開關電源環路穩定性分析(五)(環路的分析)
發布時間:2022-12-07 責任編輯:lina
【導讀】估計很多人已經等不及了,什麼時候可以開始環路的分析。為了盡快進入到大家關心的部分,這一講我們正式進入環路分析的部分——傳遞函數。
估計很多人已經等不及了,什麼時候可以開始環路的分析。為了盡快進入到大家關心的部分,這一講我們正式進入環路分析的部分——傳遞函數。
chuandihanshu,jiandandelijiejiushishuruheshuchuzhijiandeguanxi。weilefangbianwomenjinjinduikaiguandianyuanchuandihanshujinxingfenxi,chuandihanshudeqitaxijiezhelibuzuozhankai,womenzhixuyaozhidaochuandihanshusuobiaodadehanyijiuxing。
1.為什麼要研究傳遞函數?
很多人可能會有疑問,研究環路穩定性研究傳遞函數幹嘛,為什麼要研究傳遞函數?
可ke以yi這zhe樣yang理li解jie,通tong過guo傳chuan遞di函han數shu可ke以yi知zhi道dao這zhe個ge係xi統tong對dui不bu同tong頻pin率lv信xin號hao響xiang應ying,而er這zhe些xie響xiang應ying通tong過guo畫hua出chu傳chuan遞di函han數shu的de波bo特te圖tu又you能neng知zhi道dao傳chuan遞di函han數shu在zai某mou點dian頻pin率lv的de相xiang位wei和he增zeng益yi。一yi個ge係xi統tong要yao穩wen定ding可ke靠kao,那na就jiu需xu要yao一yi定ding的de相xiang位wei裕yu度du和he增zeng益yi裕yu度du。所suo以yi呢ne,傳chuan遞di函han數shu是shi我wo們men用yong來lai分fen析xi開kai關guan電dian源yuan環huan路lu是shi否fou穩wen定ding的de工gong具ju。

從上麵這個邏輯框圖可以看出,隻有傳遞函數可以將環路是否穩定不用儀器測量,單獨靠計算就能得出結果的手段。
舉(ju)個(ge)例(li)子(zi),在(zai)公(gong)司(si)評(ping)定(ding)一(yi)個(ge)研(yan)發(fa)人(ren)員(yuan)的(de)技(ji)能(neng)水(shui)平(ping)的(de)高(gao)低(di)。這(zhe)個(ge)比(bi)較(jiao)抽(chou)象(xiang),但(dan)是(shi)公(gong)司(si)有(you)一(yi)套(tao)任(ren)職(zhi)的(de)機(ji)製(zhi),你(ni)符(fu)合(he)這(zhe)個(ge)機(ji)製(zhi),就(jiu)能(neng)做(zuo)對(dui)應(ying)的(de)事(shi),所(suo)以(yi)要(yao)把(ba)技(ji)能(neng)和(he)崗(gang)位(wei)之(zhi)間(jian)建(jian)立(li)起(qi)聯(lian)係(xi)就(jiu)需(xu)要(yao)一(yi)個(ge)可(ke)以(yi)操(cao)作(zuo)的(de),可(ke)以(yi)看(kan)得(de)到(dao)的(de)行(xing)為(wei),那(na)就(jiu)是(shi)任(ren)職(zhi)評(ping)審(shen)。

同(tong)理(li),開(kai)關(guan)電(dian)源(yuan)環(huan)路(lu)穩(wen)定(ding)是(shi)否(fou),我(wo)沒(mei)法(fa)用(yong)眼(yan)睛(jing)看(kan)出(chu)來(lai),除(chu)非(fei)是(shi)用(yong)儀(yi)器(qi)測(ce)試(shi),但(dan)是(shi)我(wo)在(zai)不(bu)測(ce)試(shi)的(de)情(qing)況(kuang)下(xia),判(pan)斷(duan)是(shi)否(fou)穩(wen)定(ding)就(jiu)需(xu)要(yao)計(ji)算(suan)整(zheng)個(ge)傳(chuan)遞(di)函(han)數(shu)的(de)增(zeng)益(yi)和(he)相(xiang)位(wei)。而(er)傳(chuan)遞(di)函(han)數(shu)的(de)波(bo)特(te)圖(tu)剛(gang)好(hao)就(jiu)能(neng)提(ti)供(gong)這(zhe)兩(liang)個(ge)參(can)數(shu),因(yin)此(ci),就(jiu)需(xu)要(yao)研(yan)究(jiu)傳(chuan)遞(di)函(han)數(shu)。
2.如何求解傳遞函數?
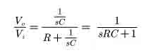
根據定義求解傳遞函數非常簡單,比如簡單的RC電路。

對單個簡單的電路求傳遞函數在s域,使用電路基本定律就可以求解。分析這個電路是否穩定也比較簡單,直接分析它的波特圖,很明顯是穩定的,這裏就不做仿真了。

可是我們分析的開關電源並不是上麵那麼簡單。電壓控製模式的框圖如下:

對於這樣複雜的係統顯然分析方法和前麵的RC電路不一樣,那我們怎麼分析呢?
現在存在一個複雜的係統,內部包含了很多個環節,類似我們的開關電源係統。
分析這樣複雜的係統有兩種方法:
種是把係統當做黑盒處理,直接求解輸出和輸入的關係,這種思路在以前的學習中用的比較多,已知x點和y點的坐標數值,讓我們求解x和y的關係,我們通過假定x和y存在某種函數關係,代入數值就能解出他們之間關係的表達式。
lingwaiyizhongfangfashibaxitongdangzuobaihechuli,fenxixitongzhongmeigebufen,ranhoujiangmeigebufenjinxingdiejia,zhezhongfangfaxiangduifuza,danyeshijiejuewentideyizhongsilu。
yinci,fenxikaiguandianyuanhuanluwendingxingdejingyaosuozaijiushiqiuchukaiguandianyuanxitongdechuandihanshu,zhijieqiujiemeiyousilu,zhinengdeqiujie,ranhoudedaocongshurudaoshuchudechuandihanshu。
針對上麵的框圖,傳遞函數可以表示成:

3.開關電源傳遞函數
要yao求qiu開kai關guan電dian源yuan係xi統tong的de傳chuan遞di函han數shu,需xu要yao先xian將jiang整zheng個ge係xi統tong劃hua分fen為wei幾ji個ge部bu分fen。按an照zhao上shang麵mian分fen析xi的de思si路lu,求qiu解jie每mei個ge部bu分fen的de傳chuan遞di函han數shu,整zheng合he就jiu是shi終zhong的de傳chuan遞di函han數shu。

zhenduidianyakongzhimoshidekaiguandianyuan,womenanzhaodianludegongnengjiangqifenweisangebufen,fenbieshigonglvji,fankuiji,kongzhiji。xiamiandezhongdianrenwujiushifenximeigejidechuandihanshu。zhebufenneirongjiangzaixiapianwenzhangzhongjinxingxiangxidetaolun。
免責聲明:本文為轉載文章,轉載此文目的在於傳遞更多信息,版權歸原作者所有。本文所用視頻、圖片、文字如涉及作品版權問題,請聯係小編進行處理。
推薦閱讀:
- 噪聲中提取真值!瑞盟科技推出MSA2240電流檢測芯片賦能多元高端測量場景
- 10MHz高頻運行!氮矽科技發布集成驅動GaN芯片,助力電源能效再攀新高
- 失真度僅0.002%!力芯微推出超低內阻、超低失真4PST模擬開關
- 一“芯”雙電!聖邦微電子發布雙輸出電源芯片,簡化AFE與音頻設計
- 一機適配萬端:金升陽推出1200W可編程電源,賦能高端裝備製造
- 貿澤EIT係列新一期,探索AI如何重塑日常科技與用戶體驗
- 算力爆發遇上電源革新,大聯大世平集團攜手晶豐明源線上研討會解鎖應用落地
- 創新不止,創芯不已:第六屆ICDIA創芯展8月南京盛大啟幕!
- AI時代,為什麼存儲基礎設施的可靠性決定數據中心的經濟效益
- 矽典微ONELAB開發係列:為毫米波算法開發者打造的全棧工具鏈
- 車規與基於V2X的車輛協同主動避撞技術展望
- 數字隔離助力新能源汽車安全隔離的新挑戰
- 汽車模塊拋負載的解決方案
- 車用連接器的安全創新應用
- Melexis Actuators Business Unit
- Position / Current Sensors - Triaxis Hall




