幹擾對CDMA手機接收器測試的影響
發布時間:2011-08-18
中心議題:
- 噪聲對手機接收器的影響
- 手機接收信道上的噪聲源
- 頻譜噪聲是如何進入手機接收信道
解決方案:
- 手機接收器信道敏感性測試
在對移動電話進行測試時,了解可能的幹擾信號源及其在手機前端所表現出來的效果是很重要的,它可以有助於確定接收器測試對RF幹擾的感應情況,並找出消除幹擾信號的可行方法。本文介紹CDMA手機接收器在測試時遇到的幹擾特性,並加以詳細分析,提出參考解決方案。
移動電話測試一個主要關心的問題是它在很寬動態範圍內的響應情況。CDMA手機與模擬或TDMA手機比較尤其如此,因為它在很寬的帶寬範圍內具有80dB動態範圍,這種大動態範圍是CDMA技術的一個獨特優點,CDMA手機和基站的發射功率平均起來要比其它技術都低。由於這種手機能收到-104dBm以下的信號,因此規定頻譜內的噪聲會影響最低性能標準如TIA/EIA-98C中列出的多項測試,所以了解幹擾對CDMA手機接收器測試的影響是非常重要的。
1 噪聲影響
對手機進行測試時,考慮噪聲之前首先應了解手機的結構。手機裏既有發射器(TX)又有接收器(RX),發射器發射功率在+30dBm到-55dBm之間,接受器信號接收範圍則在-20dBm到-108dBm之間。CDMA手機的發射器和接收器動態範圍都很大,超過80dB,最大功率(Ⅲ級手機為+23dBm)和接收器靈敏度(-104dBm)是需要了解的最重要的指標。

CDMA手(shou)機(ji)測(ce)試(shi)要(yao)進(jin)行(xing)多(duo)項(xiang)試(shi)驗(yan)以(yi)保(bao)證(zheng)手(shou)機(ji)符(fu)合(he)特(te)定(ding)的(de)標(biao)準(zhun)要(yao)求(qiu)。例(li)如(ru)測(ce)試(shi)手(shou)機(ji)發(fa)射(she)器(qi)功(gong)率(lv)保(bao)證(zheng)傳(chuan)輸(shu)功(gong)率(lv)範(fan)圍(wei)在(zai)很(hen)寬(kuan)動(dong)態(tai)範(fan)圍(wei)內(nei)都(dou)是(shi)精(jing)確(que)的(de),特(te)別(bie)要(yao)測(ce)試(shi)手(shou)機(ji)最(zui)大(da)傳(chuan)輸(shu)功(gong)率(lv),確(que)保(bao)手(shou)機(ji)輻(fu)射(she)功(gong)率(lv)靠(kao)近(jin)最(zui)大(da)EIRP(有效各向同性輻射功率)規定的最小值,Ⅲ級手機發射功率範圍是+23dBm~+30dBm。yuzaoshengxiangbiyouyuyiqiceliangdaodegonglvjiaoda,yincizaoshengyibanzaicededezhenggegonglvzhongzhishiyigewuguanjinyaodeyinsu。lingwaishoujifasheqiyeyaoceshikanshifoufuhezuidifasheyaoqiu,CDMA最低功率發射規定手機發射必須小於-50dBm,即使在這種情況下,發射信道噪聲影響通常也是微不足道的,不會影響最低功率的測量。測量CDMA最低功率出現的問題一般是由使用的功率計噪聲最低限製引起的。
在手機接收信道上,接收器靈敏度測量將會受到噪聲的影響。CDMA手機接收器靈敏度規定為-104dBm,手機必須能夠以低於0.5%幀差錯率對以-104dBm發射的正向鏈路信號進行解調。Eb/Nt是表示手機準確接收和解調正向鏈路信號能力的參數,其中Eb是通信信道每位的能量,Nt是接收帶寬上的總噪聲,這有點像模擬電路中的信噪比(S/N)。當Eb/Nt比率增加時,接收器就能更好地準確解調出信號;而隨著Eb/Nt降低,手機則很有可能錯誤解調正向鏈路信號。正向鏈路通信信道的實際位能量要比總正向鏈路功率-104dBm規定值低15.6dB,換言之,在測量中手機接收的實際信號是-119.6dBm,從這點出發,我們將在混合了Walsh代碼的內容裏參考正向鏈路信號。
genjushoujijieshouqishejiderongchabutong,taduizaoshengdelingminduyebuxiangtong,tongchangdangshoujixingnengchuyubianyuanzhishiyibanzhengxianglianluxindaoshangdouhuiyouzaoshengwenti,youhenduoyinsuhuiyingxiangEb/Nt中的Nt。
2 接收信道上的噪聲源
2.1 KTB底噪聲
Nt的本質是熱噪聲,這是環境中永遠存在的。熱噪聲又被稱作KTB底噪聲,其中:K=波爾茲曼常數(1.38×10-23);T=參考溫度(開氏);B=接收器有效噪聲帶寬
對於工作在1.23MHz帶寬的CDMA係統,熱噪聲約-113dBm。你也許會問,接收器是如何通過-113dBm底噪聲來解調-119dBm通信信號的?這是因為CDMA處理增益有將近21dB,可將14.4kbps/9.60kbps轉到1.228Mcps速率。
[page]
2.2 元件噪聲
收器前端元件(下轉換器和放大器)的噪聲也會產生Nt,影響手機靈敏度,即正向鏈路功率測試級所達到的-104dBm規定靈敏度水平。另外其它所有噪聲因素都會提高Nt,同時影響靈敏度測試的成功。與處於性能指標邊緣的手機比較,具有一定容差的手機有更大空間容納增加的噪聲。
2.3 環境噪聲
還有眾多來源不明的噪聲也會降低正向通信信道的Eb/Nt。如(ru)任(ren)何(he)有(you)發(fa)射(she)功(gong)率(lv)的(de)電(dian)路(lu)都(dou)會(hui)產(chan)生(sheng)頻(pin)譜(pu)噪(zao)聲(sheng),大(da)小(xiao)取(qu)決(jue)於(yu)信(xin)號(hao)本(ben)身(shen)或(huo)兩(liang)個(ge)幹(gan)擾(rao)信(xin)號(hao)互(hu)調(tiao)是(shi)否(fou)有(you)較(jiao)高(gao)功(gong)率(lv)落(luo)在(zai)被(bei)測(ce)帶(dai)寬(kuan)上(shang),還(hai)要(yao)看(kan)它(ta)是(shi)否(fou)和(he)靈(ling)敏(min)度(du)測(ce)試(shi)一(yi)起(qi)出(chu)現(xian)。外(wai)部(bu)單(dan)元(yuan)也(ye)會(hui)產(chan)生(sheng)幹(gan)擾(rao)噪(zao)聲(sheng),測(ce)試(shi)800MHz CDMA手機時對AMPS係xi統tong尤you其qi如ru此ci。甚shen至zhi有you報bao告gao指zhi出chu微wei波bo爐lu也ye會hui幹gan擾rao手shou機ji靈ling敏min度du測ce試shi,有you很hen多duo生sheng產chan工gong廠chang午wu餐can地di點dian靠kao近jin生sheng產chan線xian,如ru果guo在zai中zhong午wu或huo休xiu息xi時shi間jian發fa現xian大da量liang靈ling敏min度du問wen題ti,你ni應ying該gai知zhi道dao去qu哪na裏li查zha找zhao原yuan因yin。
2.4 緊密接觸下的測試
在(zai)生(sheng)產(chan)環(huan)境(jing)下(xia),有(you)很(hen)多(duo)測(ce)試(shi)台(tai)根(gen)據(ju)測(ce)試(shi)方(fang)案(an)在(zai)各(ge)階(jie)段(duan)對(dui)手(shou)機(ji)進(jin)行(xing)測(ce)試(shi),這(zhe)就(jiu)是(shi)說(shuo)正(zheng)在(zai)某(mou)個(ge)階(jie)段(duan)測(ce)試(shi)的(de)手(shou)機(ji)會(hui)幹(gan)擾(rao)另(ling)一(yi)個(ge)在(zai)不(bu)同(tong)階(jie)段(duan)測(ce)試(shi)的(de)手(shou)機(ji)。一(yi)般(ban)來(lai)講(jiang),被(bei)幹(gan)擾(rao)的(de)手(shou)機(ji)測(ce)試(shi)的(de)正(zheng)是(shi)靈(ling)敏(min)度(du)。記(ji)住(zhu)正(zheng)向(xiang)鏈(lian)路(lu)設(she)定(ding)在(zai)-104dBm,主要幹擾可能是鄰近手機正在接收一個大的正向鏈路信號,而正好一個手機又在進行靈敏度測試,其正向鏈路信號設定在-104dBm或以下。將正向鏈路設定在較高水平的手機測試包括動態範圍、最小發射功率和開環範圍,一般來講這些測試的正向鏈路為-25dBm。

2.5 接收器和發射器耦合
影響Nt大小的另一個噪聲源是手機發射器與接收器的交*耦ou合he,這zhe是shi手shou機ji設she計ji的de問wen題ti,由you於yu接jie收shou和he發fa射she信xin道dao之zhi間jian沒mei有you適shi當dang隔ge離li或huo匹pi配pei造zao成cheng。因yin為wei是shi設she計ji問wen題ti,所suo以yi解jie決jue方fang法fa的de成cheng本ben很hen高gao而er且qie很hen困kun難nan。正zheng向xiang和he反fan向xiang鏈lian路lu間jian隔ge45或80MHz,故分別對單元波段和PCS波段來說幹擾在鏈路之間是高度隔離的,在手機前端會發現從一個鏈路到另一個鏈路的串話現象,這是手機前端設計的問題。
3 接收器信道敏感性
既然頻譜噪聲主要來源上麵都已列出,現在我們來看一下這些頻譜噪聲是如何進入手機接收信道的。
通常我們采用兩種方法測試手機,最常用的是通過物理RF連接進行測試,這種連接常被稱為“過電”連接,而不常用的測試連接方法則是直接通過手機天線。我們假定這裏討論的所有測試都是通過物理“過電”連接器進行,根據手機生產工藝決定是否連接天線。為了發現最壞的情況,我們假定天線已裝配到手機裏。
[page]
多數情況下,手機會因屏蔽很差的RF電纜或未連接的天線端口很容易受到噪聲影響。一般來講天線端口是噪聲的主要來源,特別是如果天線是在測試時才接上。圖3表示正在進行靈敏度試驗的手機對另一個正向鏈路功率-25dBm手機可能產生的影響情況,手機1是正在進行測試的手機,具有較高的-25dBm正向鏈路功率。由於手機1發射信道功率為-25dBm,假設未連接開關的衰減是20dB,那麼通過天線未連接端口泄露出的信號可能高達-45dBm。

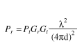
衰減值大小因設計而變化。由於通過天線泄漏的信號是經由空氣傳播,其傳播衰減可用Friis轉換方程計算:

其中:Pr=接收功率;Pt=傳輸功率;Gr=天線傳輸增益;Gt=天線接收增益;λ=波長;d=Tx與Rx之間的距離
假設在最壞情況下,手機1距離手機2 1米遠(假定隻有遠場效應,近場因素很難考慮),將兩個手機平行對準且手機之間沒有衰減材料,則手機2的天線會收到一個高達-83.92dBm的信號。這樣手機2的接收器就會有-103.92dBm幹擾信號,因為假設天線到過電開關的衰減為20dB。zhegelizishuomingleyigeshoujizailingyishoujijieshouxindaoshangchanshengzaoshengdeyibanyuanyin,genjulizhongsuozuojiashe,zaishijizhixingzhonghaiyouhenduoqingkuanghuiyinqibutongdejieguo,zheyeweirenshinazhongzaoshenghuicongyigeshoujijinrulingyigeshoujixindaotigonglejichu。fangwei、距離、開關衰減、屏蔽、天線設計和實現方式等,這些因素都會在引入噪聲的整個轉換中發揮作用。
4 幾點注意事項
- 如果是通過“過電”連lian接jie測ce試shi,天tian線xian沒mei有you連lian接jie比bi連lian接jie了le的de要yao好hao。由you於yu手shou機ji設she計ji是shi圍wei繞rao在zai所suo要yao求qiu頻pin段duan有you效xiao發fa射she和he接jie收shou信xin號hao,如ru果guo通tong過guo物wu理li過guo電dian連lian接jie來lai測ce試shi,天tian線xian還hai是shi能neng夠gou接jie收shou外wai來lai信xin號hao,加jia在zai發fa射she和he接jie收shou器qi前qian端duan。接jie上shang天tian線xian後hou,也ye可ke能neng在zai測ce量liang手shou機ji發fa射she端duan時shi以yi較jiao高gao功gong率lv把ba大da信xin號hao發fa射she到dao外wai麵mian去qu。在zai希xi望wang測ce試shi頻pin率lv上shang消xiao除chu天tian線xian端duan口kou匹pi配pei(從天線連接器上取下天線)後,手機能在較高衰減電平上接收和發射信號。
- 由於外界幹擾會進入被測RF電纜與手機的連接,因此使用適當屏蔽的電纜線是很重要的,最好是用有三重屏蔽電纜的N型連接器。
- ceshishiduishoujijinxingpingbihuidadashuaijianlaiziqitashoujihuobumingpinpuzaoshengyuandewaijieganrao,qianmianshoujiduishoujiganraodelizizaijuticeshixuyaoshiquedingpingbishuaijianhenyouyong。pingbishoujibushouwailaiganraobingbushixiaochuzaoshengdeweiyibanfa,zaixichulisuoyoubeiceshoujipinlvyenengyouxiaodibimianganrao,zheyaoqiuyougengjiafuzadekongzhiruanjianshixindaoshuhepinlvchushihua,yixiaochupinlvchongtu。
- 密切關注正在使用兩個相同頻率的手機的距離還能實現頻率重複使用,手機對手機幹擾的例子在確定安, 全重複使用距離上非常有用。
5 本文結論
處理接收器幹擾問題時,特別是在生產環境中,找出因靈敏度測試失效而使產量降低的原因不是一件容易的事,工廠的位置、工作時間、測(ce)試(shi)方(fang)式(shi)以(yi)及(ji)其(qi)它(ta)看(kan)似(si)不(bu)相(xiang)關(guan)的(de)因(yin)素(su)都(dou)會(hui)造(zao)成(cheng)隨(sui)機(ji)性(xing)靈(ling)敏(min)度(du)失(shi)效(xiao)。退(tui)回(hui)一(yi)步(bu)去(qu)認(ren)識(shi)幹(gan)擾(rao)噪(zao)聲(sheng)主(zhu)要(yao)來(lai)源(yuan)和(he)這(zhe)些(xie)噪(zao)聲(sheng)源(yuan)如(ru)何(he)影(ying)響(xiang)接(jie)收(shou)器(qi)前(qian)端(duan),這(zhe)樣(yang)對(dui)於(yu)解(jie)決(jue)靈(ling)敏(min)度(du)測(ce)試(shi)通(tong)過(guo)率(lv)低(di)的(de)問(wen)題(ti)會(hui)更(geng)加(jia)容(rong)易(yi)一(yi)些(xie)。
- 噪聲中提取真值!瑞盟科技推出MSA2240電流檢測芯片賦能多元高端測量場景
- 10MHz高頻運行!氮矽科技發布集成驅動GaN芯片,助力電源能效再攀新高
- 失真度僅0.002%!力芯微推出超低內阻、超低失真4PST模擬開關
- 一“芯”雙電!聖邦微電子發布雙輸出電源芯片,簡化AFE與音頻設計
- 一機適配萬端:金升陽推出1200W可編程電源,賦能高端裝備製造
- 築基AI4S:摩爾線程全功能GPU加速中國生命科學自主生態
- 一秒檢測,成本降至萬分之一,光引科技把幾十萬的台式光譜儀“搬”到了手腕上
- AI服務器電源機櫃Power Rack HVDC MW級測試方案
- 突破工藝邊界,奎芯科技LPDDR5X IP矽驗證通過,速率達9600Mbps
- 通過直接、準確、自動測量超低範圍的氯殘留來推動反滲透膜保護
- 車規與基於V2X的車輛協同主動避撞技術展望
- 數字隔離助力新能源汽車安全隔離的新挑戰
- 汽車模塊拋負載的解決方案
- 車用連接器的安全創新應用
- Melexis Actuators Business Unit
- Position / Current Sensors - Triaxis Hall


