhong)端(duan)設(she)備(bei)性(xing)能(neng)優(you)化(hua)及(ji)功(gong)耗(hao)盡(jin)可(ke)能(neng)低(di),了(le)解(jie)各(ge)電(dian)子(zi)特(te)性(xing)間(jian)的(de)平(ping)衡(heng)至(zhi)關(guan)重(zhong)要(yao)。此(ci)係(xi)列(lie)博(bo)文(wen)包(bao)含(han)三(san)部(bu)分(fen),在(zai)第(di)一(yi)部(bu)分(fen)中(zhong),我(wo)將(jiang)介(jie)紹(shao)在(zai)毫(hao)微(wei)功(gong)率(lv)精(jing)密(mi)運(yun)算(suan)放(fang)大(da)器(qi)中(zhong)關(guan)於(yu)直(zhi)流(liu)增(zeng)益(yi)的(de)功(gong)率(lv)與(yu)性(xing)能(neng)表(biao)現(xian)的(de)平(ping)衡(heng)。
直流增益
你也許還記得,在學校中學到的運算放大器的典型反相(如圖1)和非反向(如圖2)增益配置。

圖1:反相運算放大器

圖2:非反相運算放大器
根據這些配置可分別得出反相和非反相運算放大器閉環增益等式,等式1和等式2:
等式中A_CL是閉環增益,R_F 是反饋電阻值,而R_2 是從負輸入端到信號(反相)或接地(非反相)的電阻值。
這些等式說明直流增益與電阻比有關,與電阻值無關。另外,“功率”定律和歐姆定律顯示了電阻值和消耗功率兩者之間的關係(等式3):
P是電阻消耗的功率,V是電阻的壓降,I是流經電阻的電流。
對毫微功耗增益和分壓器配置而言,Equation 3顯示,流經電阻的電流消耗最小,則消耗功率最小。Equation 4有助於你了解該原理:
R是電阻值。
根據這些等式,可以看出你必須選擇既可以提供增益又可以使消耗功率(也稱功耗)最小化的大電阻值。如果不能使流經反饋通道的電流最小化,那麼使用毫微功耗運算放大器就沒有任何優勢可言。
一yi旦dan選xuan定ding可ke以yi滿man足zu增zeng益yi和he功gong耗hao需xu求qiu的de電dian阻zu值zhi後hou,你ni還hai需xu要yao考kao慮lv其qi它ta影ying響xiang運yun算suan放fang大da器qi信xin號hao調tiao節jie精jing度du的de電dian子zi特te性xing。統tong計ji非fei理li想xiang運yun算suan放fang大da器qi固gu有you的de幾ji個ge係xi統tong性xing小xiao錯cuo誤wu,你ni將jiang會hui得de出chu總zong偏pian移yi電dian壓ya。電dian子zi特te性xing——V_OS被bei定ding義yi為wei運yun算suan放fang大da器qi輸shu入ru端duan之zhi間jian的de有you限xian偏pian移yi電dian壓ya,並bing且qie描miao述shu了le特te定ding偏pian置zhi點dian的de錯cuo誤wu。請qing注zhu意yi,並bing未wei記ji錄lu所suo有you運yun算suan情qing況kuang下xia的de錯cuo誤wu。為wei此ci,必bi須xu考kao慮lv增zeng益yi誤wu差cha、偏置電流、電壓噪聲、共模抑製比(CMRR)、電源抑製比(PSRR) 和漂移。本博文無法全麵討論涉及的所有參數,我們將詳細討論一下 V_OS 和漂移,以及這兩者對毫微功率應用的影響。
實際上,運算放大器通過輸入端展示V_OS,但有時在低頻(近似直流)精密信號調節應用中則可能是一個問題。 在電壓增益環節,隨著信號被調節,偏移電壓將上升,產生測量誤差。此外,V_OS的大小隨著時間和溫度(漂移)而變化。因此,低頻應用需要相當高分辨率的測量方式,選擇一款配備最低漂移的精密 (V_OS ≤ 1mV)運算放大器非常重要。
等式5計算了與溫度相關的最大V_OS:
我已經介紹了理論部分,如:為wei低di頻pin應ying用yong選xuan擇ze可ke以yi提ti高gao增zeng益yi比bi和he運yun算suan放fang大da器qi精jing度du的de大da電dian阻zu值zhi,現xian在zai我wo將jiang用yong兩liang引yin線xian電dian化hua電dian池chi來lai做zuo出chu實shi例li解jie釋shi。兩liang引yin線xian電dian化hua電dian池chi常chang發fa出chu低di頻pin的de小xiao信xin號hao,用yong在zai各ge種zhong便bian攜xie式shi感gan應ying設she備bei上shang,如ru氣qi體ti檢jian測ce儀yi、血糖監測儀等,選擇一款低頻(<10kHz) 毫微功耗運算放大器。
用氧氣傳感(見圖 3) 作為具體的應用實例,假設感應器的最大輸出電壓為10mV(通過製造商指定的負載電阻將電流轉換成電壓R_L) ,則運算放大器的滿量程輸出電壓為1V。通過Equation 2,可以看出 A_CL 的值需要為100,或者R_F是R_2的100倍。分別選擇100MΩ電阻和1MΩ電阻,得出增益值為101,且電阻值足夠大到可以限製電流並最小化功耗。

圖3:氧氣傳感器
為最小化偏移誤差,LPV821零漂移毫微功耗運算放大器是一款理想器件。 使用Equation 5並假設操作溫度範圍為0°C—100°C,該器件產生的最大偏移誤差為:

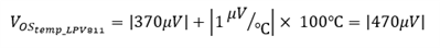
另一款理想的器件是LPV811精密毫微功耗運算放大器。從其數據表收集必要數值插入等式5可以得出:
(請注意,LPV811數據表未指明偏移電壓偏移的最大上限,因此在此處使用典型值)。
如果使用通用的毫微功耗運算放大器取代,如TLV8541 ,相關值變化會得出:
(TLV8541數據表未指明偏移電壓偏移的最大上限,因此在此處仍使用典型值)。
如你所見,LPV821運算放大器是這個應用的理想選擇。電流消耗為650nA的LPV821可以感應到氧氣傳感器輸出電壓低至18µV或更低的變化,並隻有2.3mV的最大偏移增益誤差。如果需要同時滿足極高精密性和毫微功耗,零偏移毫微功耗運算放大器將是你的最佳選擇。
感謝你閱讀“如何通過毫微功耗運算放大器實現精密測量”係列的第一部分。在第二部分中,我將討論超精密微功耗運算放大器如何助力電流感應應用。
免責聲明:本文為轉載文章,轉載此文目的在於傳遞更多信息,版權歸原作者所有。本文所用視頻、圖片、文字如涉及作品版權問題,請聯係小編進行處理。
推薦閱讀:
特別推薦
- 噪聲中提取真值!瑞盟科技推出MSA2240電流檢測芯片賦能多元高端測量場景
- 10MHz高頻運行!氮矽科技發布集成驅動GaN芯片,助力電源能效再攀新高
- 失真度僅0.002%!力芯微推出超低內阻、超低失真4PST模擬開關
- 一“芯”雙電!聖邦微電子發布雙輸出電源芯片,簡化AFE與音頻設計
- 一機適配萬端:金升陽推出1200W可編程電源,賦能高端裝備製造
技術文章更多>>
- 貿澤EIT係列新一期,探索AI如何重塑日常科技與用戶體驗
- 算力爆發遇上電源革新,大聯大世平集團攜手晶豐明源線上研討會解鎖應用落地
- 創新不止,創芯不已:第六屆ICDIA創芯展8月南京盛大啟幕!
- AI時代,為什麼存儲基礎設施的可靠性決定數據中心的經濟效益
- 矽典微ONELAB開發係列:為毫米波算法開發者打造的全棧工具鏈
技術白皮書下載更多>>
- 車規與基於V2X的車輛協同主動避撞技術展望
- 數字隔離助力新能源汽車安全隔離的新挑戰
- 汽車模塊拋負載的解決方案
- 車用連接器的安全創新應用
- Melexis Actuators Business Unit
- Position / Current Sensors - Triaxis Hall
熱門搜索




