詳解電容&電感濾波電路作用原理
發布時間:2018-09-13 責任編輯:lina
【導讀】整流電路的輸出電壓不是純粹的直流,從示波器觀察整流電路的輸出,與直流相差很大,波形中含有較大的脈動成分,稱為紋波。
整zheng流liu電dian路lu的de輸shu出chu電dian壓ya不bu是shi純chun粹cui的de直zhi流liu,從cong示shi波bo器qi觀guan察cha整zheng流liu電dian路lu的de輸shu出chu,與yu直zhi流liu相xiang差cha很hen大da,波bo形xing中zhong含han有you較jiao大da的de脈mai動dong成cheng分fen,稱cheng為wei紋wen波bo。為wei獲huo得de比bi較jiao理li想xiang的de直zhi流liu電dian壓ya,需xu要yao利li用yong具ju有you儲chu能neng作zuo用yong的de電dian抗kang性xing元yuan件jian(如電容、電感)組成的濾波電路來濾除整流電路輸出電壓中的脈動成分以獲得直流電壓。
常用的濾波電路有無源濾波和有源濾波兩大類。無源濾波的主要形式有電容濾波、電感濾波和複式濾波(包括倒L型、LC濾波、LCπ型濾波和RCπ型濾波等)。 有源濾波的主要形式是有源RC濾波,也被稱作電子濾波器。直流電中的脈動成分的大小用脈動係數來表示,此值越大,則濾波器的濾波效果越差。
脈動係數(S)=輸出電壓交流分量的基波最大值/輸出電壓的直流分量
半波整流輸出電壓的脈動係數為S=1.57,全波整流和橋式整流的輸出電壓的脈動係數S≈O.67。對於全波和橋式整流電路采用C型濾波電路後,其脈動係數S=1/(4(RLC/T-1)。(T為整流輸出的直流脈動電壓的周期。)
電阻濾波電路
RC-π型濾波電路,實質上是在電容濾波的基礎上再加一級RC濾波電路組成的。如圖1(B)RC濾波電路。若用S表示C1兩端電壓的脈動係數,則輸出電壓兩端的脈動係數S=(1/ωC2R)S。
由分析可知,電阻R的作用是將殘餘的紋波電壓降落在電阻兩端,最後由C2再旁路掉。在ω值一定的情況下,R愈大,C2愈大,則脈動係數愈小,也就是濾波效果就越好。而R值增大時,電阻上的直流壓降會增大,這樣就增大了直流電源的內部損耗;若增大C2的電容量,又會增大電容器的體積和重量,實現起來也不現實。 這種電路一般用於負載電流比較小的場合。
電感濾波電路
根據電抗性元件對交、直流阻抗的不同,由電容C及電感L所組成的濾波電路的基本形式如圖1所示。因為電容器C對直流開路,對交流阻抗小,所以C並聯在負載兩端。電感器L對直流阻抗小,對交流阻抗大,因此L應與負載串聯。

(A)電容濾波(B)C-R-C或RC-π型電阻濾波脈動係數S=(1/ωC2R'''')S''''

(C)L-C電感濾波(D)π型濾波或叫C-L-C濾波
圖1無源濾波電路的基本形式
並聯的電容器C在(zai)輸(shu)入(ru)電(dian)壓(ya)升(sheng)高(gao)時(shi),給(gei)電(dian)容(rong)器(qi)充(chong)電(dian),可(ke)把(ba)部(bu)分(fen)能(neng)量(liang)存(cun)儲(chu)在(zai)電(dian)容(rong)器(qi)中(zhong)。而(er)當(dang)輸(shu)入(ru)電(dian)壓(ya)降(jiang)低(di)時(shi),電(dian)容(rong)兩(liang)端(duan)電(dian)壓(ya)以(yi)指(zhi)數(shu)規(gui)律(lv)放(fang)電(dian),就(jiu)可(ke)以(yi)把(ba)存(cun)儲(chu)的(de)能(neng)量(liang)釋(shi)放(fang)出(chu)來(lai)。經(jing)過(guo)濾(lv)波(bo)電(dian)路(lu)向(xiang)負(fu)載(zai)放(fang)電(dian),負(fu)載(zai)上(shang)得(de)到(dao)的(de)輸(shu)出(chu)電(dian)壓(ya)就(jiu)比(bi)較(jiao)平(ping)滑(hua),起(qi)到(dao)了(le)平(ping)波(bo)作(zuo)用(yong)。若(ruo)采(cai)用(yong)電(dian)感(gan)濾(lv)波(bo),當(dang)輸(shu)入(ru)電(dian)壓(ya)增(zeng)高(gao)時(shi),與(yu)負(fu)載(zai)串(chuan)聯(lian)的(de)電(dian)感(gan)L中的電流增加,因此電感L將存儲部分磁場能量,當電流減小時,又將能量釋放出來,使負載電流變得平滑,因此,電感L也有平波作用。
利用儲能元件電感器L的(de)電(dian)流(liu)不(bu)能(neng)突(tu)變(bian)的(de)特(te)點(dian),在(zai)整(zheng)流(liu)電(dian)路(lu)的(de)負(fu)載(zai)回(hui)路(lu)中(zhong)串(chuan)聯(lian)一(yi)個(ge)電(dian)感(gan),使(shi)輸(shu)出(chu)電(dian)流(liu)波(bo)形(xing)較(jiao)為(wei)平(ping)滑(hua)。因(yin)為(wei)電(dian)感(gan)對(dui)直(zhi)流(liu)的(de)阻(zu)抗(kang)小(xiao),交(jiao)流(liu)的(de)阻(zu)抗(kang)大(da),因(yin)此(ci)能(neng)夠(gou)得(de)到(dao)較(jiao)好(hao)的(de)濾(lv)波(bo)效(xiao)果(guo)而(er)直(zhi)流(liu)損(sun)失(shi)小(xiao)。電(dian)感(gan)濾(lv)波(bo)缺(que)點(dian)是(shi)體(ti)積(ji)大(da),成本高。
橋式整流電感濾波電路如圖2所示。電感濾波的波形圖如圖2所示。根據電感的特點,當輸出電流發生變化時,L中將感應出一個反電勢,使整流管的導電角增大,其方向將阻止電流發生變化。

圖2電感濾波電路
在橋式整流電路中,當u2正半周時,D1、D3導電,電感中的電流將滯後u2不到90°。當u2超過90°後開始下降,電感上的反電勢有助於D1、D3繼續導電。當u2處於負半周時,D2、D4導電,變壓器副邊電壓全部加到D1、D3兩端,致使D1、D3反偏而截止,此時,電感中的電流將經由D2、D4提供。由於橋式電路的對稱性和電感中電流的連續性,四個二極管D1、D3;D2、D4的導電角θ都是180°,這一點與電容濾波電路不同。

圖3電感濾波電路波形圖
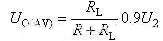
已知橋式整流電路二極管的導通角是180°,整流輸出電壓是半個半個正弦波,其平均值約為。電感濾波電路,二極管的導通角也是180°,當忽略電感器L的電阻時,負載上輸出的電壓平均值也是。如果考慮濾波電感的直流電阻R,則電感濾波電路輸出的電壓平均值為
要注意電感濾波電路的電流必須要足夠大,即RL不能太大,應滿足wL>>RL,此時IO(AV)可用下式計算
由於電感的直流電阻小,交流阻抗很大,因此直流分量經過電感後的損失很小,但是對於交流分量,在wL和上分壓後,很大一部分交流分量降落在電感上,因而降低了輸出電壓中的脈動成分。電感L愈大,RL愈(yu)小(xiao),則(ze)濾(lv)波(bo)效(xiao)果(guo)愈(yu)好(hao),所(suo)以(yi)電(dian)感(gan)濾(lv)波(bo)適(shi)用(yong)於(yu)負(fu)載(zai)電(dian)流(liu)比(bi)較(jiao)大(da)且(qie)變(bian)化(hua)比(bi)較(jiao)大(da)的(de)場(chang)合(he)。采(cai)用(yong)電(dian)感(gan)濾(lv)波(bo)以(yi)後(hou),延(yan)長(chang)了(le)整(zheng)流(liu)管(guan)的(de)導(dao)電(dian)角(jiao),從(cong)而(er)避(bi)免(mian)了(le)過(guo)大(da)的(de)衝(chong)擊(ji)電(dian)流(liu)。
電容濾波原理詳解
1.空載時的情況
當電路采用電容濾波,輸出端空載,如圖4(a)所示,設初始時電容電壓uC為零。接入電源後,當u2在正半周時,通過D1、D3向電容器C充電;當在u2的負半周時,通過D2、D4向電容器C充電,充電時間常數為

(a)電路圖(b)波形圖
圖4空載時橋式整流電容濾波電路
式中包括變壓器副邊繞組的直流電阻和二極管的正向導通電阻。由於一般很小,電容器很快就充到交流電壓u2的最大值,如波形圖2(b)的時刻。此後,u2開始 下降,由於電路輸出端沒接負載,電容器沒有放電回路,所以電容電壓值uC不變,此時,uC>u2,二極管兩端承受反向電壓
,處於截止狀態,電路的輸出電壓,電路輸出維持一個恒定值。實際上電路總要帶一定的負載,有負載的情況如下。
2.帶載時的情況
圖 5給出了電容濾波電路在帶電阻負載後的工作情況。接通交流電源後,二極管導通,整流電源同時向電容充電和向負載提供電流,輸出電壓的波形是正弦形。在時刻,即達到u290°峰值時,u2開始以正弦規律下降,此時二極管是否關斷,取決於二極管承受的是正向電壓還是反向電壓。
先設達到90° 後,二極管關斷,那麼隻有濾波電容以指數規律向負載放電,從而維持一定的負載電流。但是90°後指數規律下降的速率快,而正弦波下降的速率小,所以超過 90°以後有一段時間二極管仍然承受正向電壓,二極管導通。隨著u2的下降,正弦波的下降速率越來越快,uC的下降速率越來越慢。所以在超過90°後的某 一點,例如圖5(b)中的t2時刻,二極管開始承受反向電壓,二極管關斷。此後隻有電容器C向負載以指數規律放電的形式提供電流,直至下一個半周的正弦波來到,u2再次超過uC,如圖5(b)中的t3時刻,二極管重又導電。
以上過程電容器的放電時間常數為
電容濾波一般負載電流較小,可以滿足td較大的條件,所以輸出電壓波形的放電段比較平緩,紋波較小,輸出脈動係數S小,輸出平均電壓UO(AV)大,具有較好的濾波特性。

(a)電路圖(b)波形圖
圖5帶載時橋式整流濾波電路
以上濾波電路都有一個共性,那就是需要很大的電容容量才能滿足要求,這樣一來大容量電容在加電瞬間很有很大的短路電流,這個電流對整流二極管,變壓器衝擊很大,所以現在一般的做法是在整流前加一的功率型NTC熱敏電阻來維持平衡,因NTC熱敏電阻在常溫下電阻很大,加電後隨著溫度升高,電阻阻值迅速減小,這 個電路叫軟起動電路。這種電路缺點是:斷電後,在熱時間常數內,NTC熱敏電阻沒有恢複到零功率電阻值,所以不宜頻繁的開啟。
weishenmezhengliuhoujiashanglvbodianrongzaibudaifuzaishidianyaweiheshenggao?zheshiyinweijiashanglvbocedededianyashihanyoumaidongchengfendefengzhidianya,jiashangfuzaihoujiushipingjunzhi,jisuan:峰值電壓=1.414×理論輸出電壓
有源濾波-電子電路濾波
電阻濾波本身有很多矛盾,電感濾波成本又高,故一般線路常采用有源濾波電路,電路如圖6。它是由C1、R、C2組成的π型RC濾波電路與有源器件晶體管T組 成的射極輸出器連接而成的電路。由圖6可知,流過R的電流IR=IE/(1+β)=IRL/(1+β)。流過電阻R的電流僅為負載電流的1/(1+β). 所以可以采用較大的R,與C2配合以獲得較好的濾波效果,以使C2兩端的電壓的脈動成分減小,輸出電壓和C2兩端的電壓基本相等,因此輸出電壓的脈動成分 也得到了削減。
從RL負載電阻兩端看,基極回路的濾波元件R、C2折合到射極回路,相當於R減小了(1+β)倍,而C2增大了(1+β) 倍。這樣所需的電容C2隻是一般RCπ型濾波器所需電容的1/β,比如晶體管的直流放大係數β=50,如果用一般RCπ型濾波器所需電容容量為 1000μF,如采用電子濾波器,那麼電容隻需要20μF就滿足要求了。采用此電路可以選擇較大的電阻和較小的電容而達到同樣的濾波效果,因此被廣泛地用 於一些小型電子設備的電源之中。

特別推薦
- 噪聲中提取真值!瑞盟科技推出MSA2240電流檢測芯片賦能多元高端測量場景
- 10MHz高頻運行!氮矽科技發布集成驅動GaN芯片,助力電源能效再攀新高
- 失真度僅0.002%!力芯微推出超低內阻、超低失真4PST模擬開關
- 一“芯”雙電!聖邦微電子發布雙輸出電源芯片,簡化AFE與音頻設計
- 一機適配萬端:金升陽推出1200W可編程電源,賦能高端裝備製造
技術文章更多>>
- 築基AI4S:摩爾線程全功能GPU加速中國生命科學自主生態
- 一秒檢測,成本降至萬分之一,光引科技把幾十萬的台式光譜儀“搬”到了手腕上
- AI服務器電源機櫃Power Rack HVDC MW級測試方案
- 突破工藝邊界,奎芯科技LPDDR5X IP矽驗證通過,速率達9600Mbps
- 通過直接、準確、自動測量超低範圍的氯殘留來推動反滲透膜保護
技術白皮書下載更多>>
- 車規與基於V2X的車輛協同主動避撞技術展望
- 數字隔離助力新能源汽車安全隔離的新挑戰
- 汽車模塊拋負載的解決方案
- 車用連接器的安全創新應用
- Melexis Actuators Business Unit
- Position / Current Sensors - Triaxis Hall
熱門搜索
微波功率管
微波開關
微波連接器
微波器件
微波三極管
微波振蕩器
微電機
微調電容
微動開關
微蜂窩
位置傳感器
溫度保險絲
溫度傳感器
溫控開關
溫控可控矽
聞泰
穩壓電源
穩壓二極管
穩壓管
無焊端子
無線充電
無線監控
無源濾波器
五金工具
物聯網
顯示模塊
顯微鏡結構
線圈
線繞電位器
線繞電阻



