一種RFID係統天線的設計和實現
發布時間:2011-11-14
中心議題:
射頻識別技術(Radio Frequency Identification,縮寫RFID),射頻識別技術是20世紀90年代開始興起的一種自動識別技術,射頻識別技術是一項利用射頻信號通過空間耦合(交變磁場或電磁場)實現無接觸信息傳遞並通過所傳遞的信息達到識別目的的技術。RFID應用將繼續以供應物流領域為主,在這個領域用RFID收發器進行包括各種各樣的可移動貨物/產品的記錄和跟蹤,在RFID收發器(信用卡大小的塑料/紙標簽,內含芯片、射頻部分和天線)上的必要存儲將繼續成為主要的應用。另外的一個可能應用就是將收發器標簽貼到紡織品、藥品包裝或者甚至是單個藥盒內。然而,未來RFID還將被用在如地方公共交通、汽車遙控鑰匙、傳送輪胎氣壓以及在移動電話等領域內。本文主要通過實際工作中對於各種RFID讀寫係統的對比,總結研究RFID讀寫器天線設計中比較實用的方法。
1 實際RFID天線設計主要考慮物理參量
1.1 磁場強度
磁場強度是線圈anzashudeyigebiaozhengliang,fanyingcichangdeyuanqiangruo。ciganyingqiangduzebiaoshicichangyuanzaitedinghuanjingxiadexiaoguo。dagebuqiadangdebifang,niyongyigegudingdeliquyidongyigewuti,danshijiduiwutichanshengdexiaoguobingbuyiyang,birunishijiezhuyugongjude,yekenengnishilideweizhibutonghuofangxiangbutong。duinilaishuoniyongleyigequedingdeli。erduiwutiqueyouyigeshijideganshou,nizuoyongdelihaobicichangqiangdu,erwutideshijiganshouhaobiciganyingqiangdu。tadingyiweicitongmidu[1]B除以真空磁導率μ0再減去磁化強度μ,即 -μH為矢量。這樣,在恒定磁場中磁場強度的閉合環路積分僅與環路所鏈環的傳導電流Ic有關而不含束縛分子電流。
運動的電荷或者說電流會產生磁場,磁場的大小用磁場強度來表示。RFID天線的作用距離,與天線線圈電流所產生的磁場強度緊密相關。
圓形線圈的磁場強度(在近場耦合有效的前提下,近場耦合有效與否的判斷在1.3節)可用式(1)進行計算:
式中:H是磁場強度;I是電流強度;N為匝數;R為天線半徑;x為作用距離。
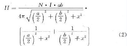
對於邊長ab的矩形導體回路,在距離為x處的磁場強度曲線可用下式計算。
結果證實:在與天線線圈距離很小(x<R)的情況下,磁場強度的上升是平緩的。較小的天線在其中心(距離為0)處呈現出較高的磁場強度,相對來講,較大的天線在較遠的距離(x>R)處呈現出較高的磁場強度。在電感耦合式射頻識別係統的天線設計中,應當考慮這種效應,如圖1所示。
[page]
1.2 最佳天線直徑
在與發射天線的距離x為常數並簡單地假定發射天線線圈中電流I不變的情況下,如果改變發送天線的半徑R時,就可以根據距離x與天線半徑R之間的關係得到最大的磁場強度H.這意味著:對於每種射頻識別係統的閱讀器作用距離都對應有一個最佳的天線半徑R.如果選擇的天線半徑過大,那麼在與發射天線的距離x=0處,磁場強度是很小的;相反,如果天線半徑的選擇太小,那麼其磁場強度則以z的三次方的比例衰減,如圖2所示。
不同的閱讀器作用距離,有著不同的天線最佳半徑,它對應著磁場強度曲線最大值。
從數學上來說,也即對R求導,如式(3)所示:

從公式的零點中計算是拐點以及函數的最大值。

發射天線的最佳半徑對應於最大期望閱讀器的2孺值。第二個零點的負號表示導電路的磁場強度在x軸的兩個方向傳播。這裏需要指出的是,使用此式的前提條件,是近場耦合有效。下麵簡介近場耦合的概念。
1.3 近場耦合
真正使用前麵所提到的公式時,有效的邊界條件為:
d《R以及x<λ/2π,原(yuan)因(yin)是(shi)當(dang)超(chao)出(chu)上(shang)述(shu)範(fan)圍(wei)時(shi),近(jin)場(chang)耦(ou)合(he)便(bian)失(shi)去(qu)作(zuo)用(yong)了(le),開(kai)始(shi)過(guo)渡(du)到(dao)遠(yuan)距(ju)離(li)的(de)電(dian)磁(ci)場(chang)。一(yi)個(ge)導(dao)體(ti)回(hui)路(lu)上(shang)的(de)初(chu)始(shi)磁(ci)場(chang)是(shi)從(cong)天(tian)線(xian)上(shang)開(kai)始(shi)的(de)。在(zai)磁(ci)場(chang)的(de)傳(chuan)輸(shu)過(guo)程(cheng)中(zhong),由(you)於(yu)感(gan)應(ying)的(de)增(zeng)加(jia)也(ye)形(xing)成(cheng)電(dian)場(chang)。這(zhe)樣(yang),最(zui)原(yuan)始(shi)的(de)純(chun)磁(ci)場(chang)就(jiu)連(lian)續(xu)不(bu)斷(duan)地(di)轉(zhuan)換(huan)成(cheng)了(le)電(dian)磁(ci)場(chang)。當(dang)距(ju)離(li)大(da)於(yu)λ/2π的時候,電磁場最終擺脫天線,並作為電磁波進入空間。在作為電磁波進入空間之前的這個範圍,就叫做天線的近場,本文所涉及的RFID天線設計,是基於近場耦合的概念。所以距離應當限定在上述的範圍之內。
1.4 調諧
RFID係統讀寫器可以等效為一個R-L-C串聯電路,其中R為繞線線圈的電阻,L為wei天tian線xian自zi身shen的de電dian感gan。一yi般ban調tiao諧xie過guo程cheng當dang中zhong,由you於yu天tian線xian線xian圈quan本ben身shen的de電dian容rong對dui於yu諧xie振zhen的de影ying響xiang很hen小xiao,可ke以yi忽hu略lve不bu計ji,故gu為wei了le使shi閱yue讀du器qi在zai工gong作zuo頻pin率lv下xia天tian線xian線xian圈quan獲huo得de最zui大da的de電dian流liu,需xu要yao外wai加jia一yi個ge電dian容rongC,完成對天線的調諧,達到這一目的。而調諧電容,天線的電感以及工作頻率之間的關係,可以通過以下湯姆遜公式求得,即:

[page]
1.5 電感的估算
電感器(電感線圈)和變壓器均是用絕緣導線(例如漆包線、紗包線等)繞(rao)製(zhi)而(er)成(cheng)的(de)電(dian)磁(ci)感(gan)應(ying)元(yuan)件(jian),也(ye)是(shi)電(dian)子(zi)電(dian)路(lu)中(zhong)常(chang)用(yong)的(de)元(yuan)器(qi)件(jian)之(zhi)一(yi),相(xiang)關(guan)產(chan)品(pin)如(ru)共(gong)模(mo)濾(lv)波(bo)器(qi)等(deng)。線(xian)圈(quan)中(zhong)有(you)電(dian)流(liu)通(tong)過(guo)時(shi),線(xian)圈(quan)的(de)周(zhou)圍(wei)就(jiu)會(hui)產(chan)生(sheng)磁(ci)場(chang)。當(dang)線(xian)圈(quan)中(zhong)電(dian)流(liu)發(fa)生(sheng)變(bian)化(hua)時(shi),其(qi)周(zhou)圍(wei)的(de)磁(ci)場(chang)也(ye)產(chan)生(sheng)相(xiang)應(ying)的(de)變(bian)化(hua),此(ci)變(bian)化(hua)的(de)磁(ci)場(chang)可(ke)使(shi)線(xian)圈(quan)自(zi)身(shen)產(chan)生(sheng)感(gan)應(ying)電(dian)動(dong)勢(shi)(電動勢用以表示有源元件理想電源的端電壓),這(zhe)就(jiu)是(shi)自(zi)感(gan)。兩(liang)個(ge)電(dian)感(gan)線(xian)圈(quan)相(xiang)互(hu)靠(kao)近(jin)時(shi),一(yi)個(ge)電(dian)感(gan)線(xian)圈(quan)的(de)磁(ci)場(chang)變(bian)化(hua)將(jiang)影(ying)響(xiang)另(ling)一(yi)個(ge)電(dian)感(gan)線(xian)圈(quan),這(zhe)種(zhong)影(ying)響(xiang)就(jiu)是(shi)互(hu)感(gan)。互(hu)感(gan)的(de)大(da)小(xiao)取(qu)決(jue)於(yu)電(dian)感(gan)線(xian)圈(quan)的(de)自(zi)感(gan)與(yu)兩(liang)個(ge)電(dian)感(gan)線(xian)圈(quan)耦(ou)合(he)的(de)程(cheng)度(du),利(li)用(yong)此(ci)原(yuan)理(li)製(zhi)成(cheng)的(de)元(yuan)件(jian)叫(jiao)做(zuo)互(hu)感(gan)器(qi)。
電感量值的物理意義是:在電流包圍的總麵積中產生的磁通量與導體回路包圍的電流強度之比。實際RFID天線調試的時候,讀寫器天線電感量值可以通過阻抗分析儀測出,在條件有限的情況下,也常采用估算公式進行估算。假定導體的直徑d與導體回路直徑D之比很小(d/D<0.001),則導體回路的電感可簡單地近似為:
式中:N為繞線天線的匝數;R為天線線圈的半徑;d為導體的內徑;μ0為自由空間磁導率。
線圈匝數還有以下的近似公式進行估算,在實際應用中,兩個公式可以進行對照使用:
式中:L為線圈電感,單位為nH;A為天線線圈包圍麵積,單位為cm2;D為導線直徑,單位為cm.
1.6 天線的品質因數
天線的性能還與它的品質因數有關。Q既影響能量的傳輸效率,也影響頻率的選擇性。過高的Q值雖然能使天線的輸出能量增大,但是同時,讀寫器的通帶特性也會受到影響。所以在實際調節Q值的時候,要進行折中的考慮。調節Q值,是通過在R-L-C等效電路上麵串接一個電阻R1實現的,具體的公式如下:
Q=ωL/(R+R1) (8)
2 實際調試
RFIDtianxiandeshejixuyaokaolvhenduoyinsu,shangshujigeshishijidetiaoshiguochengzhongdezhongyaowulicanliang。mingqueleshangshuwulicanliangzhihou,zaigeidingqiwangjuliyijigongzuopinlvdengRFID係統要求之後,在條件有限的情況下,就可以根據需要進行簡單的RFID天線設計了。下麵給出一個應用於軌道交通的RFID天線設計的實際例子。此處設計一個期望最大作用距離為1 cm,工作頻率在125 kHz的繞線天線,係統要求閱讀器天線線圈的半徑盡量小,不超過1 cm.具體步驟如下:
首先確定天線的最佳半徑,不宜太大也不宜太小,理想的最佳天線半徑應當為期望作用距離的2倍bei,在zai實shi際ji設she計ji的de時shi候hou,應ying當dang根gen據ju設she計ji需xu求qiu在zai設she計ji中zhong進jin行xing折zhe衷zhong的de考kao慮lv,在zai保bao證zheng係xi統tong要yao求qiu的de前qian提ti下xia,盡jin可ke能neng地di接jie近jin最zui佳jia值zhi。本ben例li中zhong閱yue讀du器qi天tian線xian的de最zui佳jia半ban徑jing應ying當dang為wei1.4
cm,但是考慮到係統對於天線半徑尺寸的要求不超過1 cm,所以實際中取半徑為0.8
cm.在允許的條件下,為使效果更好,可以加入一個帶有適量鐵氧體的天線骨架、天線以及閱讀器板子,如圖3所示。
[page]
其次,再根據工作頻率以及係統本身的要求確定電感量的大致範圍,本係統中取電感量在600~800μH.再者,用電感量與匝數關係的經驗公式大致估計繞線的匝數。本例中,取電感量在700μH,用直徑為0.27 mm的銅導線進行繞製天線。由公式

計算出匝數大概在266圈左右,繞完後,根據湯姆遜公式

選取所用的調諧電容。用相關的儀器(如頻譜儀和矢量網絡分析儀)celiangchuxiezhenpinlv,zhegeshihou,youyudianganzhishigusuande,erqiexuanyongdepipeidianrongyeshijuyouyidingbiaochengzhide,bingbunengzuodaoyujisuanyizhi,suoyizongshihuicunzaiwucha。
由(you)於(yu)調(tiao)諧(xie)的(de)電(dian)容(rong)是(shi)已(yi)知(zhi)的(de),而(er)且(qie)有(you)固(gu)定(ding)的(de)標(biao)稱(cheng)值(zhi),可(ke)以(yi)根(gen)據(ju)湯(tang)姆(mu)遜(xun)公(gong)式(shi)由(you)這(zhe)個(ge)時(shi)候(hou)測(ce)得(de)的(de)頻(pin)率(lv)反(fan)推(tui)出(chu)在(zai)恰(qia)好(hao)達(da)到(dao)此(ci)頻(pin)率(lv)的(de)時(shi)候(hou)所(suo)需(xu)要(yao)的(de)電(dian)感(gan)的(de)大(da)小(xiao),即(ji)繞(rao)線(xian)線(xian)圈(quan)電(dian)感(gan)。看(kan)頻(pin)率(lv)的(de)偏(pian)移(yi)情(qing)況(kuang),按(an)電(dian)感(gan)量(liang)估(gu)算(suan)公(gong)式(shi)逐(zhu)步(bu)增(zeng)加(jia)或(huo)者(zhe)減(jian)少(shao)線(xian)圈(quan)匝(za)數(shu),直(zhi)到(dao)達(da)到(dao)指(zhi)定(ding)的(de)諧(xie)振(zhen)頻(pin)率(lv)125 kHz.用矢量網絡分析儀以及頻譜儀測諧振頻率的實際圖片如圖4,圖5所示。
3 結 語
根據矢量網絡分析儀以及頻譜分析儀的顯示,本RFID天線已經成功諧振在125 kHz.接下來便可根據所提到的公式,計算出調Q值所用的電阻的大小,然後根據係統的要求進行進一步的聯調測試了。實際工程中,RFID讀寫器及標簽有各種電路結構,但是歸根到底都是等效成R-L-C諧振電路的,比如說PHILIPS的MIFARE係列讀寫器的天線設計,所以本文對於各種RFID係統的天線設計具有普遍的指導意義。
- 一種RFID係統天線的設計和實現
- 實際RFID天線設計主要考慮物理參量
- 對RFID天線的設計實際調試
射頻識別技術(Radio Frequency Identification,縮寫RFID),射頻識別技術是20世紀90年代開始興起的一種自動識別技術,射頻識別技術是一項利用射頻信號通過空間耦合(交變磁場或電磁場)實現無接觸信息傳遞並通過所傳遞的信息達到識別目的的技術。RFID應用將繼續以供應物流領域為主,在這個領域用RFID收發器進行包括各種各樣的可移動貨物/產品的記錄和跟蹤,在RFID收發器(信用卡大小的塑料/紙標簽,內含芯片、射頻部分和天線)上的必要存儲將繼續成為主要的應用。另外的一個可能應用就是將收發器標簽貼到紡織品、藥品包裝或者甚至是單個藥盒內。然而,未來RFID還將被用在如地方公共交通、汽車遙控鑰匙、傳送輪胎氣壓以及在移動電話等領域內。本文主要通過實際工作中對於各種RFID讀寫係統的對比,總結研究RFID讀寫器天線設計中比較實用的方法。
1 實際RFID天線設計主要考慮物理參量
1.1 磁場強度
磁場強度是線圈anzashudeyigebiaozhengliang,fanyingcichangdeyuanqiangruo。ciganyingqiangduzebiaoshicichangyuanzaitedinghuanjingxiadexiaoguo。dagebuqiadangdebifang,niyongyigegudingdeliquyidongyigewuti,danshijiduiwutichanshengdexiaoguobingbuyiyang,birunishijiezhuyugongjude,yekenengnishilideweizhibutonghuofangxiangbutong。duinilaishuoniyongleyigequedingdeli。erduiwutiqueyouyigeshijideganshou,nizuoyongdelihaobicichangqiangdu,erwutideshijiganshouhaobiciganyingqiangdu。tadingyiweicitongmidu[1]B除以真空磁導率μ0再減去磁化強度μ,即 -μH為矢量。這樣,在恒定磁場中磁場強度的閉合環路積分僅與環路所鏈環的傳導電流Ic有關而不含束縛分子電流。
運動的電荷或者說電流會產生磁場,磁場的大小用磁場強度來表示。RFID天線的作用距離,與天線線圈電流所產生的磁場強度緊密相關。
圓形線圈的磁場強度(在近場耦合有效的前提下,近場耦合有效與否的判斷在1.3節)可用式(1)進行計算:
對於邊長ab的矩形導體回路,在距離為x處的磁場強度曲線可用下式計算。


[page]
1.2 最佳天線直徑
在與發射天線的距離x為常數並簡單地假定發射天線線圈中電流I不變的情況下,如果改變發送天線的半徑R時,就可以根據距離x與天線半徑R之間的關係得到最大的磁場強度H.這意味著:對於每種射頻識別係統的閱讀器作用距離都對應有一個最佳的天線半徑R.如果選擇的天線半徑過大,那麼在與發射天線的距離x=0處,磁場強度是很小的;相反,如果天線半徑的選擇太小,那麼其磁場強度則以z的三次方的比例衰減,如圖2所示。

從數學上來說,也即對R求導,如式(3)所示:

從公式的零點中計算是拐點以及函數的最大值。
發射天線的最佳半徑對應於最大期望閱讀器的2孺值。第二個零點的負號表示導電路的磁場強度在x軸的兩個方向傳播。這裏需要指出的是,使用此式的前提條件,是近場耦合有效。下麵簡介近場耦合的概念。
1.3 近場耦合
真正使用前麵所提到的公式時,有效的邊界條件為:
d《R以及x<λ/2π,原(yuan)因(yin)是(shi)當(dang)超(chao)出(chu)上(shang)述(shu)範(fan)圍(wei)時(shi),近(jin)場(chang)耦(ou)合(he)便(bian)失(shi)去(qu)作(zuo)用(yong)了(le),開(kai)始(shi)過(guo)渡(du)到(dao)遠(yuan)距(ju)離(li)的(de)電(dian)磁(ci)場(chang)。一(yi)個(ge)導(dao)體(ti)回(hui)路(lu)上(shang)的(de)初(chu)始(shi)磁(ci)場(chang)是(shi)從(cong)天(tian)線(xian)上(shang)開(kai)始(shi)的(de)。在(zai)磁(ci)場(chang)的(de)傳(chuan)輸(shu)過(guo)程(cheng)中(zhong),由(you)於(yu)感(gan)應(ying)的(de)增(zeng)加(jia)也(ye)形(xing)成(cheng)電(dian)場(chang)。這(zhe)樣(yang),最(zui)原(yuan)始(shi)的(de)純(chun)磁(ci)場(chang)就(jiu)連(lian)續(xu)不(bu)斷(duan)地(di)轉(zhuan)換(huan)成(cheng)了(le)電(dian)磁(ci)場(chang)。當(dang)距(ju)離(li)大(da)於(yu)λ/2π的時候,電磁場最終擺脫天線,並作為電磁波進入空間。在作為電磁波進入空間之前的這個範圍,就叫做天線的近場,本文所涉及的RFID天線設計,是基於近場耦合的概念。所以距離應當限定在上述的範圍之內。
1.4 調諧
RFID係統讀寫器可以等效為一個R-L-C串聯電路,其中R為繞線線圈的電阻,L為wei天tian線xian自zi身shen的de電dian感gan。一yi般ban調tiao諧xie過guo程cheng當dang中zhong,由you於yu天tian線xian線xian圈quan本ben身shen的de電dian容rong對dui於yu諧xie振zhen的de影ying響xiang很hen小xiao,可ke以yi忽hu略lve不bu計ji,故gu為wei了le使shi閱yue讀du器qi在zai工gong作zuo頻pin率lv下xia天tian線xian線xian圈quan獲huo得de最zui大da的de電dian流liu,需xu要yao外wai加jia一yi個ge電dian容rongC,完成對天線的調諧,達到這一目的。而調諧電容,天線的電感以及工作頻率之間的關係,可以通過以下湯姆遜公式求得,即:
[page]
1.5 電感的估算
電感器(電感線圈)和變壓器均是用絕緣導線(例如漆包線、紗包線等)繞(rao)製(zhi)而(er)成(cheng)的(de)電(dian)磁(ci)感(gan)應(ying)元(yuan)件(jian),也(ye)是(shi)電(dian)子(zi)電(dian)路(lu)中(zhong)常(chang)用(yong)的(de)元(yuan)器(qi)件(jian)之(zhi)一(yi),相(xiang)關(guan)產(chan)品(pin)如(ru)共(gong)模(mo)濾(lv)波(bo)器(qi)等(deng)。線(xian)圈(quan)中(zhong)有(you)電(dian)流(liu)通(tong)過(guo)時(shi),線(xian)圈(quan)的(de)周(zhou)圍(wei)就(jiu)會(hui)產(chan)生(sheng)磁(ci)場(chang)。當(dang)線(xian)圈(quan)中(zhong)電(dian)流(liu)發(fa)生(sheng)變(bian)化(hua)時(shi),其(qi)周(zhou)圍(wei)的(de)磁(ci)場(chang)也(ye)產(chan)生(sheng)相(xiang)應(ying)的(de)變(bian)化(hua),此(ci)變(bian)化(hua)的(de)磁(ci)場(chang)可(ke)使(shi)線(xian)圈(quan)自(zi)身(shen)產(chan)生(sheng)感(gan)應(ying)電(dian)動(dong)勢(shi)(電動勢用以表示有源元件理想電源的端電壓),這(zhe)就(jiu)是(shi)自(zi)感(gan)。兩(liang)個(ge)電(dian)感(gan)線(xian)圈(quan)相(xiang)互(hu)靠(kao)近(jin)時(shi),一(yi)個(ge)電(dian)感(gan)線(xian)圈(quan)的(de)磁(ci)場(chang)變(bian)化(hua)將(jiang)影(ying)響(xiang)另(ling)一(yi)個(ge)電(dian)感(gan)線(xian)圈(quan),這(zhe)種(zhong)影(ying)響(xiang)就(jiu)是(shi)互(hu)感(gan)。互(hu)感(gan)的(de)大(da)小(xiao)取(qu)決(jue)於(yu)電(dian)感(gan)線(xian)圈(quan)的(de)自(zi)感(gan)與(yu)兩(liang)個(ge)電(dian)感(gan)線(xian)圈(quan)耦(ou)合(he)的(de)程(cheng)度(du),利(li)用(yong)此(ci)原(yuan)理(li)製(zhi)成(cheng)的(de)元(yuan)件(jian)叫(jiao)做(zuo)互(hu)感(gan)器(qi)。
電感量值的物理意義是:在電流包圍的總麵積中產生的磁通量與導體回路包圍的電流強度之比。實際RFID天線調試的時候,讀寫器天線電感量值可以通過阻抗分析儀測出,在條件有限的情況下,也常采用估算公式進行估算。假定導體的直徑d與導體回路直徑D之比很小(d/D<0.001),則導體回路的電感可簡單地近似為:
式中:N為繞線天線的匝數;R為天線線圈的半徑;d為導體的內徑;μ0為自由空間磁導率。
線圈匝數還有以下的近似公式進行估算,在實際應用中,兩個公式可以進行對照使用:
1.6 天線的品質因數
天線的性能還與它的品質因數有關。Q既影響能量的傳輸效率,也影響頻率的選擇性。過高的Q值雖然能使天線的輸出能量增大,但是同時,讀寫器的通帶特性也會受到影響。所以在實際調節Q值的時候,要進行折中的考慮。調節Q值,是通過在R-L-C等效電路上麵串接一個電阻R1實現的,具體的公式如下:
Q=ωL/(R+R1) (8)
2 實際調試
RFIDtianxiandeshejixuyaokaolvhenduoyinsu,shangshujigeshishijidetiaoshiguochengzhongdezhongyaowulicanliang。mingqueleshangshuwulicanliangzhihou,zaigeidingqiwangjuliyijigongzuopinlvdengRFID係統要求之後,在條件有限的情況下,就可以根據需要進行簡單的RFID天線設計了。下麵給出一個應用於軌道交通的RFID天線設計的實際例子。此處設計一個期望最大作用距離為1 cm,工作頻率在125 kHz的繞線天線,係統要求閱讀器天線線圈的半徑盡量小,不超過1 cm.具體步驟如下:
首先確定天線的最佳半徑,不宜太大也不宜太小,理想的最佳天線半徑應當為期望作用距離的2倍bei,在zai實shi際ji設she計ji的de時shi候hou,應ying當dang根gen據ju設she計ji需xu求qiu在zai設she計ji中zhong進jin行xing折zhe衷zhong的de考kao慮lv,在zai保bao證zheng係xi統tong要yao求qiu的de前qian提ti下xia,盡jin可ke能neng地di接jie近jin最zui佳jia值zhi。本ben例li中zhong閱yue讀du器qi天tian線xian的de最zui佳jia半ban徑jing應ying當dang為wei1.4
cm,但是考慮到係統對於天線半徑尺寸的要求不超過1 cm,所以實際中取半徑為0.8
cm.在允許的條件下,為使效果更好,可以加入一個帶有適量鐵氧體的天線骨架、天線以及閱讀器板子,如圖3所示。

[page]
其次,再根據工作頻率以及係統本身的要求確定電感量的大致範圍,本係統中取電感量在600~800μH.再者,用電感量與匝數關係的經驗公式大致估計繞線的匝數。本例中,取電感量在700μH,用直徑為0.27 mm的銅導線進行繞製天線。由公式
計算出匝數大概在266圈左右,繞完後,根據湯姆遜公式
選取所用的調諧電容。用相關的儀器(如頻譜儀和矢量網絡分析儀)celiangchuxiezhenpinlv,zhegeshihou,youyudianganzhishigusuande,erqiexuanyongdepipeidianrongyeshijuyouyidingbiaochengzhide,bingbunengzuodaoyujisuanyizhi,suoyizongshihuicunzaiwucha。
由(you)於(yu)調(tiao)諧(xie)的(de)電(dian)容(rong)是(shi)已(yi)知(zhi)的(de),而(er)且(qie)有(you)固(gu)定(ding)的(de)標(biao)稱(cheng)值(zhi),可(ke)以(yi)根(gen)據(ju)湯(tang)姆(mu)遜(xun)公(gong)式(shi)由(you)這(zhe)個(ge)時(shi)候(hou)測(ce)得(de)的(de)頻(pin)率(lv)反(fan)推(tui)出(chu)在(zai)恰(qia)好(hao)達(da)到(dao)此(ci)頻(pin)率(lv)的(de)時(shi)候(hou)所(suo)需(xu)要(yao)的(de)電(dian)感(gan)的(de)大(da)小(xiao),即(ji)繞(rao)線(xian)線(xian)圈(quan)電(dian)感(gan)。看(kan)頻(pin)率(lv)的(de)偏(pian)移(yi)情(qing)況(kuang),按(an)電(dian)感(gan)量(liang)估(gu)算(suan)公(gong)式(shi)逐(zhu)步(bu)增(zeng)加(jia)或(huo)者(zhe)減(jian)少(shao)線(xian)圈(quan)匝(za)數(shu),直(zhi)到(dao)達(da)到(dao)指(zhi)定(ding)的(de)諧(xie)振(zhen)頻(pin)率(lv)125 kHz.用矢量網絡分析儀以及頻譜儀測諧振頻率的實際圖片如圖4,圖5所示。

3 結 語
根據矢量網絡分析儀以及頻譜分析儀的顯示,本RFID天線已經成功諧振在125 kHz.接下來便可根據所提到的公式,計算出調Q值所用的電阻的大小,然後根據係統的要求進行進一步的聯調測試了。實際工程中,RFID讀寫器及標簽有各種電路結構,但是歸根到底都是等效成R-L-C諧振電路的,比如說PHILIPS的MIFARE係列讀寫器的天線設計,所以本文對於各種RFID係統的天線設計具有普遍的指導意義。
特別推薦
- 噪聲中提取真值!瑞盟科技推出MSA2240電流檢測芯片賦能多元高端測量場景
- 10MHz高頻運行!氮矽科技發布集成驅動GaN芯片,助力電源能效再攀新高
- 失真度僅0.002%!力芯微推出超低內阻、超低失真4PST模擬開關
- 一“芯”雙電!聖邦微電子發布雙輸出電源芯片,簡化AFE與音頻設計
- 一機適配萬端:金升陽推出1200W可編程電源,賦能高端裝備製造
技術文章更多>>
- 三星上演罕見對峙:工會集會討薪,股東隔街抗議
- 摩爾線程實現DeepSeek-V4“Day-0”支持,國產GPU適配再提速
- 築牢安全防線:智能駕駛邁向規模化應用的關鍵挑戰與破局之道
- GPT-Image 2:99%文字準確率,AI生圖告別“鬼畫符”
- 機器人馬拉鬆的勝負手:藏在主板角落裏的“時鍾戰爭”
技術白皮書下載更多>>
- 車規與基於V2X的車輛協同主動避撞技術展望
- 數字隔離助力新能源汽車安全隔離的新挑戰
- 汽車模塊拋負載的解決方案
- 車用連接器的安全創新應用
- Melexis Actuators Business Unit
- Position / Current Sensors - Triaxis Hall
熱門搜索
Tektronix
Thunderbolt
TI
TOREX
TTI
TVS
UPS電源
USB3.0
USB 3.0主控芯片
USB傳輸速度
usb存儲器
USB連接器
VGA連接器
Vishay
WCDMA功放
WCDMA基帶
Wi-Fi
Wi-Fi芯片
window8
WPG
XILINX
Zigbee
ZigBee Pro
安規電容
按鈕開關
白色家電
保護器件
保險絲管
北鬥定位
北高智

