車載手機充電器的無線化
發布時間:2021-12-28 責任編輯:lina
【導讀】隨sui著zhe科ke技ji的de進jin步bu以yi及ji電dian子zi元yuan件jian成cheng本ben的de降jiang低di,手shou機ji已yi成cheng為wei我wo們men日ri常chang生sheng活huo中zhong必bi備bei的de通tong訊xun工gong具ju,與yu此ci同tong時shi,汽qi車che也ye在zai走zou近jin我wo們men的de生sheng活huo,呈cheng現xian平ping民min化hua的de趨qu勢shi。人ren們men在zai長chang途tu旅lv行xing或huo出chu差cha時shi,萬wan一yi手shou機ji電dian池chi耗hao盡jin,將jiang對dui人ren們men的de正zheng常chang工gong作zuo生sheng活huo產chan生sheng很hen大da的de影ying響xiang。
1 引言
隨sui著zhe科ke技ji的de進jin步bu以yi及ji電dian子zi元yuan件jian成cheng本ben的de降jiang低di,手shou機ji已yi成cheng為wei我wo們men日ri常chang生sheng活huo中zhong必bi備bei的de通tong訊xun工gong具ju,與yu此ci同tong時shi,汽qi車che也ye在zai走zou近jin我wo們men的de生sheng活huo,呈cheng現xian平ping民min化hua的de趨qu勢shi。人ren們men在zai長chang途tu旅lv行xing或huo出chu差cha時shi,萬wan一yi手shou機ji電dian池chi耗hao盡jin,將jiang對dui人ren們men的de正zheng常chang工gong作zuo生sheng活huo產chan生sheng很hen大da的de影ying響xiang。現在部分汽車中已經出現了車載的手機充電器,但是由於不同品牌的手機充電接口有很大的區別,所以如果想在汽車上完成充電則必須攜帶與自己手機相匹配的充電器,並不是十分方便。而且由於車載電源有限,並不能實現多部手機同時充電。根據以上情況,本文提出了車載無線充電器的設想,將電磁感應技術引入手機充電領域,通過電一磁,磁一電轉換,實現了手機的無接點充電,其重心技術類似於變壓器的無芯化處理。
2 無線充電的思想
2.1 總體方案框圖
本文提出了一種車載的用於手機充電的全新方案,模塊圖及係統硬件圖分別為圖1和圖2所示。


係統硬件圖
2.2 硬件組成
汽車點煙器提供12V Dc-550 rrAdianyuan,liyongnibianqijiangqinibianweishidian,jiangneizhiganyingxianquandejizuojienibianqideshuchuduan。yinweifangxingluoxuanxianwanglinjiebiandelianjiebufencheng,cunzaidianliutubian。guneizhiganyingxianquancaiyongbanjingwei5cm的圓形螺旋線圈。
手機接收端由接收器模塊和原手機充電電路構成。將接收感應線圈,整流,濾波電路通過PCB技術集成於足夠小的模塊,內置於手機電池中,接收模塊輸出為5V DC一1A。為手機電池提供電源,從而完成無線充電功能。
3 無線充電工作原理及其參數
3.1 工作原理
無wu線xian充chong電dian由you於yu充chong電dian器qi和he接jie收shou器qi問wen電dian流liu沒mei有you直zhi接jie的de聯lian係xi,線xian圈quan電dian流liu,電dian壓ya是shi通tong過guo磁ci耦ou合he而er產chan生sheng的de,其qi實shi質zhi是shi一yi對dui互hu感gan耦ou合he線xian圈quan,線xian圈quan中zhong無wu磁ci鐵tie物wu質zhi,其qi等deng效xiao電dian路lu圖tu如ru圖tu3所示:

等效電路圖
3.2 感應電動勢
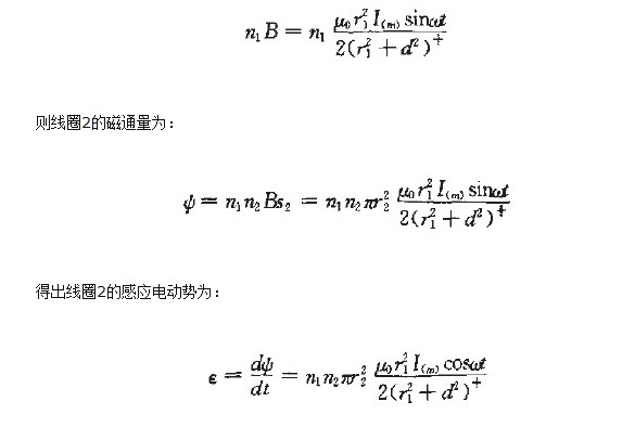
如圖4所示,線圈1和線圈2分別位於基座和手機接收模塊內,假設給線圈1(匝數為”。)通以的電流,則線罔2(匝數為)處的磁感應強度可以近似為:

磁感應強度
所以,隻需調節兩線圈的匝數比便可以在無線傳輸的同時起到變壓作用,得到所需要的手機充電電壓。
感應電動勢
3.3 整流濾波
由於接收器模塊中感應線圈感應到的是交流電,為了符合手機充電器的要求,必需還要在接收器模塊中加入整流和濾波電路。
4 結論
benwenliyongdianciganyingjishujinxingleshoujichongdianqidewuxianhuayanjiu。shidechongdianqikeyizaiwudianliuzhijielianxideqingkuangxiaweidianchichongdian。bingqiekeyizaiqicheneitongshiweiduobushoujitigongchongdianfuwu,jifangbianyoujingji,ruguoyingyongyuyushidengchaoshihuanjing,qianquanxingnenggengshixianluwuyi。suoyi,wuxianchongdianqijiangyongyouguangfandeyanjiuheshiyongjiazhi。
(來源:中電網)
免責聲明:本文為轉載文章,轉載此文目的在於傳遞更多信息,版權歸原作者所有。本文所用視頻、圖片、文字如涉及作品版權問題,請電話或者郵箱聯係小編進行侵刪。
推薦閱讀:
- 噪聲中提取真值!瑞盟科技推出MSA2240電流檢測芯片賦能多元高端測量場景
- 10MHz高頻運行!氮矽科技發布集成驅動GaN芯片,助力電源能效再攀新高
- 失真度僅0.002%!力芯微推出超低內阻、超低失真4PST模擬開關
- 一“芯”雙電!聖邦微電子發布雙輸出電源芯片,簡化AFE與音頻設計
- 一機適配萬端:金升陽推出1200W可編程電源,賦能高端裝備製造
- 貿澤EIT係列新一期,探索AI如何重塑日常科技與用戶體驗
- 算力爆發遇上電源革新,大聯大世平集團攜手晶豐明源線上研討會解鎖應用落地
- 創新不止,創芯不已:第六屆ICDIA創芯展8月南京盛大啟幕!
- AI時代,為什麼存儲基礎設施的可靠性決定數據中心的經濟效益
- 矽典微ONELAB開發係列:為毫米波算法開發者打造的全棧工具鏈
- 車規與基於V2X的車輛協同主動避撞技術展望
- 數字隔離助力新能源汽車安全隔離的新挑戰
- 汽車模塊拋負載的解決方案
- 車用連接器的安全創新應用
- Melexis Actuators Business Unit
- Position / Current Sensors - Triaxis Hall





