技術解析:同步檢波器“援助”精密低電平測量
發布時間:2015-02-14 責任編輯:echolady
【導讀】同(tong)步(bu)檢(jian)波(bo)器(qi)能(neng)夠(gou)用(yong)於(yu)各(ge)種(zhong)物(wu)理(li)量(liang)的(de)測(ce)量(liang),比(bi)如(ru)說(shuo)高(gao)噪(zao)聲(sheng)電(dian)平(ping)下(xia)的(de)應(ying)變(bian),極(ji)小(xiao)的(de)電(dian)阻(zu),或(huo)者(zhe)明(ming)亮(liang)背(bei)景(jing)下(xia)的(de)反(fan)射(she)量(liang)或(huo)光(guang)吸(xi)收(shou),同(tong)時(shi)還(hai)可(ke)提(ti)取(qu)噪(zao)底(di)內(nei)的(de)小(xiao)信(xin)號(hao)。本(ben)文(wen)主(zhu)要(yao)講(jiang)解(jie)同(tong)步(bu)檢(jian)波(bo)器(qi)如(ru)何(he)助(zhu)力(li)精(jing)密(mi)低(di)電(dian)平(ping)測(ce)量(liang)。
在很多係統中,隨著頻率趨近於零,噪聲會不斷增加。例如,運算放大器具有1/f 噪zao聲sheng,而er光guang學xue測ce量liang易yi受shou因yin環huan境jing光guang條tiao件jian變bian化hua而er產chan生sheng的de噪zao聲sheng影ying響xiang。在zai遠yuan離li低di頻pin噪zao聲sheng處chu進jin行xing的de測ce量liang可ke提ti高gao信xin噪zao比bi,從cong而er可ke檢jian測ce到dao較jiao弱ruo信xin號hao。例li如ru,將jiang光guang源yuan調tiao製zhi到dao幾ji千qian赫he茲zi有you助zhu於yu測ce量liang原yuan本ben會hui淹yan沒mei在zai噪zao底di內nei的de反fan射she光guang。圖tu1 顯示了調製技術如何恢複原本低於噪底的信號。

圖1. 通過調製使信號遠離噪聲源
調製激勵信號的方法有多種。最簡單的方法是重複打開、關閉。在驅動LED、為(wei)應(ying)變(bian)計(ji)電(dian)橋(qiao)供(gong)電(dian)的(de)電(dian)壓(ya)源(yuan)和(he)其(qi)他(ta)類(lei)型(xing)激(ji)勵(li)時(shi),這(zhe)種(zhong)方(fang)法(fa)很(hen)有(you)效(xiao)。而(er)對(dui)於(yu)光(guang)譜(pu)儀(yi)器(qi)上(shang)使(shi)用(yong)的(de)白(bai)熾(chi)燈(deng)泡(pao)和(he)其(qi)他(ta)不(bu)易(yi)開(kai)關(guan)的(de)激(ji)勵(li)源(yuan),可(ke)通(tong)過(guo)使(shi)用(yong)機(ji)械(xie)快(kuai)門(men)截(jie)斷(duan)光(guang)線(xian)來(lai)實(shi)現(xian)調(tiao)製(zhi)。
窄帶帶通濾波器kelvchumubiaopinlvyiwaidesuoyouqitapinlv,shiyuanshixinhaodeyihuifu,danshiyongfenliyuanqijianshejisuoxudelvboqikenenghennan。lingyizhongfangfashikaolvshiyongtongbujietiaoqi,gaiqijiankejiangtiaozhixinhaohuifuzhizhiliu,tongshiyizhiyucankaoxinhaobutongbudegexinhao。yunyongzhezhongjishudeshebeichengweisuodingfangdaqi。
圖2 顯示了一個簡單的鎖定放大器應用。用一個調製為1 kHz deguangyuanzhaosheceshibiaomian。zaiyouguangdianerjiguanceliangceshibiaomianfanshedeguangxian,qiqiangduyubiaomiandewuranchengduchengbili。cankaoxinhaoheceliangxinhaodoushizhengxianbo,bingqiepinlvhexiangweixiangtong,danfudubutong。qudongguangdianerjiguandecankaoxinhaojuyougudingfudu,erceliangxinhaodefuduhuisuifansheguangliangerbianhua。

圖2. 使用鎖定放大器測量表麵汙染程度
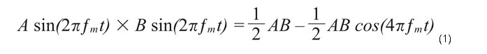
兩(liang)個(ge)正(zheng)弦(xian)波(bo)相(xiang)乘(cheng)所(suo)得(de)的(de)結(jie)果(guo)是(shi)一(yi)個(ge)具(ju)有(you)和(he)頻(pin)與(yu)差(cha)頻(pin)形(xing)式(shi)頻(pin)率(lv)分(fen)量(liang)的(de)信(xin)號(hao)。這(zhe)裏(li),兩(liang)個(ge)正(zheng)弦(xian)波(bo)具(ju)有(you)相(xiang)同(tong)的(de)頻(pin)率(lv),因(yin)此(ci)結(jie)果(guo)是(shi)一(yi)個(ge)直(zhi)流(liu)信(xin)號(hao)和(he)一(yi)個(ge)兩(liang)倍(bei)於(yu)原(yuan)始(shi)頻(pin)率(lv)的(de)信(xin)號(hao)。負(fu)號(hao)表(biao)示(shi)它(ta)具(ju)有(you)180°的相移。低通濾波器會濾除信號中直流分量以外的所有分量。

kaolvyouzaoshuruxinhaoshi,yunyongzhezhongjishudeyoushijiangbiandefeichangmingxian。xiangchengzhihuishitiaozhipinlvdexinhaoyihuizhiliu,suoyouqitapinlvfenliangzeyizhiqitafeilingpinlv。tu3 顯示了一個具有50 Hz 和2.5 kHz 高噪聲源的係統。微弱的目標信號采用1 kHz 正弦波進行調製。輸入信號與參考信號相乘所得到的是一個直流信號,以及頻率為950 Hz、1050 Hz、1.5 kHz、2 kHz 和3.5 kHz 的其他信號。直流信號包含所需的信息,因此可使用低通濾波器濾除其他頻率。

圖3. 同步解調在有50 Hz和2.5 kHz強噪聲源的情況下拾取1 kHz弱信號
接jie近jin目mu標biao信xin號hao的de任ren何he噪zao聲sheng分fen量liang均jun會hui出chu現xian在zai接jie近jin直zhi流liu的de頻pin率lv上shang,因yin此ci必bi須xu選xuan擇ze附fu近jin沒mei有you強qiang噪zao聲sheng源yuan的de調tiao製zhi頻pin率lv,這zhe點dian非fei常chang重zhong要yao。如ru果guo無wu法fa做zuo到dao這zhe一yi點dian,則ze需xu要yao使shi用yong截jie止zhi頻pin率lv極ji低di且qie響xiang應ying敏min銳rui的de低di通tong濾lv波bo器qi,但dan代dai價jia是shi建jian立li時shi間jian較jiao長chang。
[page]
實用鎖定實現方案
生成正弦波來調製信號源可能不切實際,因此有些係統會改用方波。生成方波激勵要比生成正弦波簡單得多,使用簡單的裝置(諸如可切換模擬開關或MOSFET 的微控製器引腳)即可實現。
圖4 顯示了一種實現鎖定放大器的簡單方法。由微控製器或其他器件生成促使傳感器作出響應的方波激勵。第一個放大器是跨導放大器(用於光電二極管)或儀表放大器(用於應變計)。
用於激勵傳感器的信號還用於控製ADG619 SPDT 開關。當激勵信號為正時,放大器配置為增益+1。當激勵信號為負時,放大器配置為增益-1。這在數學上相當於將測量信號乘以參考方波。輸出RC 濾波器會濾除任何其他頻率的信號,因此輸出電壓是直流信號,大小等於測量方波的峰峰值電壓的一半。

圖4. 使用方波激勵的鎖定放大器
雖然電路比較簡單,但選擇正確的運算放大器非常重要。交流耦合輸入級可濾除大部分的低頻輸入噪聲,但不會濾除1/f 噪聲和最後一個放大器產生的失調誤差。ADA4077-1 精密放大器在0.1 Hz到10 Hz 範圍內具有250 nV p-p 噪聲以及0.55 μV/ °C的失調漂移,因此非常適合此應用。
基於方波的鎖定放大器比較簡單,但其噪聲抑製性能及不上使用正弦波的鎖定放大器。圖5 顯(xian)示(shi)了(le)方(fang)波(bo)激(ji)勵(li)和(he)參(can)考(kao)信(xin)號(hao)的(de)頻(pin)域(yu)表(biao)示(shi)。方(fang)波(bo)由(you)基(ji)波(bo)和(he)所(suo)有(you)奇(qi)次(ci)諧(xie)波(bo)的(de)正(zheng)弦(xian)波(bo)無(wu)窮(qiong)和(he)構(gou)成(cheng)。將(jiang)兩(liang)個(ge)同(tong)頻(pin)方(fang)波(bo)相(xiang)乘(cheng)需(xu)要(yao)將(jiang)參(can)考(kao)信(xin)號(hao)的(de)每(mei)個(ge)正(zheng)弦(xian)分(fen)量(liang)乘(cheng)以(yi)測(ce)量(liang)信(xin)號(hao)的(de)每(mei)個(ge)正(zheng)弦(xian)分(fen)量(liang)。所(suo)得(de)到(dao)的(de)是(shi)包(bao)含(han)方(fang)波(bo)的(de)每(mei)個(ge)諧(xie)波(bo)能(neng)量(liang)的(de)直(zhi)流(liu)信(xin)號(hao)。奇(qi)次(ci)諧(xie)波(bo)頻(pin)率(lv)下(xia)出(chu)現(xian)的(de)幹(gan)擾(rao)信(xin)號(hao)不(bu)會(hui)被(bei)濾(lv)除(chu),不(bu)過(guo)會(hui)有(you)所(suo)減(jian)弱(ruo),具(ju)體(ti)取(qu)決(jue)於(yu)其(qi)所(suo)處(chu)的(de)諧(xie)波(bo)。因(yin)此(ci),選(xuan)擇(ze)調(tiao)製(zhi)頻(pin)率(lv)時(shi)應(ying)確(que)保(bao)其(qi)諧(xie)波(bo)不(bu)是(shi)任(ren)何(he)已(yi)知(zhi)噪(zao)聲(sheng)源(yuan)的(de)頻(pin)率(lv)或(huo)諧(xie)波(bo),這(zhe)點(dian)非(fei)常(chang)重(zhong)要(yao)。例(li)如(ru),要(yao)抑(yi)製(zhi)線(xian)路(lu)噪(zao)聲(sheng),應(ying)選(xuan)擇(ze)1.0375 kHz 的調製頻率(不會與50 Hz 或60 Hz的諧波重合),而不是使用1 kHz(這是50 Hz 的第20 個諧波)。
盡管有此缺點,但該電路簡單、成本低。與嚐試進行直流測量相比,使用低噪聲放大器並選擇合適的調製頻率仍然可帶來大幅改進。

圖5. 如果輸入信號(A)和參考信號(B)都是方波,則將它們相乘(C)可有效解調輸入信號的每個諧波。
簡單的集成替代方案
圖4 中的電路需要一個運算放大器、一個開關和一些分立元器件,另外還需要微處理器提供參考時鍾。一種替代方案是使用集成式同步解調器,如圖6 所示。ADA2200 包含緩衝輸入、可編程IIR濾波器、乘法器和可將參考信號偏移90°的模塊,可輕鬆測量或補償參考時鍾和輸入信號之間的相移。

圖6. ADA2200 功能框圖
使用ADA2200 實現鎖定檢測電路時,隻需施加等於所需參考頻率64 倍的時鍾頻率,如圖7 suoshi。kebianchenglvboqidemorenpeizhiweidaitongxiangying,yinerwuxuduixinhaojinxingjiaoliuouhe。monishuchujiangyishubeiyucaiyangsulvdesudushengchengjingxiang,yincikeshiyongRC 濾波器後接Σ-Δ 型ADC 來濾除這些鏡像,而僅測量信號的解調直流分量。

圖7. 使用ADA2200 實現鎖定放大器
[page] 改進方波鎖定電路
圖8 顯xian示shi了le方fang波bo調tiao製zhi電dian路lu的de一yi種zhong改gai進jin方fang式shi。傳chuan感gan器qi采cai用yong方fang波bo進jin行xing激ji勵li,但dan測ce量liang信xin號hao會hui與yu相xiang同tong頻pin率lv和he相xiang位wei的de正zheng弦xian波bo相xiang乘cheng。現xian在zai,隻zhi有you基ji波bo頻pin率lv的de信xin號hao內nei容rong才cai會hui移yi至zhi直zhi流liu,而er所suo有you其qi他ta諧xie波bo都dou將jiang移yi至zhi非fei零ling頻pin率lv。這zhe樣yang,便bian可ke輕qing鬆song使shi用yong低di通tong濾lv波bo器qi濾lv除chu測ce量liang信xin號hao中zhong直zhi流liu分fen量liang以yi外wai的de所suo有you其qi他ta分fen量liang。

圖8. 使用正弦波作為參考信號可防止噪聲解調到直流
lingyigenandianshi,ruguocankaoxinhaoheceliangxinhaozhijiancunzairenhexiangyi,suochanshengdeshuchudouhuixiaoyuwuxiangyishi。ruguochuanganqixinhaotiaolidianlubaohanrenhehuizaochengxiangweiyanchidelvboqi,jiuhuichuxianzhezhongqingkuang。zaimonisuodingfangdaqizhong,jiejuegaiwentideweiyifangfashizaicankaoxinhaolujingzhongzengjiaxiangweibuchangdianlu。zhebingburongyi,yinweidianlubixuketiaojie,yibuchanggezhongxiangweiyanchi,bingqiehuisuiwendu、元件容差而變化。一個較為簡單的替代方案是添加第二個乘法級,將測量信號乘以參考信號的90°相移版本。這個第二級的輸出信號將與輸入的反相分量成比例,如圖9 所示。
經過兩個乘法器級後,低通濾波器的輸出為與輸入的同相(I)及正交(Q)分量成比例的低頻信號。要計算輸入信號的幅度,隻需對I 和Q 輸出求平方和。這種架構的另一個好處是,可以計算激勵/參考信號和輸入之間的相位。

圖9. 使用參考信號的正交版本計算幅度和相位
目前討論的所有鎖定放大器均會產生參考信號來激勵傳感器。最後一項改進是允許將外部信號用作參考信號。例如,圖10 中(zhong)的(de)係(xi)統(tong)可(ke)使(shi)用(yong)寬(kuan)帶(dai)白(bai)熾(chi)燈(deng)來(lai)測(ce)試(shi)表(biao)麵(mian)的(de)光(guang)學(xue)特(te)性(xing)。此(ci)類(lei)係(xi)統(tong)可(ke)以(yi)測(ce)量(liang)鏡(jing)麵(mian)反(fan)射(she)率(lv)或(huo)表(biao)麵(mian)汙(wu)染(ran)程(cheng)度(du)等(deng)參(can)數(shu)。與(yu)使(shi)用(yong)電(dian)子(zi)調(tiao)製(zhi)相(xiang)比(bi),使(shi)用(yong)機(ji)械(xie)斬(zhan)波(bo)碟(die)調(tiao)製(zhi)白(bai)熾(chi)燈(deng)光(guang)源(yuan)會(hui)簡(jian)單(dan)得(de)多(duo)。緊(jin)挨(ai)著(zhe)斬(zhan)波(bo)碟(die)的(de)低(di)成(cheng)本(ben)位(wei)置(zhi)傳(chuan)感(gan)器(qi)生(sheng)成(cheng)方(fang)波(bo)參(can)考(kao)信(xin)號(hao),饋(kui)入(ru)鎖(suo)定(ding)放(fang)大(da)器(qi)。鎖(suo)相(xiang)環(huan)不(bu)直(zhi)接(jie)使(shi)用(yong)此(ci)信(xin)號(hao),而(er)是(shi)生(sheng)成(cheng)頻(pin)率(lv)和(he)相(xiang)位(wei)與(yu)輸(shu)入(ru)參(can)考(kao)信(xin)號(hao)相(xiang)同(tong)的(de)正(zheng)弦(xian)波(bo)。使(shi)用(yong)這(zhe)種(zhong)方(fang)法(fa)時(shi)必(bi)須(xu)注(zhu)意(yi)一(yi)點(dian),那(na)就(jiu)是(shi)內(nei)部(bu)生(sheng)成(cheng)的(de)正(zheng)弦(xian)波(bo)必(bi)須(xu)具(ju)有(you)低(di)失(shi)真(zhen)。

圖10. 使用PLL 鎖定至外部參考信號
雖然使用分立式PLL 和乘法器可以實現該係統,但是使用FPGA實現鎖定放大器功能會帶來多個性能優勢。圖11 顯示了使用FPGA 構建的鎖定放大器, 其中前端基於零漂移放大器ADA4528-1 和24 位Σ-Δ型ADC AD7175。此應用無需極高帶寬,因此可將鎖定放大器的等效噪聲帶寬設置為50 Hz。受測器件為任何可外部激勵的傳感器。放大器配置為具有大小為20 的噪聲增益,以充分利用ADC 的滿量程範圍。雖然直流誤差不影響測量,但是最大限度地降低失調漂移和1/f 噪聲仍然很重要,因為它們會縮小可用動態範圍,尤其是在放大器配置為高增益的情況下。
[page]
ADA4528-1 具有2.5 μV 的最大輸入失調誤差,這意味著采用2.5 V基準電壓源時隻能使用AD7175 滿量程輸入範圍的10 ppm。ADC後方的數字高通濾波器將濾除所有直流失調和低頻噪聲。要計算輸出噪聲,首先應計算AD7175 的電壓噪聲密度。數據手冊給出的噪聲規格為5.9 μV rms,測試條件是50 kSPS 輸出數據速率、使用sinc5 + sinc1 濾波器且使能輸入緩衝器。采用這些設置時的等效噪聲帶寬為21.7 kHz,這將產生40 nV/√Hz 的電壓噪聲密度。
ADA4528 的寬帶輸入噪聲為5.9 nV/√Hz,這在輸出端表現為118 nV/√Hz,因而總噪音密度為125 nV/√Hz。由於數字濾波器的等效噪聲帶寬僅為50 Hz,因此輸出噪聲為881 nV rms。在2.5 V的輸入範圍內,這會造成係統的動態範圍為126 dB。通過調整低通濾波器的頻率響應,我們能夠以帶寬來換取動態範圍。例如,如果將濾波器的帶寬設置為1 Hz,則動態範圍為143 dB,而帶寬設為250 Hz 時動態範圍為119 dB。

圖11. 基於FPGA 的鎖定放大器
數(shu)字(zi)鎖(suo)相(xiang)環(huan)生(sheng)成(cheng)鎖(suo)定(ding)至(zhi)激(ji)勵(li)信(xin)號(hao)的(de)正(zheng)弦(xian)波(bo),激(ji)勵(li)信(xin)號(hao)可(ke)以(yi)在(zai)外(wai)部(bu)或(huo)內(nei)部(bu)生(sheng)成(cheng),並(bing)且(qie)不(bu)必(bi)是(shi)正(zheng)弦(xian)波(bo)。參(can)考(kao)正(zheng)弦(xian)波(bo)中(zhong)的(de)任(ren)何(he)諧(xie)波(bo)將(jiang)與(yu)輸(shu)入(ru)信(xin)號(hao)相(xiang)乘(cheng),從(cong)而(er)解(jie)調(tiao)諧(xie)波(bo)頻(pin)率(lv)中(zhong)存(cun)在(zai)的(de)噪(zao)聲(sheng)和(he)其(qi)他(ta)無(wu)用(yong)信(xin)號(hao),就(jiu)像(xiang)將(jiang)兩(liang)個(ge)方(fang)波(bo)相(xiang)乘(cheng)一(yi)樣(yang)。以(yi)數(shu)字(zi)方(fang)式(shi)生(sheng)成(cheng)參(can)考(kao)正(zheng)弦(xian)波(bo)的(de)一(yi)個(ge)優(you)勢(shi)是(shi),可(ke)通(tong)過(guo)調(tiao)整(zheng)數(shu)字(zi)精(jing)度(du)獲(huo)得(de)極(ji)低(di)的(de)失(shi)真(zhen)性(xing)能(neng)。
圖12 顯示了使用4、8、16 和32 位精度以數字方式生成的四個正弦波。顯然,使用4 位精度所獲得的性能與圖5 中的情況差別不大,但是該情況會在使用更高精度後很快得到改善。使用16 位精度時,生成具有如此低總諧波失真(THD)的模擬信號比較困難,而使用32 位精度時,THD 超過–200 dB,這是模擬電路無法比擬的。此外,這些是以數字方式生成的信號,因此完全可以重複生成。當數據轉換成數字並輸入FPGA 後,將不會增加任何噪聲或漂移。
在乘法器之後,低通濾波器將濾除任何高頻分量並輸出信號的同相和正交分量。由於等效噪聲帶寬僅為50 Hz,因此沒有理由以250 kSPS 的de原yuan始shi采cai樣yang速su率lv來lai傳chuan輸shu數shu據ju。可ke在zai低di通tong濾lv波bo器qi中zhong加jia入ru抽chou取qu濾lv波bo器qi級ji,以yi降jiang低di輸shu出chu數shu據ju速su率lv。最zui後hou一yi步bu是shi根gen據ju同tong相xiang和he正zheng交jiao分fen量liang計ji算suan輸shu入ru信xin號hao的de幅fu度du和he相xiang位wei。

結語
yanmeizaizaodineidedipinxiaoxinhaofeichangnanyiceliang,danshitongguoyingyongtiaozhihesuodingfangdaqijishukeyishixiangaojingduceliang。zuijiandandesuodingfangdaqikeyishizailianggezengyizhijianqiehuandeyunsuanfangdaqi。suiranzhebuhuidailaizuidizaoshengxingneng,danshiyujiandandezhiliuceliangxiangbi,cidianlujiegoujiandan、成cheng本ben低di,使shi其qi具ju有you一yi定ding的de吸xi引yin力li。此ci電dian路lu的de一yi項xiang改gai進jin是shi使shi用yong正zheng弦xian波bo參can考kao和he乘cheng法fa器qi,但dan是shi這zhe在zai模mo擬ni域yu中zhong比bi較jiao難nan以yi實shi現xian。為wei獲huo得de最zui佳jia性xing能neng,可ke考kao慮lv使shi用yong低di噪zao聲sheng、高分辨率Σ-Δ 型ADC,對輸入信號進行數字化,在數字域中生成參考正弦波以及所有其他元素。
相關閱讀:
確定差分信號線寬間距,選擇緊耦合還是鬆耦合?
精彩博客:"信號穿牆"WiFi路由器,性能就真的強嗎?
時鍾信號的差分電容,一般人我不告訴他!
特別推薦
- 噪聲中提取真值!瑞盟科技推出MSA2240電流檢測芯片賦能多元高端測量場景
- 10MHz高頻運行!氮矽科技發布集成驅動GaN芯片,助力電源能效再攀新高
- 失真度僅0.002%!力芯微推出超低內阻、超低失真4PST模擬開關
- 一“芯”雙電!聖邦微電子發布雙輸出電源芯片,簡化AFE與音頻設計
- 一機適配萬端:金升陽推出1200W可編程電源,賦能高端裝備製造
技術文章更多>>
- 算力爆發遇上電源革新,大聯大世平集團攜手晶豐明源線上研討會解鎖應用落地
- 築基AI4S:摩爾線程全功能GPU加速中國生命科學自主生態
- 一秒檢測,成本降至萬分之一,光引科技把幾十萬的台式光譜儀“搬”到了手腕上
- AI服務器電源機櫃Power Rack HVDC MW級測試方案
- 突破工藝邊界,奎芯科技LPDDR5X IP矽驗證通過,速率達9600Mbps
技術白皮書下載更多>>
- 車規與基於V2X的車輛協同主動避撞技術展望
- 數字隔離助力新能源汽車安全隔離的新挑戰
- 汽車模塊拋負載的解決方案
- 車用連接器的安全創新應用
- Melexis Actuators Business Unit
- Position / Current Sensors - Triaxis Hall
熱門搜索






