開關電源的LLC 拓撲
發布時間:2021-08-22 責任編輯:lina
【導讀】近來,LLC拓撲以其高效,高功率密度受到廣大電源設計工程師的青睞,但是這種軟開關拓撲對MOSFET的要求卻超過了以往任何一種硬開關拓撲。特別是在電源啟機,動態負載,過載,短路等情況下。CoolMOS 以其快恢複體二極管,低Qg 和Coss能夠完全滿足這些需求並大大提升電源係統的可靠性。
近來,LLC拓撲以其高效,高功率密度受到廣大電源設計工程師的青睞,但是這種軟開關拓撲對MOSFET的要求卻超過了以往任何一種硬開關拓撲。特別是在電源啟機,動態負載,過載,短路等情況下。CoolMOS 以其快恢複體二極管,低Qg 和Coss能夠完全滿足這些需求並大大提升電源係統的可靠性。
一、摘要
長期以來, 提升電源係統功率密度,效率以及係統的可靠性一直是研發人員麵臨的重大課題。 提升電源的開關頻率是其中的方法之一, danshipinlvdetishenghuiyingxiangdaogonglvqijiandekaiguansunhao,shidetishengpinlvduiyingkaiguantuopulaishuoxiaoguobingbushifenmingxian,yingkaiguantuopuyijingdadaoletadeshejipingjing。ercishi,ruankaiguantuopu,ruLLC拓撲以其獨具的特點受到廣大設計工程師的追捧。但是,這種拓撲卻對功率器件提出了新的要求。
二、LLC 電路的特點
LLC 拓撲的以下特點使其廣泛的應用於各種開關電源之中:
1.LLC 轉換器可以在寬負載範圍內實現零電壓開關;
2.能夠在輸入電壓和負載大範圍變化的情況下調節輸出,同時開關頻率變化相對很小;
3.采用頻率控製,上下管的占空比都為50%;
4.減小次級同步整流MOSFET的電壓應力,可以采用更低的電壓MOSFET從而減少成本;
5.無需輸出電感,可以進一步降低係統成本;
6.采用更低電壓的同步整流MOSFET, 可以進一步提升效率。
三、LLC 電路的結構及原理
圖1和圖2分別給出了LLC諧振變換器的典型線路和工作波形。如圖1所示LLC轉換器包括兩個功率MOSFET(Q1和Q2),其占空比都為0.5;諧振電容Cr,副邊匝數相等的中心抽頭變壓器Tr,等效電感Lr,勵磁電感Lm,全波整流二極管D1和D2以及輸出電容Co。

圖1 LLC諧振變換器的典型線路

圖2 LLC諧振變換器的工作波形
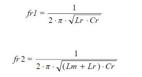
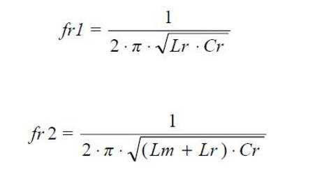
而LLC有兩個諧振頻率,Cr, Lr 決定諧振頻率fr1; 而Lm, Lr, Cr決定諧振頻率fr2。
係統的負載變化時會造成係統工作頻率的變化,當負載增加時, MOSFET開關頻率減小, 當負載減小時,開關頻率增大。

3.1 LLC諧振變換器的工作時序
LLC變換器的穩態工作原理如下:
1)〔t1,t2〕
Q1關斷,Q2開通,電感Lr和Cr進行諧振,次級D1關斷,D2開通,二極管D1約為兩倍輸出電壓,此時能量從Cr, Lr轉換至次級。直到Q2關斷。
2)〔t2,t3〕
Q1和Q2同時關斷,此時處於死區時間, 此時電感Lr, Lm電流給Q2的輸出電容充電,給Q1的輸出電容放電直到Q2輸出電容的電壓等於Vin.
次級D1和D2關斷 Vd1=Vd2=0, 當Q1開通時該相位結束。
3)〔t3,t4〕
Q1導通,Q2關斷。D1導通, D2關斷, 此時Vd2=2Vout
Cr和Lr諧振在fr1, 此時Ls的電流通過Q1返回到Vin,直到Lr的電流為零次相位結束。
4)〔t4,t5〕
Q1導通, Q2關斷, D1導通, D2關斷,Vd2=2Vout
Cr和Lr諧振在fr1, Lr的電流反向通過Q1流回功率地。 能量從輸入轉換到次級,直到Q1關斷該相位結束
5)〔t5,t6)
Q1,Q2同時關斷, D1,D2關斷, 原邊電流I(Lr+Lm)給Q1的Coss充電, 給Coss2放電, 直到Q2的Coss電壓為零。 此時Q2二極管開始導通。 Q2開通時相位結束。
6)〔t6,t7〕
Q1關斷,Q2導通,D1關斷, D2 開通,Cr和Ls諧振在頻率fr1, Lr 電流經Q2回到地。 當Lr電流為零時相位結束。
3.2 LLC諧振轉換器異常狀態分析
以上描述都是LLC工作在諧振模式, 接下來我們分析LLC轉換器在啟機, 短路, 動態負載下的工作情況。
3.2.1 啟機狀態分析
通過LLC 仿真我們得到如圖3所示的波形,在啟機 個開關周期,上下管會同時出現一個短暫的峰值電流Ids1 和Ids2. 由於MOSFET Q1開通時會給下管Q2的輸出電容Coss充電,當Vds為高電平時充電結束。而峰值電流Ids1和Ids2也正是由於Vin通過MOSFET Q1 給Q2 結電容Coss的充電而產生。
圖3 LLC 仿真波形
我們將焦點放在第二個開關周期時如圖4,我們發現此時也會出現跟 個開關周期類似的尖峰電流,而且峰值會更高,同時MOSFET Q2 Vds也出現一個很高的dv/dt峰值電壓。那麼這個峰值電流的是否仍然是Coss引起的呢? 我們來做進一步的研究。

圖4 第二個開關周期波形圖
對MOSFET結構有一定了解的工程師都知道,MOSFET不同於IGBT,在MOSFET內部其實寄生有一個體二極管,跟普通二極管一樣在截止過程中都需要中和載流子才能反向恢複, 而隻有二極管兩端加上反向電壓才能夠使這個反向恢複快速完成, 而反向恢複所需的能量跟二極管的電荷量Qrr相關, 而體二極管的反向恢複同樣需要在體二極管兩端加上一個反向電壓。在啟機時加在二極管兩端的電壓Vd=Id2 x Ron。而Id2在啟機時幾乎為零,而二極管在Vd較低時需要很長的時間來進行反向恢複。如果死區時間設置不夠,如圖5所示高的dv/dt會直接觸發MOSFET內的BJT從而擊穿MOSFET。

圖5
通過實際的測試,我們可以重複到類似的波形,第二個開關周期產生遠比 個開關周期高的峰值電流,同時當MOSFET在啟機的時dv/dt高118,4V/ns。而Vds電壓更是超出了600V的 大值。MOSFET在啟機時存在風險。

圖6
3.2.2 異常狀態分析
下麵我們繼續分析在負載劇烈變化時,對LLC拓撲來說存在那些潛在的風險。
在負載劇烈變化時,如短路,動態負載等狀態時,LLC電路的關鍵器件MOSFET同樣也麵臨著挑戰。
通常負載變化時LLC 都會經曆以下3個狀態。我們稱之為硬關斷,而右圖中我們可以比較在這3個時序當中,傳統MOSFET和CoolMOS內部載流子變化的不同, 以及對MOSFET帶來的風險。

時序1,Q2零電壓開通,反向電流經過MOSFET和體二極管,此時次級二極管D2開通,D1關段。
-傳統MOSFET此時電子電流經溝道區,從而減少空穴數量
-CoolMOS此時同傳統MOSFET一樣電子電流經溝道,穴減少,不同的是此時CoolMOS 的P井結構開始建立。
時序2,Q1和Q2同時關斷,反向電流經過MOSFETQ2體二極管。
Q1和Q2關斷時對於傳統MOSFET和CoolMOS來說內部電子和空穴路徑和流向並沒有太大的區別。

時序3,Q1此時開始導通,由於負載的變化,此時MOSFET Q2的體二極管需要很長的時間來反向
恢複。當二極管反向恢複沒有完成時MOSFET Q2出現硬關斷, 此時Q1開通,加在Q2體二極管上的電壓會在二極管形成一個大電流從而觸發MOSFET內部的BJT造成雪崩。
-傳統MOSFET此時載流子抽出,此時電子聚集在PN節周圍, 空穴電流擁堵在PN節邊緣。
-CoolMOS的電子電流和空穴電流各行其道, 此時空穴電流在已建立好的P井結構中流動,並無電子擁堵現象。
綜上, 當LLC電路出現過載,短路,動態負載等條件下, 一旦二極管在死區時間不能及時反向恢複, 產生的巨大的複合電流會觸發MOSFET內部的BJT使MOSFET失效。
有的 CoolMOS采用Super Juction結構, 這種結構在MOSFET硬關斷的狀態下, 載流子會沿垂直構建的P井中複合, 基本上沒有側向電流, 大大減少觸發BJT的機會。
四、如何更容易實現ZVS
通過以上的分析,可以看到增加MOSFET的死區時間,可以提供足夠的二極管反向恢複時間同時降低高dv/dt, di/dt 對LLC電路造成的風險。但是增加死區時間是 的選擇麼?下麵我們進一步分析如何夠降低風險提升係統效率。
圖7
對於LLC 電路來說死區時間的初始電流為:

而LLC能夠實現ZVS必須滿足:
而小勵磁電感為:

根據以上3個等式,我們可以通過以下三種方式讓LLC實現ZVS:
加Ipk;
第二, 增加死區時間;
第三, 減小等效電容Ceq即Coss。
從以上幾種狀況,我們不難分析出。增加Ipk會增加電感尺寸以及成本,增加死區時間會降低正常工作時的電壓,而 好的選擇無疑是減小Coss,因為減小無須對電路做任何調整,隻需要換上一個Coss相對較小MOSFET即可。
五、結論
LLC 拓撲廣泛的應用於各種開關電源當中,而這種拓撲在提升效率的同時也對MOSFET提出了新的要求。不同於硬開關拓撲,軟開關LLC諧振拓撲,不僅僅對MOSFET的導通電阻(導通損耗),Qg(開關損耗)有要求,同時對於如何能夠有效的實現軟開關,如何降低失效率,提升係統可靠性,降低係統的成本有更高的要求。CoolMOS,具有快速的體二極管,低Coss,有的可高達650V的擊穿電壓,使LLC拓撲開關電源具有更高的效率和可靠性。
免責聲明:本文為轉載文章,轉載此文目的在於傳遞更多信息,版權歸原作者所有。本文所用視頻、圖片、文字如涉及作品版權問題,請電話或者郵箱聯係小編進行侵刪。
特別推薦
- 噪聲中提取真值!瑞盟科技推出MSA2240電流檢測芯片賦能多元高端測量場景
- 10MHz高頻運行!氮矽科技發布集成驅動GaN芯片,助力電源能效再攀新高
- 失真度僅0.002%!力芯微推出超低內阻、超低失真4PST模擬開關
- 一“芯”雙電!聖邦微電子發布雙輸出電源芯片,簡化AFE與音頻設計
- 一機適配萬端:金升陽推出1200W可編程電源,賦能高端裝備製造
技術文章更多>>
- 築基AI4S:摩爾線程全功能GPU加速中國生命科學自主生態
- 一秒檢測,成本降至萬分之一,光引科技把幾十萬的台式光譜儀“搬”到了手腕上
- AI服務器電源機櫃Power Rack HVDC MW級測試方案
- 突破工藝邊界,奎芯科技LPDDR5X IP矽驗證通過,速率達9600Mbps
- 通過直接、準確、自動測量超低範圍的氯殘留來推動反滲透膜保護
技術白皮書下載更多>>
- 車規與基於V2X的車輛協同主動避撞技術展望
- 數字隔離助力新能源汽車安全隔離的新挑戰
- 汽車模塊拋負載的解決方案
- 車用連接器的安全創新應用
- Melexis Actuators Business Unit
- Position / Current Sensors - Triaxis Hall
熱門搜索
微波功率管
微波開關
微波連接器
微波器件
微波三極管
微波振蕩器
微電機
微調電容
微動開關
微蜂窩
位置傳感器
溫度保險絲
溫度傳感器
溫控開關
溫控可控矽
聞泰
穩壓電源
穩壓二極管
穩壓管
無焊端子
無線充電
無線監控
無源濾波器
五金工具
物聯網
顯示模塊
顯微鏡結構
線圈
線繞電位器
線繞電阻



