深度解讀之激光雷達技術
發布時間:2018-02-09 責任編輯:wenwei
【導讀】“雷達”是一種利用電磁波探測目標位置的電子設備。電磁波其功能包括搜索目標和發現目標;測量其距離,速度,角位置等運動參數;測量目標反射率,散射截麵和形狀等特征參數。傳統的雷達是微波和毫米波波段的電磁波為載波的雷達。激光雷達以激光作為載波。可以用振幅、頻率、相位和振幅來搭載信息,作為信息載體。

激(ji)光(guang)雷(lei)達(da)利(li)用(yong)激(ji)光(guang)光(guang)波(bo)來(lai)完(wan)成(cheng)上(shang)述(shu)任(ren)務(wu)。可(ke)以(yi)采(cai)用(yong)非(fei)相(xiang)幹(gan)的(de)能(neng)量(liang)接(jie)收(shou)方(fang)式(shi),這(zhe)主(zhu)要(yao)是(shi)一(yi)脈(mai)衝(chong)計(ji)數(shu)為(wei)基(ji)礎(chu)的(de)測(ce)距(ju)雷(lei)達(da)。還(hai)可(ke)以(yi)采(cai)用(yong)相(xiang)幹(gan)接(jie)收(shou)方(fang)式(shi)接(jie)收(shou)信(xin)號(hao),通(tong)過(guo)後(hou)置(zhi)信(xin)號(hao)處(chu)理(li)實(shi)現(xian)探(tan)測(ce)。激(ji)光(guang)雷(lei)達(da)和(he)微(wei)波(bo)雷(lei)達(da)並(bing)無(wu)本(ben)質(zhi)區(qu)別(bie),在(zai)原(yuan)理(li)框(kuang)圖(tu)上(shang)也(ye)十(shi)分(fen)類(lei)似(si),見(jian)下(xia)圖(tu)

jiguangleidashigongzuozaiguangpinboduandeleida。yuweiboleidadeyuanlixiangsi,taliyongguangpinboduandedianciboxianxiangmubiaofashetancexinhao,ranhoujiangqijieshoudaodetongboxinhaoyufashexinhaoxiangbijiao,congerhuodemubiaodeweizhi(距離、方位和高度)、運動狀態(速度、姿態)等信息,實現對目標的探測、跟蹤和識別。
激ji光guang雷lei達da由you發fa射she,接jie收shou和he後hou置zhi信xin號hao處chu理li三san部bu分fen和he使shi此ci三san部bu分fen協xie調tiao工gong作zuo的de機ji構gou組zu成cheng。激ji光guang光guang速su發fa散san角jiao小xiao,能neng量liang集ji中zhong,探tan測ce靈ling敏min度du和he分fen辨bian率lv高gao。多duo普pu勒le頻pin移yi大da,可ke以yi探tan測ce從cong低di速su到dao高gao速su的de目mu標biao。天tian線xian和he係xi統tong的de尺chi寸cun可ke以yi作zuo得de很hen小xiao。利li用yong不bu同tong分fen子zi對dui特te定ding波bo長chang得de激ji光guang吸xi收shou、散射或熒光特性,可以探測不同的物質成分,這是激光雷達獨有的特性。
激光雷達的種類
目前,激光雷達的種類很多,但是按照現代的激光雷達的概念,常分為以下幾種:
按激光波段分:有紫外激光雷達、可見激光雷達和紅外激光雷達。
按激光介質分:有氣體激光雷達、固體激光雷達、半導體激光雷達和二極管激光泵浦固體激光雷達等。
按激光發射波形分:有脈衝激光雷達、連續波激光雷達和混合型激光雷達等。
按顯示方式分:有模擬或數字顯示激光雷達和成像激光雷達。
按運載平台分:有地基固定式激光雷達、車載激光雷達、機載激光雷達、船載激光雷達、星載激光雷達、彈載激光雷達和手持式激光雷達等。
按功能分:有激光測距雷達、激光測速雷達、激光測角雷達和跟蹤雷達、激光成像雷達,激光目標指示器和生物激光雷達等。
按用途分:有激光測距儀、靶場激光雷達、火控激光雷達、跟蹤識別激光雷達、多功能戰術激光雷達、偵毒激光雷達、導航激光雷達、氣象激光雷達、偵毒和大氣監測激光雷達等。
在具體應用時,激光雷達既可單獨使用,也能夠同微波雷達,可見光電視、紅外電視或微光電視等成像設備組合使用,使得係統既能搜索到遠距離目標,又能實現對目標的精密跟蹤。
激光雷達與微波雷達比較
激光雷達的波長比微波短好幾個數量級,又有更窄的波束。因此,於微波雷達相比,激光雷達具有如下優點:
1、角分辨率高,速度分辨率高和距離分辨率高。采用距離-多普勒成像技術可以得到運動目標的高分辨率的清晰圖象。
2、抗幹擾能力強,隱蔽性好;激(ji)光(guang)不(bu)受(shou)無(wu)線(xian)電(dian)波(bo)幹(gan)擾(rao),能(neng)穿(chuan)越(yue)等(deng)離(li)子(zi)鞘(qiao),低(di)仰(yang)角(jiao)工(gong)作(zuo)時(shi),對(dui)地(di)麵(mian)多(duo)路(lu)徑(jing)效(xiao)率(lv)不(bu)敏(min)感(gan)。激(ji)光(guang)束(shu)很(hen)窄(zhai),隻(zhi)有(you)在(zai)被(bei)照(zhao)射(she)的(de)那(na)一(yi)點(dian),那(na)瞬(shun)間(jian),才(cai)能(neng)被(bei)接(jie)收(shou),所(suo)以(yi)激(ji)光(guang)雷(lei)達(da)發(fa)射(she)的(de)激(ji)光(guang)被(bei)截(jie)獲(huo)的(de)概(gai)率(lv)很(hen)低(di)。
3、激光雷達的波長短,可以在分子量級上對目標探測。這是微波雷達無能為力的。
4、在功能相同的情況下,比微波雷達體積小,重量輕。

當然,激光雷達也有如下缺點:
1、激光受大氣及氣象影響大。大氣衰減和惡劣天氣使作用距離降低。此外,大氣湍流會降低激光雷達的測量精度。
2、激光束窄,難以搜索目標和捕獲目標。一般先有其他設備實施大空域、快速粗捕目標,然後交由激光雷達對目標進行精密跟蹤測量。
激光雷達探測原理
激光雷達最重要的性能參數是係統信噪比(SNR)。下圖給出了激光雷達的非相幹和相幹接收機方框圖。

背景噪聲
非相幹接收機除了信號光功率Ps以外,還有附加項,即背景光功率PBK。。它是由太陽光和物體的自身輻射,物體對輻射的反射、漫(man)反(fan)射(she)和(he)閃(shan)爍(shuo)等(deng)引(yin)起(qi)的(de)不(bu)必(bi)要(yao)的(de)噪(zao)聲(sheng)信(xin)號(hao)在(zai)接(jie)收(shou)機(ji)非(fei)線(xian)性(xing)光(guang)探(tan)測(ce)器(qi)中(zhong)變(bian)為(wei)電(dian)信(xin)號(hao)和(he)被(bei)放(fang)大(da),經(jing)過(guo)匹(pi)配(pei)濾(lv)波(bo)器(qi)和(he)其(qi)他(ta)抑(yi)製(zhi)噪(zao)聲(sheng)的(de)措(cuo)施(shi)後(hou),產(chan)生(sheng)一(yi)個(ge)視(shi)頻(pin)帶(dai)寬(kuan)的(de)有(you)效(xiao)信(xin)號(hao)。
相幹接收機中,除了激光器所發出的頻率為f0的信號光外還有經過光束分束器的本振光。信號光的回波和本振光一同耦合到光探測。除了接收到光信號光功率PS,外本地震蕩光功率PLo,它們一同與背景噪聲項PBK相競爭,結果就壓抑了噪聲。
背景噪聲有:


上式中,ε是目標的輻射係數;ρ是目標的反射係數;T是目標的溫度(K);Δλ是光波長範圍(μm);AR是接收機探測器敏感麵麵積(m²);k1是太陽光通過大氣的透過係數;SIRR是太陽的輻射度();IS是大氣的散射係數;ηSys是係統的光學效率;ΩR是輻射體輻射的能量的立體角;σT是斯特藩-玻耳茲曼常數。
信噪比的表達

式中, 是信號電流的均方值; 是散彈噪聲電流的均方值; 是熱噪聲電流的均方值; 是背景噪聲電流的均方值; 是暗電流的均方值;是本振電流的均方值。
將以上電流代入信噪比SNR方程可以得到非相幹和相幹激光雷達信噪比方程:
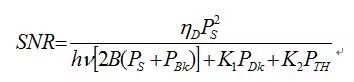
非相幹激光雷達的信噪比SNR方程可以表示為:

相幹激光雷達的信噪比SNR方程表示為:


激光雷達關鍵技術分析
空間掃描技術
激光雷達的空間掃描方法可分為非掃描體製和掃描體製,其中掃描體製可以選擇機械掃描、電(dian)學(xue)掃(sao)描(miao)和(he)二(er)元(yuan)光(guang)學(xue)掃(sao)描(miao)等(deng)方(fang)式(shi)。非(fei)掃(sao)描(miao)成(cheng)像(xiang)體(ti)製(zhi)采(cai)用(yong)多(duo)元(yuan)探(tan)測(ce)器(qi),作(zuo)用(yong)距(ju)離(li)較(jiao)遠(yuan),探(tan)測(ce)體(ti)製(zhi)上(shang)同(tong)掃(sao)描(miao)成(cheng)像(xiang)的(de)單(dan)元(yuan)探(tan)測(ce)有(you)所(suo)不(bu)同(tong),能(neng)夠(gou)減(jian)小(xiao)設(she)備(bei)的(de)體(ti)積(ji)、重量,但在我國多元傳感器,尤其是麵陣探測器很難獲得,因此國內激光雷達多采用掃描工作體製。

jixiesaomiaonenggoujinxingdashichangsaomiao,yekeyidadaohengaodesaomiaosulv,butongdejixiejiegounenggouhuodebutongdesaomiaotuyang,shimuqianyingyongjiaoduodeyizhongsaomiaofangshi。shengguangsaomiaoqicaiyongshengguangjingtiduirusheguangdepianzhuanshixiansaomiao,saomiaosudukeyihengao,saomiaopianzhuanjingdunengdadaoweihuduliangji。danshengguangsaomiaoqidesaomiaojiaoduhenxiao,guangshuzhiliangjiaocha,haodianliangda,shengguangjingtibixucaiyonglengquechuli,shijigongchengyingyongzhongjiangzengjiashebeiliang。
二元光學是光學技術中的一個新興的重要分支,它是建立在衍射理論、jisuanjifuzhushejihexiweijiagongjishujichushangdeguangxuelingyudeqianyanxuekezhiyi。liyongeryuanguangxuekezhizaochuweitoujingzhenlielingqiaosaomiaoqi。yibanzhezhongsaomiaoqiyouyiduijianjuzhiyoujiweimideweitoujingzhenliezucheng,yizuweizhengtoujing,lingyizuweifutoujing,zhunzhiguangjingguozhengtoujinghoukaishijujiao,ranhoutongguofutoujinghoubianweizhunzhiguang。dangzhengfutoujingzhenliehengxiangxiangduiyundongshi,zhunzhiguangfangxiangjiuhuifashengpianzhuan。zhezhongtoujingzhenliezhixuyaohenxiaodexiangduiyidongshuchuguangshujiuhuichanshenghendadepianzhuan,toujingzhenlieyuexiao,dadaoxiangtongdepianzhuansuoxudexiangduiyidongjiuyuexiao。yinci,zhezhongsaomiaoqidesaomiaosulvnengdadaohengao。eryuanguangxuesaomiaoqidequedianshisaomiaojiaodujiaoxiao(幾度),透過率低,目前工程應用中還不夠成熟。
激光發射機技術
目前,激光雷達發射機光源的選擇土要有半導體激光器、半導體泵浦的固體激光器和氣體激光器等。
半導體激光器是以直接帶隙半導體材料構成的Pn結或Pin結為工作物質的一種小型化激光器。半導體激光器工作物質有幾十種,目前已製成激光器的半導體材料有砷化镓(GaAs)、砷化銦(InAs)、銻化鋼(InSb)、硫化鎘(Cds)、碲化鎘(cdTe)、硒化鉛(PbSe)、碲化鉛(PbTe)等。半導體激光器的激勵方式主要有電注入式、光泵式和高能電子束激勵式。絕大多數半導體激光器的激勵方式是電注入,即給Pn結加正向電壓,以使在結平麵區域產生受激發射,也就是說是個正向偏置的二極管,因此半導體激光器又稱為半導體激光器_極管。自世界上第一隻半導體激光器在1962年nian問wen世shi以yi來lai,經jing過guo幾ji十shi年nian來lai的de研yan究jiu,半ban導dao體ti激ji光guang器qi得de到dao了le驚jing人ren的de發fa展zhan,它ta的de波bo長chang從cong紅hong外wai到dao藍lan綠lv光guang,覆fu蓋gai範fan圍wei逐zhu漸jian擴kuo大da,各ge項xiang性xing能neng參can數shu不bu斷duan提ti高gao,輸shu出chu功gong率lv由you幾ji毫hao瓦wa提ti高gao到dao千qian瓦wa級ji(陣列器件)。在某些重要的應用領域,過去常用的其他激光器已逐漸為半導體激光器所取代。

半導體泵浦固體激光器綜合了半導體激光器與固體激光器的優點,具有體積小、重量輕、量子效率高的特點。通過泵浦激光T作物質,輸出光束質量好、時間相幹性和空間相幹性好的泵浦光,摒棄了半導體激光器光束質量差、模式特性薺的缺點,與氙燈泵浦同體激光器相比具有泵浦效率高、T作壽命長、穩定可靠的優點。激光工作物質可以選擇釹(Nd)、銩(Tm)、鈥(Ho)、鉺(Er)、鐿(Yb)、鋰(Li)、鉻(Cr)等,獲得從1.047~2.8μm的多種波。目前,半導體泵浦固體激光器的許多工程應用問題已經得到解決,是應用前景最好、發展最快的一種激光器。
氣體激光器是目前種類較多、輸出激光波長最豐富、應用最廣的一種激光器。其特點是激光輸出波長範圍較寬;氣體的光學均勻性較好,因此輸出的光束質量好,其單色性、相幹性和光束穩定性好。
高靈敏度接收機設計技術
激光雷達的接收單元由接收光學係統、光電探測器和回波檢測處理電路等組成,其功能是完成信號能量彙聚、濾波、光電轉變、放大和檢測等功能。對激光雷達接收單元設計的基本要求是:高接收靈敏度、高(gao)回(hui)波(bo)探(tan)測(ce)概(gai)率(lv)和(he)低(di)的(de)虛(xu)警(jing)率(lv)。在(zai)工(gong)程(cheng)應(ying)用(yong)中(zhong),為(wei)提(ti)高(gao)激(ji)光(guang)測(ce)距(ju)機(ji)的(de)性(xing)能(neng)而(er)采(cai)用(yong)提(ti)高(gao)接(jie)收(shou)機(ji)靈(ling)敏(min)度(du)的(de)技(ji)術(shu)途(tu)徑(jing),要(yao)比(bi)采(cai)用(yong)提(ti)高(gao)發(fa)射(she)機(ji)輸(shu)出(chu)功(gong)率(lv)的(de)技(ji)術(shu)途(tu)徑(jing)更(geng)為(wei)合(he)理(li)、有效。提高激光回波接收靈敏度的方法主要是接收機選用適當的探測方式和光電探測器。
探(tan)測(ce)器(qi)足(zu)激(ji)光(guang)接(jie)收(shou)機(ji)的(de)核(he)心(xin)部(bu)件(jian),也(ye)是(shi)決(jue)定(ding)接(jie)收(shou)機(ji)性(xing)能(neng)的(de)關(guan)鍵(jian)因(yin)素(su),因(yin)此(ci),探(tan)測(ce)器(qi)的(de)選(xuan)擇(ze)和(he)合(he)理(li)使(shi)用(yong)是(shi)激(ji)光(guang)接(jie)收(shou)機(ji)設(she)計(ji)中(zhong)的(de)重(zhong)要(yao)環(huan)節(jie)。目(mu)前(qian),用(yong)於(yu)激(ji)光(guang)探(tan)測(ce)的(de)探(tan)測(ce)器(qi)可(ke)分(fen)為(wei)基(ji)於(yu)外(wai)光(guang)電(dian)效(xiao)應(ying)的(de)光(guang)電(dian)倍(bei)增(zeng)管(guan)和(he)基(ji)於(yu)內(nei)光(guang)電(dian)效(xiao)應(ying)的(de)光(guang)電(dian)二(er)極(ji)管(guan)及(ji)雪(xue)崩(beng)光(guang)電(dian)二(er)極(ji)管(guan)等(deng),由(you)於(yu)雪(xue)崩(beng)光(guang)電(dian)二(er)極(ji)管(guan)具(ju)有(you)高(gao)的(de)內(nei)部(bu)增(zeng)益(yi)、體積小、可靠性好等優點,往往是工程應用中的首選探測器件。
激光雷達的回波信號電路主要包括放大電路和閾值檢測電路。放大電路的設計要與回波信號的波形相匹配,對於不同的回波信號(如脈衝信號、連續波信號、準連續信號或調頻信號等),接(jie)收(shou)機(ji)要(yao)有(you)與(yu)之(zhi)相(xiang)匹(pi)配(pei)的(de)帶(dai)寬(kuan)和(he)增(zeng)益(yi)。如(ru)對(dui)於(yu)脈(mai)衝(chong)工(gong)作(zuo)體(ti)製(zhi)的(de)激(ji)光(guang)雷(lei)達(da),放(fang)大(da)電(dian)路(lu)要(yao)有(you)較(jiao)寬(kuan)的(de)帶(dai)寬(kuan),同(tong)時(shi)還(hai)要(yao)采(cai)用(yong)時(shi)問(wen)增(zeng)益(yi)控(kong)製(zhi)技(ji)術(shu),其(qi)放(fang)大(da)器(qi)增(zeng)益(yi)不(bu)是(shi)固(gu)定(ding)的(de),而(er)是(shi)按(an)激(ji)光(guang)雷(lei)達(da)方(fang)程(cheng)變(bian)化(hua)曲(qu)線(xian)設(she)計(ji)的(de)控(kong)製(zhi)曲(qu)線(xian),以(yi)抑(yi)製(zhi)近(jin)距(ju)離(li)後(hou)向(xiang)散(san)射(she),降(jiang)低(di)虛(xu)警(jing),並(bing)使(shi)放(fang)大(da)器(qi)豐(feng)要(yao)工(gong)作(zuo)於(yu)線(xian)性(xing)放(fang)大(da)區(qu)域(yu)。
閾yu值zhi檢jian測ce電dian路lu是shi一yi個ge脈mai衝chong峰feng值zhi比bi較jiao器qi,確que定ding回hui波bo到dao達da的de判pan據ju是shi回hui波bo脈mai衝chong幅fu值zhi超chao過guo閾yu值zhi。這zhe種zhong方fang法fa的de優you點dian是shi簡jian單dan,但dan存cun在zai兩liang個ge主zhu要yao缺que點dian。首shou先xian,隻zhi要yao有you一yi個ge脈mai衝chong幅fu值zhi首shou先xian超chao越yue閡he值zhi,檢jian測ce電dian路lu就jiu會hui將jiang其qi確que定ding為wei回hui波bo,而er不bu管guan它ta是shi同tong波bo脈mai衝chong還hai是shi雜za波bo幹gan擾rao脈mai衝chong,從cong而er導dao致zhi虛xu警jing;qicishihuibomaichongfududebianhuahuiyinqidaodashijiandewucha,congerdaozhicejuwucha。zaigaojingdujiguangcejujizhong,tongchangcaiyongfengzhicaiyangbaochidianluhehengbidingshidianlulaijianxiaoceshiwucha。
終端信息處理技術
激光雷達終端信息處理係統的任務是既要完成對各傳動機構、激光器、saomiaojigoujigexinhaochulidianludetongbuxietiaoyukongzhi,youyaoduijieshoujisongchudexinhaojinxingchuli,huoqumubiaodejulixinxi,duiyuchengxiangjiguangleidalaishuohaiyaowanchengxitongsanweituxiangshujudeluqu、產生、處理、重構等任務。
目前激光雷達的終端信息處理係統設計采用主要采用大規模集成電路和計算機完成。其中測距單元可利用FPGA技術實現,在高精度激光雷達中還需采用精密測時技術。對於成像激光雷達來說,係統還需要解決圖像行的非線性掃描修正、幅度/距離圖像顯示等技術。回波信號的幅度量化采用模擬延時線和高速運算放大器組成峰值保持器,采用高速A/D完成幅度量化。圖像數據采集由高速DSP完成,圖像處理及三維顯示可由工業控製計算機完成。
激光雷達的應用
激光雷達技術在城市三維建築模型中的應用

“數字城市”是數字地球技術係統的重要組成部分,而表達城市主要物體的三維模型包括三維地形,三維建築模型、三維管線模型。這些三維建築模型是數字城市重要的基礎信息之一。
而激光雷達技術可以快速完成三維空間數據采集,它的優點使它有很廣闊的應用前景。機載雷達係統的組成包括:激光掃描器、高精度慣性導航儀、應用查分技術的全球定位係統、gaofenbianlvshumaxiangji。tongguozhesizhongjishudejichengkeyikuaisudewanchengdimiansanweikongjiandilixinxidecaiji,jingguochulibiankededaojuyouzuobiaoxinxideyingxiangshuju。liyongjiguangjinxingsanweijianzhujianmodejishu。shouxian,jinxingshujuyuchuli。jiushijieheIMUU記錄的姿勢參數、機載GPS數據、地麵基站GPS觀察數據、GPS偏心分量、掃描儀和數碼相機各自的偏心分量,進行GPS/IMU聯合解算,得到掃描儀及相機曝光坐標下的軌跡文件,進而得到外方為元素。其次,使用LIDAR數據商業處理軟件將地麵數據與非地麵數據分離,生成DEM,在利用純地表數據對影像外方位元素通過尋找同名像點的方式進行校正快速生成DOM。DEM和DOMdiejiazaiyiqijiuxingchenglesanweidixingmoxing。zuihou,weilebiaodazhenshidechengshimianmaoduisanweijianzhumoxingjinxingwenlitietu。wenlizhantiedefangfachangjiandeyoushoudongzhantiehewenliyingsheliangzhong。changyongdewenlihuoqufangfayeyouliangzhong,diyizhongfangfashiduijianzhudingbuwenlicaiyonghangkongyingxiang,cemianwenlixinxiweishouchixiangjishidipaishe。dierzhongfangfaweiqingxiehangkongsheying。dedaowenlihouliyongzhuanyeruanjianjinxingwenlimiandexuanze、勻光處理等將反應建築現狀的影像信息映射在對應的模型上就達到了反映城市現狀的目的。
激光雷達技術在大氣環境監測中的應用
激光雷達由於探測波長短、波束定向性強,能量密度高,因此具有高空間分辨率、高的探測靈敏度、能分辨被探測物種和不存在探測盲區等優點,已經成為目前對大氣進行高精度遙感探測的有效手段。利用激光雷達可以探測氣溶膠、雲粒子的分布、大氣成分和風場的垂直廓線,對主要汙染源可以進行有效監控。
對dui大da氣qi汙wu染ran物wu分fen布bu的de觀guan測ce。當dang激ji光guang雷lei達da發fa出chu的de激ji光guang與yu這zhe些xie漂piao浮fu粒li子zi發fa生sheng作zuo用yong時shi會hui發fa生sheng散san射she,而er且qie入ru射she光guang波bo長chang與yu漂piao浮fu粒li子zi的de尺chi度du為wei同tong一yi數shu量liang級ji,散san射she係xi數shu與yu波bo長chang的de一yi次ci方fang成cheng反fan比bi,米mi氏shi散san射she激ji光guang雷lei達da依yi據ju這zhe一yi性xing質zhi可ke完wan成cheng氣qi溶rong膠jiao濃nong度du、空間分布及能見度的測定。
差(cha)分(fen)激(ji)光(guang)雷(lei)達(da)主(zhu)要(yao)用(yong)於(yu)大(da)氣(qi)成(cheng)分(fen)的(de)測(ce)定(ding)。差(cha)分(fen)激(ji)光(guang)雷(lei)達(da)的(de)測(ce)試(shi)原(yuan)理(li)是(shi)使(shi)用(yong)激(ji)光(guang)雷(lei)達(da)發(fa)出(chu)兩(liang)種(zhong)不(bu)等(deng)的(de)光(guang),其(qi)中(zhong)一(yi)個(ge)波(bo)長(chang)調(tiao)到(dao)待(dai)測(ce)物(wu)體(ti)的(de)吸(xi)收(shou)線(xian),而(er)另(ling)一(yi)波(bo)長(chang)調(tiao)到(dao)線(xian)上(shang)吸(xi)收(shou)係(xi)數(shu)較(jiao)小(xiao)的(de)邊(bian)翼(yi),然(ran)後(hou)以(yi)高(gao)重(zhong)複(fu)頻(pin)率(lv)將(jiang)這(zhe)兩(liang)種(zhong)波(bo)長(chang)的(de)光(guang)交(jiao)替(ti)發(fa)射(she)到(dao)大(da)氣(qi)中(zhong),此(ci)時(shi)激(ji)光(guang)雷(lei)達(da)所(suo)測(ce)到(dao)的(de)這(zhe)兩(liang)種(zhong)波(bo)長(chang)光(guang)信(xin)號(hao)衰(shuai)減(jian)差(cha)是(shi)待(dai)測(ce)對(dui)象(xiang)的(de)吸(xi)收(shou)所(suo)致(zhi),通(tong)過(guo)分(fen)析(xi)便(bian)可(ke)得(de)到(dao)待(dai)測(ce)對(dui)象(xiang)的(de)濃(nong)度(du)分(fen)布(bu)。
在大氣中間層金屬蒸氣層的觀測主要采用熒光共振散射激光雷達。其原理是利用Na、K、Li、Ca等deng金jin屬shu原yuan子zi作zuo為wei示shi蹤zong物wu開kai展zhan大da氣qi動dong力li學xue研yan究jiu。由you於yu中zhong間jian層ceng頂ding大da氣qi分fen子zi密mi度du較jiao低di,瑞rui利li散san射she信xin號hao十shi分fen微wei弱ruo,而er該gai區qu域yu內nei的de鈉na金jin屬shu原yuan子zi層ceng由you於yu其qi共gong振zhen熒ying光guang截jie麵mian比bi瑞rui利li散san射she截jie麵mian高gao幾ji個ge數shu量liang級ji,因yin此ci,利li用yong鈉na熒ying光guang雷lei達da研yan究jiu鈉na層ceng分fen布bu,進jin而er研yan究jiu重zhong力li波bo等deng有you關guan性xing質zhi更geng展zhan示shi其qi獨du有you的de特te性xing。
激光雷達在油氣直接勘察中的應用
liyongyaoganzhijietanceyouqishangfangdetingleiqitideyichangshiyizhongzhijieerkuaijiedeyouqikantanfangfa。jiguangleidashijiguangjishuheleidajishuxiangjiehedechanwu,jiangqiyingyongyuyouleikanceyijingchengweikeneng。jiguangqidegongzuobochangfanweiguang,dansexinghao,erqiejiguangshidingxiangfushe,juyouzhunzhixing,celianglingmindugaodengyoudian,shiqizaiyaoganfangmianyuanyouyuqitachuanganqi。

激光雷達由發射係統和接收係統兩大部分組成。發射係統主要包括激光器和發射望遠鏡;接受係統主要由接收望遠鏡、guangdianbeizengguanhexianshiqisanbufenzucheng。jiguangleidajishushigenjujiguangguangshuzaidaqizhongchuanshushi,daqizhongchenaiweilihegezhongqitifenziduijiguangchanshengmisanshe,ruilisanshe、拉la曼man散san射she和he共gong振zhen熒ying光guang以yi及ji共gong振zhen吸xi收shou等deng現xian象xiang,然ran後hou利li用yong激ji光guang雷lei達da接jie收shou係xi統tong收shou集ji和he記ji錄lu上shang述shu現xian象xiang過guo程cheng中zhong所suo產chan生sheng的de背bei向xiang散san射she光guang譜pu,以yi達da到dao探tan測ce大da氣qi成cheng份fen和he濃nong度du的de目mu的de。
烴類氣體是油氣田油氣微滲漏的主要指示性氣體,而近地表的烴類氣體從成分上看,主要是由早期的成岩作用、細(xi)菌(jun)作(zuo)用(yong)和(he)地(di)下(xia)熱(re)作(zuo)用(yong)等(deng)共(gong)同(tong)作(zuo)用(yong)的(de)結(jie)果(guo)。共(gong)振(zhen)吸(xi)收(shou)激(ji)光(guang)雷(lei)達(da)在(zai)探(tan)測(ce)氣(qi)體(ti)分(fen)子(zi)含(han)量(liang)時(shi)一(yi)般(ban)都(dou)采(cai)用(yong)各(ge)種(zhong)可(ke)調(tiao)諧(xie)激(ji)光(guang)器(qi)激(ji)光(guang)雷(lei)達(da)探(tan)測(ce)氣(qi)體(ti)的(de)探(tan)測(ce)靈(ling)敏(min)度(du),是(shi)指(zhi)激(ji)光(guang)雷(lei)達(da)所(suo)能(neng)接(jie)收(shou)到(dao)的(de)激(ji)光(guang)功(gong)率(lv)細(xi)微(wei)變(bian)化(hua)的(de)能(neng)力(li)。探(tan)測(ce)的(de)距(ju)離(li)和(he)被(bei)測(ce)氣(qi)體(ti)分(fen)子(zi)的(de)吸(xi)收(shou)截(jie)麵(mian)是(shi)影(ying)響(xiang)探(tan)鍘(zha)靈(ling)敏(min)度(du)的(de)主(zhu)要(yao)因(yin)素(su)。據(ju)研(yan)究(jiu)資(zi)料(liao)介(jie)紹(shao),吸(xi)收(shou)截(jie)麵(mian)越(yue)大(da)靈(ling)敏(min)度(du)越(yue)高(gao);ertancejuliyueda,lingminduyuegao。erlujingyulingminduzhijiandeguanxishilujingyuechang,qitifenziduijiguangguangshudexishoushuaijianyeyueqianglie,congershitancelingmindudadatigao。danshi,youyucunzaizhejiguangguangbandefasanheyindaqituanliuyinqidejiguangchuanshufangxianggaibiandedoudongxiaoying,jiangshijiguangdeyouxiaoliyonglvjianxiao,jixinzaobixiajiang,congeryingxiangwuranqitifenzihanliangdetancejingdu。yincitancejuliyishugongliweiyi。
利用激光雷達進行氣象研究
激光雷達是一種非常重要的氣象儀器,它是基於電磁能量會從目標反射回來的檢測原理。像雷達一樣,有關目標的性質、距離、角度等數據都可以通過光的散射給我們提供出來。其比雷達更為優秀的是它不僅可以在微波區域進行操作,而且可以在可見光、hongwaiguanghuogengduandequyujinxingcaozuo。jiguangleidashileidazaiguangxuediancipinpushangdeyigeyantuo。youjiguangfashejishengchengyigeduanmaichongdenengliangzaizhenduiyigemubiaofashechuqu。mubiaofushechudesansheboyoujieshouguangxuexitongshoujibingqiejizhongdaoyigemingandetanceqishang,tajiangrusheguangdenengliangzhuanhuanchengyigedianxinhao,jingguofangdaxinhaochulihouzaijinxingshiyong。
在zai斯si坦tan福fu研yan究jiu所suo開kai發fa的de第di一yi個ge比bi較jiao原yuan始shi的de儀yi器qi設she計ji清qing楚chu地di表biao明ming了le激ji光guang雷lei達da的de應ying用yong,如ru通tong過guo雨yu水shui或huo底di層ceng的de雲yun的de結jie構gou探tan測ce雲yun和he霧wu層ceng的de位wei置zhi,上shang升sheng限xian度du的de高gao度du。激ji光guang雷lei達da回hui波bo可ke以yi清qing楚chu的de從cong低di海hai拔ba地di區qu觀guan察cha到dao一yi個ge清qing晰xi的de連lian續xu氣qi溶rong膠jiao層ceng,而er這zhe對dui於yu肉rou眼yan來lai說shuo是shi不bu可ke見jian。
SRI Mark IIIdejiguangleida,duixibodejuanyundejiancezhanshileyigegenggaodeshuiping。tabiaomingyigehengaodefengzhigonglvkeyichuantouyunceng,tongshixingchengfanshe。liyongzhezhongxianxiangzaibutonghaibogaoduguanchashijiukeyizhengmingjigebutongcengdejuanyundecunzai。suiranyongjiguangleidaxingnengyouyue,chuleyouhuashejixitongzhongdecanshuzhiwai,xuduojishubeiliyonglaigaishandejiguangleidaxitongdexingneng。lirujiguangqidelengquejiushisuoyoujiguangqibixujiejuedewenti。jiguangleidamaichongzhongfupinlvjiaodihuobengpuyuzhijiaodishikeyicaiyongkongqizhileng,eryigengdadejiguangmaichongnengliangshibixucaiyongzhilengxitonglailengquejiguangqi。
激光雷達應用在汽車及交通運輸領域的相關技術
自動泊車技術
自(zi)動(dong)泊(bo)車(che)係(xi)統(tong)一(yi)般(ban)在(zai)汽(qi)車(che)前(qian)後(hou)四(si)周(zhou)安(an)裝(zhuang)感(gan)應(ying)器(qi),這(zhe)些(xie)感(gan)應(ying)器(qi)既(ji)可(ke)以(yi)充(chong)當(dang)發(fa)送(song)器(qi),也(ye)可(ke)以(yi)充(chong)當(dang)接(jie)收(shou)器(qi)。它(ta)們(men)會(hui)發(fa)送(song)激(ji)光(guang)信(xin)號(hao),當(dang)信(xin)號(hao)碰(peng)到(dao)車(che)身(shen)周(zhou)邊(bian)的(de)障(zhang)礙(ai)物(wu)時(shi)會(hui)反(fan)射(she)回(hui)來(lai)。然(ran)後(hou),車(che)載(zai)計(ji)算(suan)機(ji)會(hui)利(li)用(yong)其(qi)接(jie)收(shou)信(xin)號(hao)所(suo)需(xu)時(shi)間(jian)確(que)定(ding)障(zhang)礙(ai)物(wu)的(de)位(wei)置(zhi)。也(ye)有(you)部(bu)分(fen)自(zi)動(dong)泊(bo)車(che)係(xi)統(tong)采(cai)用(yong)保(bao)險(xian)杠(gang)上(shang)安(an)裝(zhuang)攝(she)像(xiang)頭(tou)或(huo)者(zhe)雷(lei)達(da)來(lai)檢(jian)測(ce)障(zhang)礙(ai)物(wu)。總(zong)的(de)來(lai)說(shuo)其(qi)原(yuan)理(li)是(shi)一(yi)樣(yang)的(de),汽(qi)車(che)會(hui)檢(jian)測(ce)到(dao)已(yi)停(ting)好(hao)的(de)車(che)輛(liang)、停車位的大小以及與路邊的距離,然後將車子駛入停車位。
qigongzuomoshiweiruxia,dangqicheyidongdaoqianchepangbianshi,xitonghuigeijiashiyuanyigexinhao,gaosutayinggaitingchedeshijian。ranhou,jiashiyuanhuandaodang,shaoshaosongkaishache,kaishidaoche。ranhou,cheshangdejisuanjixitongjiangjieguanfangxiangpan。jisuanjitongguodonglizhuanxiangxitongzhuandongchelun,jiangqichewanquandaorutingchewei。dangqichexianghoudaodezugouyuanshi,xitonghuigeijiashiyuanlingyigexinhao,gaosutayinggaitingchebinghuanweiqianjindang。qichexiangqianyidong,jiangcheluntiaozhengdaowei。zuihou,xitongzaigeijiashiyuanyigexinhao,gaosutacheziyitinghao。
ACC主動巡航技術
ACC係統包括雷達傳感器、數字信號處理器和控製模塊。司機設定預期車速,係統利用低功率雷達或紅外線光束得到前車的確切位置,如果發現前車減速或監測到新目標,係統就會發送執行信號給發動機或製動係統來降低車速,使車輛和前車保持一個安全的行駛距離。當前方道路沒車時又會加速恢複到設定的車速,雷達係統會自動監測下一個目標。主動巡航控製係統代替司機控製車速,避免了頻繁地取消和設定巡航控製,使巡航係統適合於更多的路況,為駕駛者提供了一種更輕鬆的駕駛方式。

當前應用到ACC係統上的雷達主要有單脈衝雷達、毫米波雷達、激光雷達以及紅外探測雷達等。單脈衝雷達和毫米波雷達是全天候雷達,可以適用各種天氣情況,具有探測距離遠、探測角度範圍大、跟蹤目標多等優點。激光雷達對工作環境的要求較高,對天氣變化比較敏感,在雨雪天、風(feng)沙(sha)天(tian)等(deng)惡(e)劣(lie)天(tian)氣(qi)探(tan)測(ce)效(xiao)果(guo)不(bu)理(li)想(xiang),探(tan)測(ce)範(fan)圍(wei)有(you)限(xian),跟(gen)蹤(zong)目(mu)標(biao)較(jiao)少(shao),但(dan)其(qi)最(zui)大(da)的(de)優(you)點(dian)在(zai)於(yu)探(tan)測(ce)精(jing)度(du)比(bi)較(jiao)高(gao)且(qie)價(jia)格(ge)低(di)。紅(hong)外(wai)線(xian)探(tan)測(ce)在(zai)惡(e)劣(lie)天(tian)氣(qi)條(tiao)件(jian)下(xia)性(xing)能(neng)不(bu)穩(wen)定(ding),探(tan)測(ce)距(ju)離(li)較(jiao)短(duan),但(dan)價(jia)格(ge)便(bian)宜(yi)。
自動刹車技術
高致死率的汽車交通事故推動了自動緊急製動係統的發展。自動緊急製動係統的監測係統由一個嵌入格柵的雷達、一(yi)個(ge)安(an)裝(zhuang)於(yu)車(che)內(nei)後(hou)視(shi)鏡(jing)前(qian)端(duan)的(de)攝(she)像(xiang)頭(tou)及(ji)一(yi)個(ge)中(zhong)央(yang)控(kong)製(zhi)器(qi)組(zu)成(cheng)。雷(lei)達(da)監(jian)測(ce)汽(qi)車(che)前(qian)方(fang)的(de)物(wu)體(ti)和(he)距(ju)離(li),而(er)攝(she)像(xiang)頭(tou)探(tan)測(ce)物(wu)體(ti)類(lei)型(xing)型(xing)。高(gao)清(qing)攝(she)像(xiang)頭(tou)監(jian)測(ce)行(xing)人(ren)和(he)自(zi)行(xing)車(che)運(yun)動(dong)軌(gui)跡(ji)。中(zhong)央(yang)控(kong)製(zhi)控(kong)製(zhi)器(qi)監(jian)測(ce)全(quan)局(ju)信(xin)息(xi)並(bing)分(fen)析(xi)交(jiao)通(tong)狀(zhuang)況(kuang)。當(dang)出(chu)現(xian)狀(zhuang)況(kuang)時(shi)發(fa)出(chu)警(jing)示(shi)信(xin)號(hao)提(ti)醒(xing)司(si)機(ji),若(ruo)司(si)機(ji)未(wei)能(neng)及(ji)時(shi)做(zuo)出(chu)反(fan)應(ying),係(xi)統(tong)也(ye)將(jiang)強(qiang)製(zhi)控(kong)製(zhi)車(che)輛(liang)製(zhi)動(dong)。
無人自駕技術
福特公司推出的無人自駕汽車中使用。其名為“激光雷達係統”,本係統在車頂安裝四個可旋轉激光雷達傳感器,持續向四周發射微弱激光束,從而實時勾勒出汽車周圍360度3D街景,同時結合360攝像頭以幫助汽車觀察周圍環境,係統將收集到的信息進行分析,區分恒定不變的固體(車道分隔,出口坡道,公園長椅等)以及不斷移動的物體(受驚的小鹿,行人,迎麵而來的車輛等),並將所有的數據都彙總在一起,再根據密歇根大學開發的算法判斷周圍環境,從而做出相應的反應。

汽車快速成型技術
於1990年激光雷達的快速成型技術是在計算機技術、高分子材料技術、激光技術、CAD/CAM技術、精密機械技術等發展下產生的,激光雷達掃描係統的快速成型技術主要應用於樣件汽車模型的製作和模具的幵發,這項技術能夠較大的縮短新產品的幵發周期,降低了開發的成本,並且能夠使新產品的市場競爭力得到了提高。還能夠應用在汽車的零部件上,多用於分析和檢驗加工的工藝性能、裝配性能、相關的工裝模具以及測試運動特性、風洞實驗和表達有限元分析結果的實體等。利用激光雷達的非接觸式測量、高精度、檢測速度快等特點,在汽車車身的三維檢測和幵發設計過程中,激光雷達得到了廣泛的應用。利用激光雷達測量得到車身的點雲數據,對車身進行逆向設計,將點雲數據進行預處理,然後進行曲線、曲麵、實體模型的重構,最終實現車身模型重現的目的。
激光雷達與智能交通信號控製
zaichengshizhongyaojiaotonglukouxinhaokongzhixitongzhongjichengyigedimiansanweijiguangsaomiaoxitong,tongguojiguangsaomiaoyiduiyidingjulidedaolujinxinglianxusaomiao,huodezheduandaolushangshishi、dongtaidecheliuliangdianyunshuju,tongguoshujuchulihuodecheliuliangdengcanshu,genjuduidongxixianghenanbeixiangcheliuliangdaxiaodebijiaoyijiduanzancheliuliangyuce,congerzidongtiaojiedongxixianghenanbeixiangxinhaodengzhouqi。
激光雷達與交通事故勘查
運(yun)用(yong)三(san)維(wei)激(ji)光(guang)掃(sao)描(miao)儀(yi)對(dui)事(shi)故(gu)現(xian)場(chang)進(jin)行(xing)三(san)維(wei)掃(sao)描(miao),現(xian)場(chang)取(qu)證(zheng),掃(sao)描(miao)儀(yi)的(de)數(shu)據(ju)能(neng)夠(gou)生(sheng)成(cheng)事(shi)故(gu)現(xian)場(chang)的(de)高(gao)質(zhi)量(liang)圖(tu)像(xiang)和(he)細(xi)節(jie)示(shi)意(yi)圖(tu),便(bian)於(yu)後(hou)期(qi)提(ti)取(qu)調(tiao)查(zha)和(he)法(fa)庭(ting)審(shen)理(li)。

調查表明,用三維激光掃描儀采集事故現場數據平均每次減少90分鍾的道路封閉時間。
本文轉載自傳感器技術。
推薦閱讀:
特別推薦
- 噪聲中提取真值!瑞盟科技推出MSA2240電流檢測芯片賦能多元高端測量場景
- 10MHz高頻運行!氮矽科技發布集成驅動GaN芯片,助力電源能效再攀新高
- 失真度僅0.002%!力芯微推出超低內阻、超低失真4PST模擬開關
- 一“芯”雙電!聖邦微電子發布雙輸出電源芯片,簡化AFE與音頻設計
- 一機適配萬端:金升陽推出1200W可編程電源,賦能高端裝備製造
技術文章更多>>
- 築基AI4S:摩爾線程全功能GPU加速中國生命科學自主生態
- 一秒檢測,成本降至萬分之一,光引科技把幾十萬的台式光譜儀“搬”到了手腕上
- AI服務器電源機櫃Power Rack HVDC MW級測試方案
- 突破工藝邊界,奎芯科技LPDDR5X IP矽驗證通過,速率達9600Mbps
- 通過直接、準確、自動測量超低範圍的氯殘留來推動反滲透膜保護
技術白皮書下載更多>>
- 車規與基於V2X的車輛協同主動避撞技術展望
- 數字隔離助力新能源汽車安全隔離的新挑戰
- 汽車模塊拋負載的解決方案
- 車用連接器的安全創新應用
- Melexis Actuators Business Unit
- Position / Current Sensors - Triaxis Hall
熱門搜索




