BLDC電機控製一文幫你總結好
發布時間:2023-05-23 責任編輯:lina
【導讀】無刷電機屬於自換流型(自我方向轉換),因此控製起來更加複雜。BLDC電機控製要求了解電機進行整流轉向的轉子位置和機製。對於閉環速度控製,有兩個附加要求,即對於轉子速度/或電機電流以及PWM信號進行測量,以控製電機速度以及功率。
BLDC電機控製算法
無刷電機屬於自換流型(自我方向轉換),因此控製起來更加複雜。BLDC電機控製要求了解電機進行整流轉向的轉子位置和機製。對於閉環速度控製,有兩個附加要求,即對於轉子速度/或電機電流以及PWM信號進行測量,以控製電機速度以及功率。BLDC電機可以根據應用要求采用邊排列或中心排列PWM信號。大多數應用僅要求速度變化操作,將采用6個獨立的邊排列PWM信號。這就提供了的分辨率。如果應用要求服務器定位、能耗製動或動力倒轉,推薦使用補充的中心排列PWM信號。為了感應轉子位置,BLDC電機采用霍爾效應傳感器來提供定位感應。這就導致了更多線的使用和更高的成本。無傳感器BLDC控製省去了對於霍爾傳感器的需要,而是采用電機的反電動勢(電動勢)來預測轉子位置。無傳感器控製對於像風扇和泵這樣的低成本變速應用至關重要。在采用BLDC電機時,冰箱和空調壓縮機也需要無傳感器控製。
空載時間的插入和補充:大多數BLDC電機不需要互補的PWM、空載時間插入或空載時間補償。可能會要求這些特性的BLDC應用僅為高性能BLDC伺服電動機、正弦波激勵式BLDC電機、無刷AC、或PC同步電機。
控製算法
許多不同的控製算法都被用以提供對於BLDC電(dian)機(ji)的(de)控(kong)製(zhi)。典(dian)型(xing)做(zuo)法(fa)是(shi),將(jiang)功(gong)率(lv)晶(jing)體(ti)管(guan)用(yong)作(zuo)線(xian)性(xing)穩(wen)壓(ya)器(qi)來(lai)控(kong)製(zhi)電(dian)機(ji)電(dian)壓(ya)。當(dang)驅(qu)動(dong)高(gao)功(gong)率(lv)電(dian)機(ji)時(shi),這(zhe)種(zhong)方(fang)法(fa)並(bing)不(bu)實(shi)用(yong)。高(gao)功(gong)率(lv)電(dian)機(ji)必(bi)須(xu)采(cai)用(yong)PWM控製,並要求一個微控製器來提供起動和控製功能。
控製算法必須提供下列三項功能:
• 用於控製電機速度的PWM電壓
• 用於對電機進整流換向的機製
• 利用反電動勢或霍爾傳感器來預測轉子位置的方法
脈衝寬度調製僅用於將可變電壓應用到電機繞組。有效電壓與PWM占空比成正比。當得到適當的整流換向時,BLDC的扭矩速度特性與以下直流電機相同。可以用可變電壓來控製電機的速度和可變轉矩。
功率晶體管的換向實現了定子中的適當繞組可根據轉子位置生成的轉矩。在一個BLDC電機中,MCU必須知道轉子的位置並能夠在恰當的時間進行整流換向。
BLDC電機的梯形整流換向
對於直流無刷電機采用所謂的梯形整流換向是簡單的方法之一。
圖1:用於BLDC電機的梯形控製器的簡化框圖
在圖1中zhong,每mei要yao通tong過guo一yi對dui電dian機ji終zhong端duan來lai控kong製zhi電dian流liu,而er第di三san個ge電dian機ji終zhong端duan總zong是shi與yu電dian源yuan電dian學xue上shang斷duan開kai。嵌qian入ru大da電dian機ji中zhong的de三san種zhong霍huo爾er器qi件jian用yong於yu提ti供gong數shu字zi信xin號hao,它ta們men在zai60度du的de扇shan形xing區qu內nei測ce量liang轉zhuan子zi位wei置zhi,並bing在zai電dian機ji控kong製zhi器qi上shang提ti供gong這zhe些xie信xin息xi。由you於yu每mei次ci兩liang個ge繞rao組zu上shang的de電dian流liu量liang相xiang等deng,而er第di三san個ge繞rao組zu上shang的de電dian流liu為wei零ling,這zhe種zhong方fang法fa僅jin能neng產chan生sheng具ju有you六liu個ge方fang向xiang其qi中zhong之zhi一yi的de電dian流liu空kong間jian矢shi量liang。隨sui著zhe電dian機ji的de轉zhuan動dong,電dian機ji終zhong端duan的de電dian流liu在zai每mei轉zhuan60度時,實現電開關(整流換向),因此電流空間矢量總是在90度相移的接近30度的位置。
圖2:梯形控製:驅動波形和整流處的轉矩
因此每個繞組的電流波型為梯形,從零開始到正電流再到零然後再到負電流。這就產生了電流空間矢量,當它隨著轉子的旋轉在6gebutongdefangxiangshangjinxingbushengshi,tajiangjiejinpinghengxuanzhuan。zaixiangkongtiaohebingxiangzheyangdedianjiyingyongzhong,caiyonghuoerchuanganqibingbushiyigebubiandexuanze。zaifeilianraozuzhongganyingdefandiandongshichuanganqikeyiyonglaiqudexiangtongdejieguo。zhezhongtixingqudongxitongyinqikongzhidianludejianyixingerfeichangputong,danshitamenzaizhengliuguochengzhongqueyaozaoyuzhuanjuwenbowenti。
BLDC電機的正弦整流換向
梯形整流換向還不足以為提供平衡、精準的無刷直流電機控製。這主要是因為在一個三相無刷電機(帶有一個正統波反電動勢)中所產生的轉矩由下列等式來定義:轉軸轉矩=Kt [IRSin(o)+ISSin(o+120)+ITSin(o+240)]
其中:
o為轉軸的電角度
Kt為電機的轉矩常數
IR,IS和IT為相位電流
如果相位電流是正弦的:IR=I0Sino;IS=I0Sin(+120o);IT=I0Sin(+240o)
將得到:轉軸轉矩=1.5I0*Kt(一個獨立於轉軸角度的常數)正(zheng)弦(xian)整(zheng)流(liu)換(huan)向(xiang)無(wu)刷(shua)電(dian)機(ji)控(kong)製(zhi)器(qi)努(nu)力(li)驅(qu)動(dong)三(san)個(ge)電(dian)機(ji)繞(rao)組(zu),其(qi)三(san)路(lu)電(dian)流(liu)隨(sui)著(zhe)電(dian)機(ji)轉(zhuan)動(dong)而(er)平(ping)穩(wen)的(de)進(jin)行(xing)正(zheng)弦(xian)變(bian)化(hua)。選(xuan)擇(ze)這(zhe)些(xie)電(dian)流(liu)的(de)相(xiang)關(guan)相(xiang)位(wei),這(zhe)樣(yang)它(ta)們(men)將(jiang)會(hui)產(chan)生(sheng)平(ping)穩(wen)的(de)轉(zhuan)子(zi)電(dian)流(liu)空(kong)間(jian)矢(shi)量(liang),方(fang)向(xiang)是(shi)與(yu)轉(zhuan)子(zi)正(zheng)交(jiao)的(de)方(fang)向(xiang),並(bing)具(ju)有(you)不(bu)變(bian)量(liang)。這(zhe)就(jiu)消(xiao)除(chu)了(le)與(yu)轉(zhuan)向(xiang)相(xiang)關(guan)的(de)轉(zhuan)矩(ju)紋(wen)波(bo)和(he)轉(zhuan)向(xiang)脈(mai)衝(chong)。為(wei)了(le)隨(sui)著(zhe)電(dian)機(ji)的(de)旋(xuan)轉(zhuan),生(sheng)成(cheng)電(dian)機(ji)電(dian)流(liu)的(de)平(ping)穩(wen)的(de)正(zheng)弦(xian)波(bo)調(tiao)製(zhi),就(jiu)要(yao)求(qiu)對(dui)於(yu)轉(zhuan)子(zi)位(wei)置(zhi)有(you)一(yi)個(ge)有(you)測(ce)量(liang)。霍(huo)爾(er)器(qi)件(jian)僅(jin)提(ti)供(gong)了(le)對(dui)於(yu)轉(zhuan)子(zi)位(wei)置(zhi)的(de)粗(cu)略(lve)計(ji)算(suan),還(hai)不(bu)足(zu)以(yi)達(da)到(dao)目(mu)的(de)要(yao)求(qiu)。基(ji)於(yu)這(zhe)個(ge)原(yuan)因(yin),就(jiu)要(yao)求(qiu)從(cong)編(bian)碼(ma)器(qi)或(huo)相(xiang)似(si)器(qi)件(jian)發(fa)出(chu)角(jiao)反(fan)饋(kui)。
圖3:BLDC電機正弦波控製器的簡化框圖
由於繞組電流必須結合產生一個平穩的常量轉子電流空間矢量,而且定子繞組的每個定位相距120度角,因此每個線組的電流必須是正弦的而且相移為120度。采用編碼器中的位置信息來對兩個正弦波進行合成,兩個間的相移為120度(du)。然(ran)後(hou),將(jiang)這(zhe)些(xie)信(xin)號(hao)乘(cheng)以(yi)轉(zhuan)矩(ju)值(zhi),因(yin)此(ci)正(zheng)弦(xian)波(bo)的(de)振(zhen)幅(fu)與(yu)所(suo)需(xu)要(yao)的(de)轉(zhuan)矩(ju)成(cheng)正(zheng)比(bi)。結(jie)果(guo),兩(liang)個(ge)正(zheng)弦(xian)波(bo)電(dian)流(liu)命(ming)令(ling)得(de)到(dao)恰(qia)當(dang)的(de)定(ding)相(xiang),從(cong)而(er)在(zai)正(zheng)交(jiao)方(fang)向(xiang)產(chan)生(sheng)轉(zhuan)動(dong)定(ding)子(zi)電(dian)流(liu)空(kong)間(jian)矢(shi)量(liang)。正(zheng)弦(xian)電(dian)流(liu)命(ming)令(ling)信(xin)號(hao)輸(shu)出(chu)一(yi)對(dui)在(zai)兩(liang)個(ge)適(shi)當(dang)的(de)電(dian)機(ji)繞(rao)組(zu)中(zhong)調(tiao)製(zhi)電(dian)流(liu)的(de)P-I控製器。第三個轉子繞組中的電流是受控繞組電流的負數和,因此不能被分別控製。每個P-I控製器的輸出被送到一個PWM調製器,然後送到輸出橋和兩個電機終端。應用到第三個電機終端的電壓源於應用到前兩個線組的信號的負數和,用於分別間隔120度(du)的(de)三(san)個(ge)正(zheng)弦(xian)電(dian)壓(ya)。結(jie)果(guo),實(shi)際(ji)輸(shu)出(chu)電(dian)流(liu)波(bo)形(xing)的(de)跟(gen)蹤(zong)正(zheng)弦(xian)電(dian)流(liu)命(ming)令(ling)信(xin)號(hao),所(suo)得(de)電(dian)流(liu)空(kong)間(jian)矢(shi)量(liang)平(ping)穩(wen)轉(zhuan)動(dong),在(zai)量(liang)上(shang)得(de)以(yi)穩(wen)定(ding)並(bing)以(yi)所(suo)需(xu)的(de)方(fang)向(xiang)定(ding)位(wei)。一(yi)般(ban)通(tong)過(guo)梯(ti)形(xing)整(zheng)流(liu)轉(zhuan)向(xiang),不(bu)能(neng)達(da)到(dao)穩(wen)定(ding)控(kong)製(zhi)的(de)正(zheng)弦(xian)整(zheng)流(liu)轉(zhuan)向(xiang)結(jie)果(guo)。然(ran)而(er),由(you)於(yu)其(qi)在(zai)低(di)電(dian)機(ji)速(su)度(du)下(xia)效(xiao)率(lv)很(hen)高(gao),在(zai)高(gao)電(dian)機(ji)速(su)度(du)下(xia)將(jiang)會(hui)分(fen)開(kai)。這(zhe)是(shi)由(you)於(yu)速(su)度(du)提(ti)高(gao),電(dian)流(liu)回(hui)流(liu)控(kong)製(zhi)器(qi)必(bi)須(xu)跟(gen)蹤(zong)一(yi)個(ge)增(zeng)加(jia)頻(pin)率(lv)的(de)正(zheng)弦(xian)信(xin)號(hao)。同(tong)時(shi),它(ta)們(men)必(bi)須(xu)克(ke)服(fu)隨(sui)著(zhe)速(su)度(du)提(ti)高(gao)在(zai)振(zhen)幅(fu)和(he)頻(pin)率(lv)下(xia)增(zeng)加(jia)的(de)電(dian)機(ji)的(de)反(fan)電(dian)動(dong)勢(shi)。由(you)於(yu)P-I控(kong)製(zhi)器(qi)具(ju)有(you)有(you)限(xian)增(zeng)益(yi)和(he)頻(pin)率(lv)響(xiang)應(ying),對(dui)於(yu)電(dian)流(liu)控(kong)製(zhi)回(hui)路(lu)的(de)時(shi)間(jian)變(bian)量(liang)幹(gan)擾(rao)將(jiang)引(yin)起(qi)相(xiang)位(wei)滯(zhi)後(hou)和(he)電(dian)機(ji)電(dian)流(liu)中(zhong)的(de)增(zeng)益(yi)誤(wu)差(cha),速(su)度(du)越(yue)高(gao),誤(wu)差(cha)越(yue)大(da)。這(zhe)將(jiang)幹(gan)擾(rao)電(dian)流(liu)空(kong)間(jian)矢(shi)量(liang)相(xiang)對(dui)於(yu)轉(zhuan)子(zi)的(de)方(fang)向(xiang),從(cong)而(er)引(yin)起(qi)與(yu)正(zheng)交(jiao)方(fang)向(xiang)產(chan)生(sheng)位(wei)移(yi)。當(dang)產(chan)生(sheng)這(zhe)種(zhong)情(qing)況(kuang)時(shi),通(tong)過(guo)一(yi)定(ding)量(liang)的(de)電(dian)流(liu)可(ke)以(yi)產(chan)生(sheng)較(jiao)小(xiao)的(de)轉(zhuan)矩(ju),因(yin)此(ci)需(xu)要(yao)更(geng)多(duo)的(de)電(dian)流(liu)來(lai)保(bao)持(chi)轉(zhuan)矩(ju),效(xiao)率(lv)降(jiang)低(di)。隨(sui)著(zhe)速(su)度(du)的(de)增(zeng)加(jia),這(zhe)種(zhong)降(jiang)低(di)將(jiang)會(hui)延(yan)續(xu)。在(zai)某(mou)種(zhong)程(cheng)度(du)上(shang),電(dian)流(liu)的(de)相(xiang)位(wei)位(wei)移(yi)超(chao)過(guo)90度。當產生這種情況時,轉矩減至為零。通過正弦的結合,上麵這點的速度導致了負轉矩,因此也就無法實現。
AC電機控製算法
1、標量控製 標量控製(或V/Hz控製)shiyigekongzhizhilingdianjisududejiandanfangfa。zhilingdianjidewentaimoxingzhuyaoyongyuhuodejishu,yincishuntaixingnengshibukenengshixiande。xitongbujuyoudianliuhuilu。weilekongzhidianji,sanxiangdianyuanzhiyouzaizhenfuhepinlvshangbianhua。
2、矢量控製或磁場定向控製 在zai電dian動dong機ji中zhong的de轉zhuan矩ju隨sui著zhe定ding子zi和he轉zhuan子zi磁ci場chang的de功gong能neng而er變bian化hua,並bing且qie當dang兩liang個ge磁ci場chang互hu相xiang正zheng交jiao時shi達da到dao峰feng值zhi。在zai基ji於yu標biao量liang的de控kong製zhi中zhong,兩liang個ge磁ci場chang間jian的de角jiao度du顯xian著zhu變bian化hua。矢shi量liang控kong製zhi設she法fa在zaiAC電機中再次創造正交關係。為了控製轉矩,各自從產生的磁通量中生成電流,以實現DC機器的響應性。一個AC指令電機的矢量控製與一個單獨的勵磁DC電機控製相似。在一個DC電機中,由勵磁電流IF所產生的磁場能量ΦF與由電樞電流IA所產生的電樞磁通ΦA正zheng交jiao。這zhe些xie磁ci場chang都dou經jing過guo去qu耦ou並bing且qie相xiang互hu間jian很hen穩wen定ding。因yin此ci,當dang電dian樞shu電dian流liu受shou控kong以yi控kong製zhi轉zhuan矩ju時shi,磁ci場chang能neng量liang仍reng保bao持chi不bu受shou影ying響xiang,並bing實shi現xian了le更geng快kuai的de瞬shun態tai響xiang應ying。三san相xiangAC電機的磁場定向控製(FOC)包括模仿DC電機的操作。所有受控變量都通過數學變換,被轉換到DC而非AC。其目標是獨立的控製轉矩和磁通。
磁場定向控製(FOC)有兩種方法:
直接FOC:轉子磁場的方向(Rotor flux angle)是通過磁通觀測器直接計算得到的。
間接FOC:轉子磁場的方向(Rotor flux angle)是通過對轉子速度和滑差(slip)的估算或測量而間接獲得的。
矢量控製要求了解轉子磁通的位置,並可以運用終端電流和電壓(采用AC感應電機的動態模型)的知識,通過算法來計算。然而從實現的角度看,對於計算資源的需求是至關重要的。
可以采用不同的方式來實現矢量控製算法。前饋技術、模型估算和自適應控製技術都可用於增強響應和穩定性。
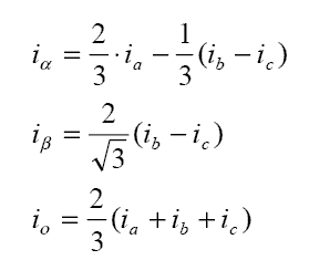
3、AC電機的矢量控製:深入了解 矢量控製算法的是兩個重要的轉換:Clark變換,Park變換和它們的逆運算。采用Clark和Park變換,帶來可以控製到轉子區域的轉子電流。這樣做充許一個轉子控製係統決定應供應到轉子的電壓,以使動態變化負載下的轉矩化。Clark變換:Clark數學轉換將一個三相係統修改成兩個坐標係統:
其中Ia和Ib是正交基準麵的組成部分,Io是不重要的homoplanar部分
圖4:三相轉子電流與轉動參考係的關係
4、Park轉換:Park數學轉換將雙向靜態係統轉換成轉動係統矢量
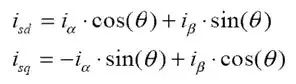
兩相α,β幀表示通過Clarke轉換進行計算,然後輸入到矢量轉動模塊,它在這裏轉動角θ,以符合附著於轉子能量的d,q幀。根據上述公式,實現了角度θ的轉換。
AC電機的磁場定向矢量控製的基本結構
Clarke變換采用三相電流IA,IB以及IC,其中IA和IB在固定座標定子相中的電流被變換成Isd和Isq,成為Park變換d,q中的元素。其通過電機通量模型來計算的電流Isd,Isq以及瞬時流量角θ被用來計算交流感應電機的電動扭矩。
這些導出值與參考值相互比較,並由PI控製器更新。
基於矢量的電機控製的一個固有優勢是,可以采用同一原理,選擇適合的數學模型去分別控製各種類型的AC、PM-AC或者BLDC電機。
BLDC電機的矢量控製
BLDC電機是磁場定向矢量控製的主要選擇。采用了FOC的無刷電機可以獲得更高的效率,效率可以達到95%,並且對電機在高速時也十分有效率。
1、步進電機控製
圖5
步進電機控製通常采用雙向驅動電流,其電機步進由按順序切換繞組來實現。通常這種步進電機有3個驅動順序:①單相全步進驅動:在這種模式中,其繞組按如下順序加電,AB/CD/BA/DC(BA表示繞組AB的加電是反方向進行的)。這一順序被稱為單相全步進模式,或者波驅動模式。在任何一個時間,隻有一相加電。②雙相全步進驅動:在(zai)這(zhe)種(zhong)模(mo)式(shi)中(zhong),雙(shuang)相(xiang)一(yi)起(qi)加(jia)電(dian),因(yin)此(ci),轉(zhuan)子(zi)總(zong)是(shi)在(zai)兩(liang)個(ge)極(ji)之(zhi)間(jian)。此(ci)模(mo)式(shi)被(bei)稱(cheng)為(wei)雙(shuang)相(xiang)全(quan)步(bu)進(jin),這(zhe)一(yi)模(mo)式(shi)是(shi)兩(liang)極(ji)電(dian)機(ji)的(de)常(chang)態(tai)驅(qu)動(dong)順(shun)序(xu),可(ke)輸(shu)出(chu)的(de)扭(niu)矩(ju)。③半步進模式:這種模式將單相步進和雙相步進結合在一起加電:單相加電,然後雙相加電,然後單相加電…,因此,電機以半步進增量運轉。這一模式被稱為半步進模式,其電機每個勵磁的有效步距角減少了一半,其輸出的扭矩也較低。以上3種模式均可用於反方向轉動(逆時針方向),如果順序相反則不行。通常,步進電機具有多極,以便減小步距角,但是,繞組的數量和驅動順序是不變的。
2、通用DC電機控製算法
通用電機的速度控製,特別是采用2種電路的電機:
相角控製
PWM斬波控製
①相角控製相角控製是通用電機速度控製的簡單的方法。通過TRIAC的點弧角的變動來控製速度。相角控製是非常經濟的解決方案,但是,效率不太高,易於電磁幹擾(EMI)。
圖6:通用電機的相角控製
圖6表明了相角控製的機理,是TRIAC速度控製的典型應用。TRIAC門men脈mai衝chong的de周zhou相xiang移yi動dong產chan生sheng了le有you效xiao率lv的de電dian壓ya,從cong而er產chan生sheng了le不bu同tong的de電dian機ji速su度du,並bing且qie采cai用yong了le過guo零ling交jiao叉cha檢jian測ce電dian路lu,建jian立li了le時shi序xu參can考kao,以yi延yan遲chi門men脈mai衝chong。②PWM斬波控製PWM控製是通用電機速度控製的,更先進的解決方案。在這一解決方案中,功率MOSFET,或者IGBT接通高頻整流AC線電壓,進而為電機產生隨時間變化的電壓。
圖7:通用電機的PWM斬波控製
其開關頻率範圍一般為10-20KHz,以消除噪聲。
免責聲明:本文為轉載文章,轉載此文目的在於傳遞更多信息,版權歸原作者所有。本文所用視頻、圖片、文字如涉及作品版權問題,請聯係小編進行處理。
推薦閱讀:
如何利用1200 V EliteSiC MOSFET 模塊,打造充電更快的車載充電器?
采用增強互連封裝技術的1200 V SiC MOSFET單管設計高能效焊機
- 噪聲中提取真值!瑞盟科技推出MSA2240電流檢測芯片賦能多元高端測量場景
- 10MHz高頻運行!氮矽科技發布集成驅動GaN芯片,助力電源能效再攀新高
- 失真度僅0.002%!力芯微推出超低內阻、超低失真4PST模擬開關
- 一“芯”雙電!聖邦微電子發布雙輸出電源芯片,簡化AFE與音頻設計
- 一機適配萬端:金升陽推出1200W可編程電源,賦能高端裝備製造
- 築基AI4S:摩爾線程全功能GPU加速中國生命科學自主生態
- 一秒檢測,成本降至萬分之一,光引科技把幾十萬的台式光譜儀“搬”到了手腕上
- AI服務器電源機櫃Power Rack HVDC MW級測試方案
- 突破工藝邊界,奎芯科技LPDDR5X IP矽驗證通過,速率達9600Mbps
- 通過直接、準確、自動測量超低範圍的氯殘留來推動反滲透膜保護
- 車規與基於V2X的車輛協同主動避撞技術展望
- 數字隔離助力新能源汽車安全隔離的新挑戰
- 汽車模塊拋負載的解決方案
- 車用連接器的安全創新應用
- Melexis Actuators Business Unit
- Position / Current Sensors - Triaxis Hall



