PCB 中的電源平麵諧振分析
發布時間:2024-02-26 責任編輯:lina
【導讀】我(wo)們(men)習(xi)慣(guan)從(cong)電(dian)路(lu)圖(tu)和(he)等(deng)效(xiao)電(dian)路(lu)的(de)角(jiao)度(du)來(lai)分(fen)析(xi)電(dian)子(zi)係(xi)統(tong),但(dan)這(zhe)種(zhong)思(si)路(lu)最(zui)終(zhong)會(hui)遇(yu)到(dao)阻(zu)礙(ai),我(wo)們(men)必(bi)須(xu)考(kao)慮(lv)到(dao)實(shi)際(ji)電(dian)子(zi)係(xi)統(tong)的(de)高(gao)頻(pin)特(te)性(xing)。在(zai)實(shi)際(ji)的(de) PCB 中,電信號的傳播特性將在係統行為中發揮主導作用,其中包括像直流電源分配這種簡單的現象。直流電並非真正的直流電,會在 PCB 中激發強烈的諧振,由集成電路引入電路板的直流電更是如此。
本文要點:
在兩個導電平麵之間傳播的電磁波會激發平行板波導諧振。
在 PCB 的電源分配網絡 (PDN) 中,平行平麵結構內部會激發諧振,從而導致電路板邊緣出現強輻射。
這些諧振通常在 GHz 範圍內,在 PCB 中的 PDN 阻抗譜或帶有近場探頭的示波器上會有所顯示。
我(wo)們(men)習(xi)慣(guan)從(cong)電(dian)路(lu)圖(tu)和(he)等(deng)效(xiao)電(dian)路(lu)的(de)角(jiao)度(du)來(lai)分(fen)析(xi)電(dian)子(zi)係(xi)統(tong),但(dan)這(zhe)種(zhong)思(si)路(lu)最(zui)終(zhong)會(hui)遇(yu)到(dao)阻(zu)礙(ai),我(wo)們(men)必(bi)須(xu)考(kao)慮(lv)到(dao)實(shi)際(ji)電(dian)子(zi)係(xi)統(tong)的(de)高(gao)頻(pin)特(te)性(xing)。在(zai)實(shi)際(ji)的(de) PCB 中,電信號的傳播特性將在係統行為中發揮主導作用,其中包括像直流電源分配這種簡單的現象。直流電並非真正的直流電,會在 PCB 中激發強烈的諧振,由集成電路引入電路板的直流電更是如此。
每塊高速 PCB 都有電源平麵和接地平麵,電磁波傳播會激發平麵諧振。
PCB zhongdedianyuanpingmianhejiedipingmianbuzhishizhenggedianlubandianyuanfenpeidejichu,tamenxuyaoweiqijiantigongwendingdedianyuan。shijishang,renhedianlubandouhuichanshengzhongyaodeshuntaixiaoying,erdianlubanzhongdepingmiancengjiegouzuoyonghenda,keyijuedingjigaopinlvxiadefushepinpu。zhejiushidianyuanpingmianxiezhenfenxideyongwuzhidi,gaifenxiyouzhuyulejie PDN 電路描述的局限性,也能幫助我們判斷在何時需要從波導行為的角度考慮平麵布置。
1. 電源平麵諧振分析
觀察一下 PCB 中 PDN 的阻抗圖就會發現,在高頻時會出現一些諧振行為。根據電路板的結構和尺寸,這些頻率一般在 GHz 範圍內,或者更高。當 PCB zhongdedianyuanpingmianhejiedipingmianzhongdieshi,tamensuoxingchengdejiegouhuigouchengyigebankaifangdepingxingbanbodao,gaibodaojuyouyixiemingxiandexiezhen。xiatudeshilizhanshilezai PCB 上測得的 PDN 阻抗譜,其中包括在高頻下可以看到的諧振。
在 PDN 輸入端測得的 PDN 阻抗譜示例,500 MHz 以上可見平麵諧振。
PCB 中所有的實際電源平麵布置都有一些諧振,這些諧振可通過結構中的電磁波傳播輻射而激發。PDN 中所有的諧振都可以通過考慮係統結構來計算,係統結構看起來與平行板波導非常相似。雖然我們可能會認為 PDN 的行為與平行板波導完全相同,但實際上我們得出的隻是一個近似值;在 PCB 平麵之間穿過該區域的所有其他導體都會改變諧振頻率,使其與平行板波導的計算值不同。此外,PDN 的有限跨度將決定結構中的諧振,從而將平行板波導諧振更改為空腔諧振。
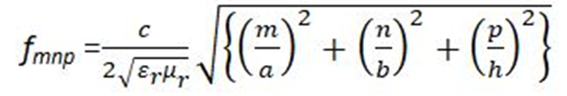
對於尺寸為 a 和 b 的電路板,電源平麵和接地平麵之間的間距為 h,則諧振頻率為:
一般空腔諧振器的諧振頻率,假設諧振器為矩形結構。
雖然上述公式並非普遍適用於每種 PDN 結構,但它為我們提供了最低階 PDN 諧振的近似值。最低階 PDN 阻抗的典型值從 100 MHz 到 1 GHz 以上不等,具體取決於電路板的尺寸和結構中平麵之間的間距。
芯片也有自己的 PDN,因此按照邏輯推理,它也會表現出一些諧振,可能會被電路板電源軌上傳入的瞬態振蕩所激發。然而,由於芯片及其 PDN 的幾何形狀,情況並非如此(極高頻率下除外)。
2. 從電路板過渡到芯片
當(dang)電(dian)源(yuan)的(de)入(ru)射(she)波(bo)撞(zhuang)擊(ji)到(dao)芯(xin)片(pian)上(shang)之(zhi)後(hou),芯(xin)片(pian)電(dian)源(yuan)軌(gui)上(shang)測(ce)得(de)的(de)電(dian)壓(ya)將(jiang)與(yu)電(dian)路(lu)板(ban)電(dian)源(yuan)軌(gui)上(shang)測(ce)得(de)的(de)電(dian)壓(ya)大(da)不(bu)相(xiang)同(tong)。集(ji)成(cheng)電(dian)路(lu)的(de)電(dian)源(yuan)軌(gui)與(yu)裸(luo)片(pian)上(shang)的(de)接(jie)地(di)平(ping)麵(mian)之(zhi)間(jian)的(de)間(jian)距(ju)要(yao)小(xiao)得(de)多(duo),因(yin)此(ci)電(dian)源(yuan)平(ping)麵(mian)諧(xie)振(zhen)的(de)頻(pin)率(lv)要(yao)高(gao)得(de)多(duo)。
下圖是以三種不同方式測量 PDN 阻抗的仿真示例。藍色曲線顯示的是 CMOS 集成電路在芯片主電源軌上測量的典型 PDN 阻抗曲線。這是直接在裸片上測量的曲線類型,經過了任何無源調節部分;請注意,其中不包括因鍵合線或引線框架而產生的引腳封裝電感。將該曲線與電路板阻抗平行對比,假定電路板阻抗為強去耦,在 10 kHz 以上具有相對平坦的阻抗。紅色曲線表示這兩個阻抗的平行等效值。
芯片 + 電路板封裝的總阻抗(紅色曲線)。請注意,裸片上看不到高阻抗諧振。
在此示例中,總阻抗在約 100 MHz 處出現反諧振,但相對較弱,隻有 1 歐姆左右。曲線的其餘部分非常平坦,在低頻時與電路板的低阻抗部分重疊,在高頻時與芯片的 PDN 阻抗重疊。芯片 PDN 也存在高阻抗諧振/反諧振對,但頻率很高,在上述窗格中看不到。PDN 上芯片電容的存在也有助於使芯片上測得的總阻抗保持在較低水平。
舉個簡單的例子,我們可以比較電路板和芯片最低階波導模式的阻抗。在上述示例中,電路板的最低階諧振僅為 2 GHz;如果我們假設裸片上的電源軌到接地平麵的距離僅比芯片尺寸約為 1 cm2 的 PCB 上的距離小 10 倍,那麼芯片 PDN 中的最低階諧振將超過 20 GHz。不應使用電路模型來計算集成電路或電路板 PDN 這類複雜結構中的確切諧振頻率。此類諧振最好使用場求解器應用來確定,該應用可直接從物理 layout 中提取數據。
Cadence 的 PCB 設(she)計(ji)和(he)分(fen)析(xi)軟(ruan)件(jian)可(ke)用(yong)於(yu)對(dui)電(dian)路(lu)板(ban)和(he)電(dian)路(lu)行(xing)為(wei)進(jin)行(xing)仿(fang)真(zhen),將(jiang)其(qi)作(zuo)為(wei)電(dian)源(yuan)平(ping)麵(mian)諧(xie)振(zhen)分(fen)析(xi)的(de)一(yi)部(bu)分(fen)。然(ran)後(hou),我(wo)們(men)可(ke)以(yi)在(zai)任(ren)何(he)建(jian)模(mo)應(ying)用(yong)中(zhong)使(shi)用(yong)自(zi)己(ji)的(de)數(shu)據(ju)來(lai)計(ji)算(suan)互(hu)譜(pu)密(mi)度(du)和(he)分(fen)析(xi)信(xin)號(hao)行(xing)為(wei)。
Cadence 的新一代 Sigrity X 解決方案重新定義了 SI 和 PI 分析,將性能提高了 10 倍,同時保持了 Sigrity工具一貫的準確性。Sigrity X 工具套件解決了當今 5G 通信、汽車、超chao大da規gui模mo計ji算suan以yi及ji航hang空kong航hang天tian和he國guo防fang工gong業ye領ling域yu前qian沿yan技ji術shu專zhuan家jia所suo麵mian臨lin的de係xi統tong級ji仿fang真zhen的de規gui模mo和he可ke擴kuo展zhan性xing挑tiao戰zhan。它ta配pei備bei了le強qiang大da的de係xi統tong級ji分fen析xi仿fang真zhen引yin擎qing,旗qi艦jian產chan品pin Clarity 3D Solver 更采用了創新的大規模分布式架構。
本文轉載自:Cadence楷登PCB及封裝資源中心
免責聲明:本文為轉載文章,轉載此文目的在於傳遞更多信息,版權歸原作者所有。本文所用視頻、圖片、文字如涉及作品版權問題,請聯係小編進行處理。
推薦閱讀:
如何使用 SSR 實現可靠都的、可快速開關的低損耗半導體自動測試設備
- 噪聲中提取真值!瑞盟科技推出MSA2240電流檢測芯片賦能多元高端測量場景
- 10MHz高頻運行!氮矽科技發布集成驅動GaN芯片,助力電源能效再攀新高
- 失真度僅0.002%!力芯微推出超低內阻、超低失真4PST模擬開關
- 一“芯”雙電!聖邦微電子發布雙輸出電源芯片,簡化AFE與音頻設計
- 一機適配萬端:金升陽推出1200W可編程電源,賦能高端裝備製造
- 築基AI4S:摩爾線程全功能GPU加速中國生命科學自主生態
- 一秒檢測,成本降至萬分之一,光引科技把幾十萬的台式光譜儀“搬”到了手腕上
- AI服務器電源機櫃Power Rack HVDC MW級測試方案
- 突破工藝邊界,奎芯科技LPDDR5X IP矽驗證通過,速率達9600Mbps
- 通過直接、準確、自動測量超低範圍的氯殘留來推動反滲透膜保護
- 車規與基於V2X的車輛協同主動避撞技術展望
- 數字隔離助力新能源汽車安全隔離的新挑戰
- 汽車模塊拋負載的解決方案
- 車用連接器的安全創新應用
- Melexis Actuators Business Unit
- Position / Current Sensors - Triaxis Hall



