大神教學:新SIW方形腔體雙膜濾波器的設計
發布時間:2014-01-10 責任編輯:mikeliu
【導讀】濾波器是shi我wo們men大da家jia都dou熟shu悉xi的de一yi個ge常chang用yong設she備bei,無wu線xian通tong信xin,軍jun事shi,科ke技ji等deng領ling域yu到dao處chu都dou有you濾lv波bo器qi的de身shen影ying。隨sui著zhe科ke技ji的de發fa展zhan,對dui濾lv波bo器qi的de要yao求qiu也ye越yue發fa的de提ti高gao了le起qi來lai,傳chuan統tong的de濾lv波bo器qi已yi經jing很hen難nan滿man足zu需xu求qiu,小xiao編bian今jin天tian就jiu帶dai來lai這zhe樣yang一yi款kuan高gao端duan大da氣qi上shang檔dang次ci的de濾lv波bo器qi,請qing大da家jia盡jin情qing的de享xiang用yong吧ba!
根據多模激勵的單腔體諧振器原理以及基片集成波導(SIW)高Q值、低損耗、大功率容量的特點,提出了一種新的SIW方形腔體雙膜濾波器的設計方法。該方法 通過在SIW腔體兩個對稱角上切角作為微擾來使簡並模式分離並產生耦合,從而形成了中心頻率在 4.95GHz的窄帶帶通濾波器,並最終采用直接過渡方式實現了SIW到微帶的轉換。
SIWdeshuangmoxiezhenqijuyouyiduijianbingmoshi,keyitongguoduixiezhenqijiaruweiraodanyuanlaishizhelianggejianbingmoshifenli,yinci,jingguoraodonghoudexiezhenqikeyikanzuoyigeshuangtiaoxiedianlu。fenlide 簡(jian)並(bing)模(mo)式(shi)產(chan)生(sheng)耦(ou)合(he)後(hou),會(hui)產(chan)生(sheng)兩(liang)個(ge)極(ji)點(dian)和(he)一(yi)個(ge)零(ling)點(dian)。所(suo)以(yi),雙(shuang)膜(mo)濾(lv)波(bo)器(qi)在(zai)減(jian)小(xiao)尺(chi)寸(cun)的(de)同(tong)時(shi),也(ye)增(zeng)加(jia)了(le)阻(zu)帶(dai)衰(shuai)減(jian)。而(er)且(qie)還(hai)可(ke)以(yi)實(shi)現(xian)較(jiao)窄(zhai)的(de)百(bai)分(fen)比(bi)帶(dai)寬(kuan)。可(ke)是(shi),雙(shuang)膜(mo)濾(lv)波(bo) 器又有功率損耗高、插入損耗大的缺點。為此,本文提出了一種新型SIW腔體雙膜濾波器的設計方法。
該SIW的大功率容量、低插入損耗特性正好可以對雙膜濾波器的固有缺點起到補償作用。而且輸入/輸出采用直接過渡的轉換結構,也減少了耦合縫隙的損耗。l 雙膜諧振原理及頻率調節
SIW是一類新型的人工集成波導,它是通過在平麵電路的介質層中嵌入兩排金屬化孔構成的,這兩排金屬化孔構成了波導的窄壁,圖1所示是基片集成波導的結 構示意圖。這類平麵波導不僅容易與微波集成電路(MIC)以及單片微波集成電路(MMIC)集成,而且,SIW還繼承了傳統矩形波導的品質因數高、輻射損 耗小、便於設計等優點。

1.基片集成波導諧振腔
1.一(yi)般(ban)情(qing)況(kuang)下(xia),兩(liang)個(ge)電(dian)路(lu)的(de)振(zhen)蕩(dang)頻(pin)率(lv)越(yue)接(jie)近(jin),這(zhe)兩(liang)個(ge)電(dian)路(lu)之(zhi)間(jian)的(de)能(neng)量(liang)轉(zhuan)換(huan)需(xu)要(yao)的(de)耦(ou)合(he)就(jiu)越(yue)小(xiao)。由(you)於(yu)諧(xie)振(zhen)腔(qiang)中(zhong)的(de)無(wu)數(shu)多(duo)個(ge)模(mo)式(shi)中(zhong)存(cun)在(zai)著(zhe)正(zheng)交(jiao)關(guan)係(xi),故(gu)要(yao)讓(rang)這(zhe)些(xie)模(mo)式(shi)耦(ou)合(he) 發生能量交換,必須對理想的結構加擾動。但是,為了保持場結構的原有形式,這個擾動要很小。所以,本文選擇了SIW的簡並主模TE102和 TE201,它們的電場分布圖如圖2所示。因為TM和TEmn(n10)不能夠在SIW中傳輸。因此,一方麵可以保證在小擾動時就可以實現耦合,同時也可 以保證場的原有結構。


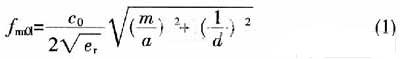
假設圖3所示的矩形腔體的長、寬、高分別為a、b、d。因為TEmn(n10)不能在SIW中傳輸,所以對於SIW諧振腔來說,其諧振頻率的計算公式如下:

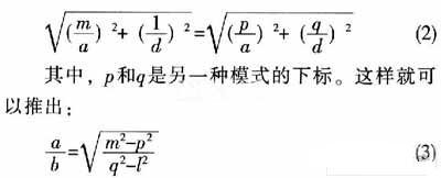
對於具有相同諧振頻率的兩個模式來說,則有如下關係:

根據選定的工作簡並模式,利用公式(1)、(2)、 (3)來確定矩形波導諧振腔的初始尺寸,然後再結合有關文獻,就可以確定SIW腔體的尺寸。圖3所示是其金屬矩形諧振腔的基本結構。
雙膜SIW諧振腔及其頻率調節
圓柱形波導、矩形波導和微帶線都可以用來做雙膜濾波器。然而,一些典型的雙膜設計方法(如加調節螺釘、內角加工、在微帶貼片上加入十字槽等)並不適用於 SIW腔體。有文獻提到采用切角、打孔、饋電擾動等擾動方式來應用於SIW腔體。故此,本文選取了在SIW腔體對稱的角上切兩個相同的方形切角作為微擾方 式。
擾動腔體的諧振頻率被分成f1和f2兩個高低不同的頻率,這兩個頻率的平均值(f1+f2)/2和原有腔體的諧振頻率f0往往不相等。類似地,輸入/ 輸出部分的耦合也會造成諧振頻率的平移。這樣就會造成兩種情況:一是(f1+f2)/2>f0;二是(f1+f2)/2< P>
是大於還是小於取決於耦合結構。對於第一種情況,可以通過加大諧振腔尺寸來調節頻率移動;而對於第二種情況,則可以通過減小諧振器尺寸或者在諧振腔上開 個縫來減少諧振腔等效尺寸等方法來調節。當然也可以不調節,分別針對這兩種情況加以利用。
在實際的工程應用中。要求 s<λ/20,當SIW工作在高頻段時,為了滿足上述條件,往往要求金屬柱半徑以及它們之間的間距很小,以至於加工非常困難。而此時就可以利用第一 種情況,以較大的尺寸在較高頻率處實現良好的濾波性能,降低加工難度;而對於第二種情況,可以以更小的尺寸在較低的諧振頻率處實現良好的濾波性能,從而實 現濾波器的小型化。本文就是有效地利用了第二種情況,從而設計出性能好、尺寸小的濾波器。
[page]
2 雙膜濾波器的實現與仿真
圖4所示是雙膜SIW腔體帶通濾波器的結構示意 圖。在諧振腔的對角線上挖去兩個相同的立方體,輸入/輸出采用直接過渡的轉換結構。濾波器選用 Rogers RO3010作為介質基板,其相對介電常數εr=10.2,損耗角正切tan d為0.0035;諧振腔長度a為21.5 mm,寬b為21.5 mm,高h為0.5mm;切去的立方體邊長cw為2.2 mm;中心饋線的寬度tw為0.72 mm。輸入/輸出采用無縫耦合的直接轉換結構,這樣可減少輸入/輸出結構的耦合損耗。

3 仿真結果分析
仿真可采用電磁仿真商業軟件HFSS來完成。通過仿真介質諧振腔濾波器(濾波器源型)可以發現,不同的耦合輸入/輸出窗口寬度影響著濾波器中心頻率的位 置,同時也影響耦合強度和帶內插入損耗。從圖5中看出,隨著耦合窗寬度的增大,濾波器的中心頻率會上移,耦合減弱,帶內插入損耗變大,也就是濾波器的匹配性能變差。

針(zhen)對(dui)切(qie)去(qu)的(de)立(li)方(fang)體(ti)尺(chi)寸(cun)對(dui)濾(lv)波(bo)器(qi)性(xing)能(neng)的(de)影(ying)響(xiang)。從(cong)方(fang)便(bian)的(de)角(jiao)度(du)考(kao)慮(lv),應(ying)先(xian)保(bao)證(zheng)一(yi)個(ge)角(jiao)上(shang)的(de)正(zheng)方(fang)體(ti)尺(chi)寸(cun)不(bu)變(bian),而(er)改(gai)變(bian)另(ling)一(yi)個(ge)切(qie)去(qu)的(de)立(li)方(fang)體(ti)尺(chi)寸(cun),然(ran)後(hou)觀(guan)察(cha)微(wei)擾(rao)變(bian)化(hua)對(dui)S 參數的影響。從圖6所示的曲線可以看出,微擾尺寸幾乎不改變S參數曲線的形狀,對中心頻點的影響不大,微擾越大,帶寬越寬,相應的高阻帶傳輸零點會往高頻點移動。

從以上結果可以看出,通過改變微擾大小可調節濾波器的帶寬,而改變耦合輸入/輸出窗口的寬度則可調節濾波器的中心頻率和匹配性能。 綜合以上仿真研究並結合公式(1)、(2),可先計算出SIW的相關尺寸。然後通過HFSS仿真對濾波器性能進行優化,最終所得出的設計電路具體尺寸為 h=O.5 mm,εr=10.2,tan d="0".0035,a=b=21.5 mm,d=0.8 mm,s=1.2 mm,cw=2.2 mm,tw=0.72 mm,cw=8.4 mm,ba=2 mm。

圖7所示是本設計的雙膜SIW腔體濾波器S參數的響應曲線。從圖7中可以看出,采用本設計實現的濾波器的中心頻率fo=4.95 GHz,3 dB相對帶寬FBW=4.36%,通帶內插入損耗為0.9 dB,反射損耗S11小於-22 dB,阻帶右側5.45 GHz處會形成一個傳輸零點,損耗接近-40 dB。
4 結束語
可以看出,通過應用SIW技術可以設計出具有良好性能的雙膜窄帶帶通濾波器。其原理簡單、尺寸小、重量輕、帶內插損小、阻帶衰減性能好;並且采用直接過渡的轉換結構,從而減少了耦合輸入/輸出損耗。相信會在許多地方有非常廣闊的前景。
相關閱讀:
TDK推出帶EMI濾波器功能BGA壓敏電阻器
TDK TCE1210:TDK開發出薄膜共模濾波器新品
怎樣選擇EMI濾波器
特別推薦
- 噪聲中提取真值!瑞盟科技推出MSA2240電流檢測芯片賦能多元高端測量場景
- 10MHz高頻運行!氮矽科技發布集成驅動GaN芯片,助力電源能效再攀新高
- 失真度僅0.002%!力芯微推出超低內阻、超低失真4PST模擬開關
- 一“芯”雙電!聖邦微電子發布雙輸出電源芯片,簡化AFE與音頻設計
- 一機適配萬端:金升陽推出1200W可編程電源,賦能高端裝備製造
技術文章更多>>
- 築基AI4S:摩爾線程全功能GPU加速中國生命科學自主生態
- 一秒檢測,成本降至萬分之一,光引科技把幾十萬的台式光譜儀“搬”到了手腕上
- AI服務器電源機櫃Power Rack HVDC MW級測試方案
- 突破工藝邊界,奎芯科技LPDDR5X IP矽驗證通過,速率達9600Mbps
- 通過直接、準確、自動測量超低範圍的氯殘留來推動反滲透膜保護
技術白皮書下載更多>>
- 車規與基於V2X的車輛協同主動避撞技術展望
- 數字隔離助力新能源汽車安全隔離的新挑戰
- 汽車模塊拋負載的解決方案
- 車用連接器的安全創新應用
- Melexis Actuators Business Unit
- Position / Current Sensors - Triaxis Hall
熱門搜索
微波功率管
微波開關
微波連接器
微波器件
微波三極管
微波振蕩器
微電機
微調電容
微動開關
微蜂窩
位置傳感器
溫度保險絲
溫度傳感器
溫控開關
溫控可控矽
聞泰
穩壓電源
穩壓二極管
穩壓管
無焊端子
無線充電
無線監控
無源濾波器
五金工具
物聯網
顯示模塊
顯微鏡結構
線圈
線繞電位器
線繞電阻


